Skip to main navigation Skip to main content
  • KSPTM
  • E-Submission

PHD : Parasites, Hosts and Diseases

OPEN ACCESS
ABOUT
BROWSE ARTICLES
FOR CONTRIBUTORS

Page Path

14
results for

"Jung-Mi Kang"

Article category

Keywords

Publication year

Authors

Funded articles

"Jung-Mi Kang"

Brief Communication

Partial characterization of a cysteine protease inhibitor of Plasmodium vivax
Tuấn Cường Võ, Jung-Mi Kang, Hương Giang Lê, Byoung-Kuk Na
Parasites Hosts Dis 2025;63(4):354-359.
Published online November 19, 2025
DOI: https://doi.org/10.3347/PHD.25043
Cysteine proteases play key roles in the biology of Plasmodium parasites and are recognized as antimalarial drug targets. Because these enzymes are involved in diverse biological functions, precise regulation is required to prevent unnecessary damage to both parasites and hosts. In this study, we identified an endogenous inhibitor of cysteine protease of Plasmodium vivax (PvICP) and characterized its biochemical properties. PvICP was found to share highly similar structural characteristics with orthologous proteins from other Plasmodium species. Recombinant PvICP (rPvICP) expressed in Escherichia coli showed a broad range of inhibitory activity against falcipain family cysteine proteases, including vivapain-3, vivapain-4, falcipain-3, malapain-2, and malapain-4, with more potent inhibitory activity against vivapain-3 and vivapain-4. rPvICP’s inhibitory activity was not significantly affected by pH, suggesting its broad biological functions. These findings provide new insights into PvICP and lay the groundwork for future studies exploring its biological significance and potential as a therapeutic target in malaria research.
  • 659 View
  • 30 Download

Original Articles

Genetic structure of apical membrane antigen-1 in Plasmodium falciparum isolates from Pakistan
Komal Zaib, Asifullah Khan, Muhammad Umair Khan, Ibrar Ullah, Tuấn Cường Võ, Jung-Mi Kang, Hương Giang Lê, Byoung-Kuk Na, Sahib Gul Afridi
Parasites Hosts Dis 2024;62(3):302-312.
Published online August 26, 2024
DOI: https://doi.org/10.3347/PHD.24028
Plasmodium falciparum apical membrane antigen-1 (PfAMA-1) is a major candidate for the blood-stage malaria vaccine. Genetic polymorphisms of global pfama-1suggest that the genetic diversity of the gene can disturb effective vaccine development targeting this antigen. This study was conducted to explore the genetic diversity and gene structure of pfama-1 among P. falciparum isolates collected in the Khyber Pakhtunkhwa (KP) province of Pakistan. A total of 19 full-length pfama-1 sequences were obtained from KP-Pakistan P. falciparum isolates, and genetic polymorphism and natural selection were investigated. KP-Pakistan pfama-1 exhibited genetic diversity, wherein 58 amino acid changes were identified, most of which were located in ectodomains, and domains I, II, and III. The amino acid changes commonly found in the ectodomain of global pfama-1 were also detected in KP-Pakistan pfama-1. Interestingly, 13 novel amino acid changes not reported in the global population were identified in KP-Pakistan pfama-1. KP-Pakistan pfama-1 shared similar levels of genetic diversity with global pfama-1. Evidence of natural selection and recombination events were also detected in KP-Pakistan pfama-1.

Citations

Citations to this article as recorded by  Crossref logo
  • Genetic polymorphism and natural selection of apical membrane antigen-1 in Plasmodium malariae isolated from Vietnam
    Đăng Thùy Dương Nguyễn, Hương Giang Lê, Tuấn Cường Võ, Thu Hằng Nguyễn, Jung-Mi Kang, Kim Oanh Nguyễn, Nguyen Thi Minh Trinh, Chau Van Khanh, Nguyen Thi Lien Hanh, Tran Thi Hue Van, Nguyen Kim Trung, Minkyoung Cho, Tran Thanh Son, Huynh Hong Quang, Byoung
    BMC Infectious Diseases.2026;[Epub]     CrossRef
  • Genetic diversity and natural selection of cell-traversal protein for ookinetes and sporozoites (CelTOS) in Plasmodium falciparum isolates from Vietnam
    Tuấn Cường Võ, Hương Giang Lê, Jung-Mi Kang, Nguyen Thi Minh Trinh, Minkyoung Cho, Youn-Kyoung Goo, Huynh Hong Quang, Byoung-Kuk Na
    Gene.2025; 968: 149731.     CrossRef
  • Genetic polymorphism of Duffy binding protein in Pakistan Plasmodium vivax isolates
    Đăng Thùy Dương Nguyễn, Tuấn Cường Võ, Kim Oanh Nguyễn, Hương Giang Lê, Jung-Mi Kang, Thu Hằng Nguyễn, Minkyoung Cho, Sahib Gul Afridi, Byoung-Kuk Na
    Acta Tropica.2024; 260: 107421.     CrossRef
  • 3,952 View
  • 78 Download
  • 3 Web of Science
  • Crossref
The anti-amoebic activity of Pinus densiflora leaf extract against the brain-eating amoeba Naegleria fowleri
Hương Giang Lê, Woong Kim, Jung-Mi Kang, Tuấn Cường Võ, Won Gi Yoo, Hyeonsook Cheong, Byoung-Kuk Na
Parasites Hosts Dis 2024;62(2):169-179.
Published online May 27, 2024
DOI: https://doi.org/10.3347/PHD.23103
Naegleria fowleri invades the brain and causes a fatal primary amoebic meningoencephalitis (PAM). Despite its high mortality rate of approximately 97%, an effective therapeutic drug for PAM has not been developed. Approaches with miltefosine, amphotericin B, and other antimicrobials have been clinically attempted to treat PAM, but their therapeutic efficacy remains unclear. The development of an effective and safe therapeutic drug for PAM is urgently needed. In this study, we investigated the anti-amoebic activity of Pinus densiflora leaf extract (PLE) against N. fowleri. PLE induced significant morphological changes in N. fowleri trophozoites, resulting in the death of the amoeba. The IC50 of PLE on N. fowleri was 62.3±0.95 μg/ml. Alternatively, PLE did not significantly affect the viability of the rat glial cell line C6. Transcriptome analysis revealed differentially expressed genes (DEGs) between PLE-treated and non-treated amoebae. A total of 5,846 DEGs were identified, of which 2,189 were upregulated, and 3,657 were downregulated in the PLE-treated amoebae. The DEGs were categorized into biological process (1,742 genes), cellular component (1,237 genes), and molecular function (846 genes) based on the gene ontology analysis, indicating that PLE may have dramatically altered the biological and cellular functions of the amoeba and contributed to their death. These results suggest that PLE has anti-N. fowleri activity and may be considered as a potential candidate for the development of therapeutic drugs for PAM. It may also be used as a supplement compound to enhance the therapeutic efficacy of drugs currently used to treat PAM.

Citations

Citations to this article as recorded by  Crossref logo
  • (‒)-Epicatechin enhances the anti-Acanthamoeba activity of chlorhexidine through synergistic action
    Hương Giang Lê, Tuấn Cường Võ, Thu Hằng Nguyễn, Minkyoung Cho, Yeonchul Hong, Hak Sun Yu, Byoung-Kuk Na
    Acta Tropica.2026; 275: 108010.     CrossRef
  • A xanthone O-glucoside isolated from Iris setosa Pall. ex Link exhibits promising anti-amoebic activity against the brain-eating amoeba Naegleria fowleri
    Hương Giang Lê, Buyng Su Hwang, Ji-Su Choi, Yong Tae Jeong, Tuấn Cường Võ, Minkyoung Cho, Yeonchul Hong, Jeong Ho Kim, Young Taek Oh, Byoung-Kuk Na
    Phytomedicine.2025; 147: 157199.     CrossRef
  • From nose to neurons: The lethal journey of the brain-eating amoeba Naegleria fowleri
    Arindam Mitra, Débora Brito Goulart
    The Microbe.2025; 8: 100537.     CrossRef
  • 4,091 View
  • 102 Download
  • 3 Web of Science
  • Crossref

Brief Communication

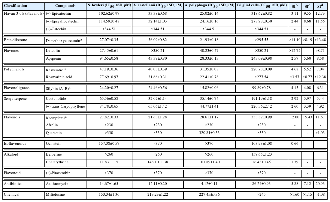
Antiamoebic activities of flavonoids against pathogenic free-living amoebae, Naegleria fowleri and Acanthamoeba species
Hương Giang Lê, Tuấn Cường Võ, Jung-Mi Kang, Thu Hằng Nguyễn, Buyng-Su Hwang, Young-Taek Oh, Byoung-Kuk Na
Parasites Hosts Dis 2023;61(4):449-454.
Published online November 28, 2023
DOI: https://doi.org/10.3347/PHD.23078
Free-living amoebae (FLA) rarely cause human infections but can invoke fatal infections in the central nervous system (CNS). No consensus treatment has been established for FLA infections of the CNS, emphasizing the urgent need to discover or develop safe and effective drugs. Flavonoids, natural compounds from plants and plant-derived products, are known to have antiprotozoan activities against several pathogenic protozoa parasites. The anti-FLA activity of flavonoids has also been proposed, while their antiamoebic activity for FLA needs to be emperically determined. We herein evaluated the antiamoebic activities of 18 flavonoids against Naegleria fowleri and Acanthamoeba species which included A. castellanii and A. polyphaga. These flavonoids showed different profiles of antiamoebic activity against N. fowleri and Acanthamoeba species. Demethoxycurcumin, kaempferol, resveratrol, and silybin (A+B) showed in vitro antiamoebic activity against both N. fowleri and Acanthamoeba species. Apigenin, costunolide, (‒)-epicatechin, (‒)-epigallocatechin, rosmarinic acid, and (‒)-trans-caryophyllene showed selective antiamoebic activity for Acanthamoeba species. Luteolin was more effective for N. fowleri. However, afzelin, berberine, (±)-catechin, chelerythrine, genistein, (+)-pinostrobin, and quercetin did not exhibit antiamoebic activity against the amoeba species. They neither showed selective antiamoebic activity with significant cytotoxicity to C6 glial cells. Our results provide a basis for the anti-FLA activity of flavonoids, which can be applied to develope alternative or supplemental therapeutic agents for FLA infections of the CNS.

Citations

Citations to this article as recorded by  Crossref logo
  • (‒)-Epicatechin enhances the anti-Acanthamoeba activity of chlorhexidine through synergistic action
    Hương Giang Lê, Tuấn Cường Võ, Thu Hằng Nguyễn, Minkyoung Cho, Yeonchul Hong, Hak Sun Yu, Byoung-Kuk Na
    Acta Tropica.2026; 275: 108010.     CrossRef
  • Intranasal Resveratrol Plus Carboxymethyl-β-Glucan: A Promising Option in Clinical Practice
    Giorgio Ciprandi, Maria Angela Tosca
    Biomolecules.2026; 16(2): 285.     CrossRef
  • Effectiveness of phytoproducts against pathogenic free-living amoebae - A scoping and critical review paving the way toward plant-based pharmaceuticals
    Beni Jequicene Mussengue Chaúque, Thaisla Cristiane Borella da Silva, Eduardo Brittes Rott, Felipe Brittes Rott, Ana Paula Marçal Copetti Leite, Guilherme Brittes Benitez, Neuana Fernando Neuana, José Roberto Goldim, Marilise Brittes Rott, Régis Adriel Za
    Fitoterapia.2025; 182: 106404.     CrossRef
  • Unveiling phenolic content, antibacterial, and antibiofilm potential of sacha inchi (Plukenetia volubilis L.) seed shell extracts against Staphylococcus aureus
    Gadah A. Al-Hamoud, Musarat Amina, Reem Hamoud Alrashoudi, Ayesha Mateen, Farah Maqsood, Hanan M. Al-Yousef
    PeerJ.2025; 13: e19524.     CrossRef
  • A xanthone O-glucoside isolated from Iris setosa Pall. ex Link exhibits promising anti-amoebic activity against the brain-eating amoeba Naegleria fowleri
    Hương Giang Lê, Buyng Su Hwang, Ji-Su Choi, Yong Tae Jeong, Tuấn Cường Võ, Minkyoung Cho, Yeonchul Hong, Jeong Ho Kim, Young Taek Oh, Byoung-Kuk Na
    Phytomedicine.2025; 147: 157199.     CrossRef
  • From nose to neurons: The lethal journey of the brain-eating amoeba Naegleria fowleri
    Arindam Mitra, Débora Brito Goulart
    The Microbe.2025; 8: 100537.     CrossRef
  • Natural compound malabaricone conjugated with silver nanoparticle as an antiamoebic agent against primary Amoebic Meningoencephalitis (PAM) caused by Naegleria fowleri
    Kavitha Rajendran, Devandran Apparasamy, Niwasini Krishna Kumar, Usman Ahmed, Haema Thevanayagam, Muhamad Aqmal Othman, Ayaz Anwar
    Journal of Parasitic Diseases.2025;[Epub]     CrossRef
  • (‒)-Epicatechin reveals amoebicidal activity against Acanthamoeba castellanii by activating the programmed cell death pathway
    Hương Giang Lê, Jung-Mi Kang, Tuấn Cường Võ, Won Gi Yoo, Yeonchul Hong, Byoung-Kuk Na
    Phytomedicine.2024; 125: 155389.     CrossRef
  • The potential of nanocomposites (patuletin-conjugated with gallic acid-coated zinc oxide) against free-living amoebae pathogens
    Ruqaiyyah Siddiqui, Bushra Khatoon, Muhammad Kawish, Sreedevi Sajeev, Shaheen Faizi, Muhammad Raza Shah, Ahmad M. Alharbi, Naveed Ahmed Khan
    International Microbiology.2024; 28(5): 929.     CrossRef
  • A Comprehensive Review on the Antibacterial, Antifungal, Antiviral, and Antiparasitic Potential of Silybin
    José Lima Pereira-Filho, Amanda Graziela Gonçalves Mendes, Carmem Duarte Lima Campos, Israel Viegas Moreira, Cinara Regina Aragão Vieira Monteiro, Suzany Hellen da Silva Soczek, Elizabeth Soares Fernandes, Rafael Cardoso Carvalho, Valério Monteiro-Neto
    Antibiotics.2024; 13(11): 1091.     CrossRef
  • 4,458 View
  • 197 Download
  • 9 Web of Science
  • Crossref

Original Article

Mapping of the Complement C9 Binding Region on Clonorchis sinensis Paramyosin
Jung-Mi Kang, Hương Giang Lê, Tuấn Cường Võ, Won Gi Yoo, Woon-Mok Sohn, Byoung-Kuk Na
Korean J Parasitol 2022;60(4):255-259.
Published online August 24, 2022
DOI: https://doi.org/10.3347/kjp.2022.60.4.255
Heliminthic paramyosin is a multifunctional protein that not only acts as a structural protein in muscle layers but as an immune-modulatory molecule interacting with the host immune system. Previously, we found that paramyosin from Clonorchis sinensis (CsPmy) is bound to human complement C9 protein (C9). To analyze the C9 binding region on CsPmy, overlapping recombinant fragments of CsPmy were produced and their binding activity to human C9 was investigated. The fragmental expression of CsPmy and C9 binding assays revealed that the C9 binding region was located at the C-terminus of CsPmy. Further analysis of the C-terminus of CsPmy to narrow the C9 binding region on CsPmy indicated that the region flanking731Leu–780 Leu was a potent C9 binding region. The CsPmy fragments corresponding to the region effectively inhibited human C9 polymerization. These results provide a precise molecular basis for CsPmy as a potent immunomodulator to evade host immune defenses by inhibiting complement attack.

Citations

Citations to this article as recorded by  Crossref logo
  • Transmission-Blocking Vaccines against Schistosomiasis Japonica
    Chika P. Zumuk, Malcolm K. Jones, Severine Navarro, Darren J. Gray, Hong You
    International Journal of Molecular Sciences.2024; 25(3): 1707.     CrossRef
  • What about the Cytoskeletal and Related Proteins of Tapeworms in the Host’s Immune Response? An Integrative Overview
    Diana G. Ríos-Valencia, Javier Ambrosio, Rocío Tirado-Mendoza, Julio César Carrero, Juan Pedro Laclette
    Pathogens.2023; 12(6): 840.     CrossRef
  • 3,962 View
  • 111 Download
  • Crossref

Brief Communication

Overall Prevalence and Distribution of Knockdown Resistance (kdr) Mutations in Aedes aegypti from Mandalay Region, Myanmar
Haung Naw, Mya Nilar Chaw Su, Tuấn Cường Võ, Hương Giang Lê, Jung-Mi Kang, Hojong Jun, Yi Yi Mya, Moe Kyaw Myint, Jinyoung Lee, Woon-Mok Sohn, Tong-Soo Kim, Byoung-Kuk Na
Korean J Parasitol 2020;58(6):709-714.
Published online December 29, 2020
DOI: https://doi.org/10.3347/kjp.2020.58.6.709
Knockdown resistance (kdr) mutations in the voltage-gated sodium channel (VGSC) of mosquitoes confer resistance to insecticides. Although insecticide resistance has been suspected to be widespread in the natural population of Aedes aegypti in Myanmar, only limited information is currently available. The overall prevalence and distribution of kdr mutations was analyzed in Ae. aegypti from Mandalay areas, Myanmar. Sequence analysis of the VGSC in Ae. aegypti from Myanmar revealed amino acid mutations at 13 and 11 positions in domains II and III of VGSC, respectively. High frequencies of S989P (68.6%), V1016G (73.5%), and F1534C (40.1%) were found in domains II and III. T1520I was also found, but the frequency was low (8.1%). The frequency of S989P/V1016G was high (55.0%), and the frequencies of V1016G/F1534C and S989P/V1016G/F1534C were also high at 30.1% and 23.5%, respectively. Novel mutations in domain II (L963Q, M976I, V977A, M994T, L995F, V996M/A, D998N, V999A, N1013D, and F1020S) and domain III (K1514R, Y1523H, V1529A, F1534L, F1537S, V1546A, F1551S, G1581D, and K1584R) were also identified. These results collectively suggest that high frequencies of kdr mutations were identified in Myanmar Ae. aegypti, indicating a high level of insecticide resistance.

Citations

Citations to this article as recorded by  Crossref logo
  • Monitoring insecticide resistance and target-site mutations in field populations of Spodoptera frugiperda (Lepidoptera: Noctuidae) in China
    Baojuan Zeng, Jianghao Ding, Yajuan Xiao, Shilong Wang, Jie Zhong, Yueru Ye, Huiru Zhou, Jing Song, Wenxin Zhao, Shutang Zhou, Huidong Wang, Raul Narciso Guedes
    Journal of Economic Entomology.2025; 118(2): 868.     CrossRef
  • Knockdown-resistance (kdr) mutations in Indian Aedes aegypti populations: Lack of recombination among haplotypes bearing V1016G, F1534C, and F1534L kdr alleles
    Taranjeet Kaur, Rajababu S. Kushwah, Sabyasachi Pradhan, Manoj K. Das, Madhavinadha P. Kona, Anushrita, Radhika Mittal, David Weetman, Rajnikant Dixit, Om P. Singh, Jean-philippe David
    PLOS Neglected Tropical Diseases.2025; 19(6): e0013126.     CrossRef
  • Pyrethroid resistance in Aedes aegypti: genetic mechanisms worldwide, and recommendations for effective vector control
    Jonathan Rene Hernandez, Patricia Victoria Pietrantonio
    Parasites & Vectors.2025;[Epub]     CrossRef
  • Pyrethroid Resistance in Aedes aegypti L. across Southeast Asia: Mechanisms and Implications for Vector Control
    Resti Rahayu, Risa Ukhti Muslima, Robby Jannatan
    Indian Journal of Entomology.2025; : 1166.     CrossRef
  • Detection of Putative Mutation I873S in the Sodium Channel of Megalurothrips usitatus (Bagnall) Which May Be Associated with Pyrethroid Resistance
    Ruibo Gao, Rongcai Lu, Xinyao Qiu, Likui Wang, Kun Zhang, Shaoying Wu
    Insects.2023; 14(4): 388.     CrossRef
  • Knockdown Resistance Mutations in the Voltage-Gated Sodium Channel of Aedes aegypti (Diptera: Culicidae) in Myanmar
    Haung Naw, Tuấn Cường Võ, Hương Giang Lê, Jung-Mi Kang, Yi Yi Mya, Moe Kyaw Myint, Tong-Soo Kim, Ho-Joon Shin, Byoung-Kuk Na
    Insects.2022; 13(4): 322.     CrossRef
  • Detection of pyrethroid resistance mutations and intron variants in the voltage‐gated sodium channel of Aedes (Stegomyia) aegypti and Aedes (Stegomyia) albopictus mosquitoes from Lao People's Democratic Republic
    Sebastien Marcombe, Katherine Shimell, Rachel Savage, Edward Howlett, Phonesavanh Luangamath, Somphat Nilaxay, Vacky Vungkyly, Anne Baby, Mathew King, Josie Clarke, Chloe Jeffries, Josna Jojo, Emily Lacey, Farris Bhatty, Dadirayi Mabika, Andrea Dela Cruz,
    Medical and Veterinary Entomology.2022; 36(4): 424.     CrossRef
  • 6,272 View
  • 121 Download
  • 6 Web of Science
  • Crossref

Original Articles

Monitoring Insecticide Resistance and Target Site Mutations of L1014 Kdr And G119 Ace Alleles in Five Mosquito Populations in Korea
Seo Hye Park, Hojong Jun, Seong Kyu Ahn, Jinyoung Lee, Sung-Lim Yu, Sung Keun Lee, Jung-Mi Kang, Hyunwoo Kim, Hee-Il Lee, Sung-Jong Hong, Byoung-Kuk Na, Young Yil Bahk, Tong-Soo Kim
Korean J Parasitol 2020;58(5):543-550.
Published online October 22, 2020
DOI: https://doi.org/10.3347/kjp.2020.58.5.543
Mosquitoes are globally distributed and important vectors for the transmission of many human diseases. Mosquito control is a difficult task and the cost of preventing mosquito-borne diseases is much lower than that for curing the associated diseases. Thus, chemical control remains the most effective tool for mosquito. Due to the long-term intensive use of insecticides to control mosquito vectors, resistance to most chemical insecticides has been reported. This study aimed to investigate the relationship between insecticide resistance and target site mutation of L1014 kdr and G119 ace alleles in 5 species/species group of mosquitoes (Aedes vexans, Ae. albopictus, Anopheles spp., Culex pipiens complex, and Cx. tritaeniorhynchus) obtained from 6 collection sites. For Anopheles spp., the proportion of mosquitoes with mutated alleles in L1014 was 88.4%, homozygous resistant genotypes were observed in 46.7%, and heterozygous resistant genotypes were observed in 41.8%. For the Cx. pipiens complex and Cx. tritaeniorhynchus species, homozygous resistant genotypes were found in 25.9% and 9.8%, respectively. However, target site mutation of L1014 in the Ae. vexans nipponii and Ae. albopictus species was not observed. Anopheles spp., Cx. pipiens complex, and Cx. tritaeniorhynchus mosquitoes were resistant to deltamethrin and chlorpyriphos, whereas Ae. vexans nipponii and Ae. albopictus were clearly susceptible. We also found a correlation between the resistance phenotype and the presence of the L1014 kdr and G119 ace mutations only in the Anopheles spp. population. In this study, we suggest that insecticide resistance poses a growing threat and resistance management must be integrated into all mosquito control programs.

Citations

Citations to this article as recorded by  Crossref logo
  • Seasonal fluctuation of insecticide resistance mutation frequencies in field populations of Anopheles and Culex species in Korea
    Do Eun Lee, Heung-Chul Kim, Terry A Klein, Si Hyeock Lee, Ju Hyeon Kim, Alec Gerry
    Journal of Medical Entomology.2025; 62(1): 155.     CrossRef
  • Insecticide resistance mutations of Anopheles species in the Republic of Korea
    Jiseung Jeon, Heung Chul Kim, Terry A. Klein, Hojong Jun, Kwang Shik Choi, Jean-philippe David
    PLOS Neglected Tropical Diseases.2025; 19(1): e0012748.     CrossRef
  • Omics Approaches in Understanding Insecticide Resistance in Mosquito Vectors
    Nikhil Bharadwaj, Rohit Sharma, Muthukumaravel Subramanian, Gnanasekar Ragini, Shriram Ananganallur Nagarajan, Manju Rahi
    International Journal of Molecular Sciences.2025; 26(5): 1854.     CrossRef
  • Distribution and frequency of ace-1 and kdr mutations of Culex pipiens subgroup in the Republic of Korea
    Jiseung Jeon, Jihun Ryu, Kwang Shik Choi
    Acta Tropica.2024; 249: 107058.     CrossRef
  • Investigating insecticide resistance, kdr mutation, and morphology of the coastal mosquito Aedes (Ochlerotatus) zammitii (Theobald, 1903) (Diptera: Culicidae)
    Fatma Bursalı
    Turkish Journal of Entomology.2024; 48(2): 213.     CrossRef
  • Inference of selection pressures that drive insecticide resistance in Anopheles and Culex mosquitoes in Korea
    Do Eun Lee, Jeewoo Shin, Young Ho Kim, Kwang Shik Choi, Hyeyeong Choe, Kwang Pum Lee, Si Hyeock Lee, Ju Hyeon Kim
    Pesticide Biochemistry and Physiology.2023; 194: 105520.     CrossRef
  • CDC Bottle Bioassays for Detection of Insecticide Resistance in Culex pipiens, Aedes albopictus, and Aedes koreicus Collected on US Army Garrisons, Republic of Korea
    Craig A. Stoops, Myong Sun Kim, Sanjeev Mahabir, Sung Tae Chong, Stephanie S. Cinkovich, Jennifer B. Carder
    Journal of the American Mosquito Control Association.2023; 39(3): 208.     CrossRef
  • Reduction of mosquito communities using the mass trapping method
    Su Mi Na, Dong Gun Kim
    Entomological Research.2023; 53(12): 600.     CrossRef
  • 7,638 View
  • 149 Download
  • 8 Web of Science
  • Crossref
Bile Ductal Transcriptome Identifies Key Pathways and Hub Genes in Clonorchis sinensis-Infected Sprague-Dawley Rats
Won Gi Yoo, Jung-Mi Kang, Huong Giang L?, Jhang Ho Pak, Sung-Jong Hong, Woon-Mok Sohn, Byoung-Kuk Na
Korean J Parasitol 2020;58(5):513-525.
Published online October 22, 2020
DOI: https://doi.org/10.3347/kjp.2020.58.5.513
Clonorchis sinensis is a food-borne trematode that infects more than 15 million people. The liver fluke causes clonorchiasis and chronical cholangitis, and promotes cholangiocarcinoma. The underlying molecular pathogenesis occurring in the bile duct by the infection is little known. In this study, transcriptome profile in the bile ducts infected with C. sinensis were analyzed using microarray methods. Differentially expressed genes (DEGs) were 1,563 and 1,457 at 2 and 4 weeks after infection. Majority of the DEGs were temporally dysregulated at 2 weeks, but 519 DEGs showed monotonically changing expression patterns that formed seven distinct expression profiles. Protein-protein interaction (PPI) analysis of the DEG products revealed 5 sub-networks and 10 key hub proteins while weighted co-expression network analysis (WGCNA)-derived gene-gene interaction exhibited 16 co-expression modules and 13 key hub genes. The DEGs were significantly enriched in 16 Kyoto Encyclopedia of Genes and Genomes pathways, which were related to original systems, cellular process, environmental information processing, and human diseases. This study uncovered a global picture of gene expression profiles in the bile ducts infected with C. sinensis, and provided a set of potent predictive biomarkers for early diagnosis of clonorchiasis.

Citations

Citations to this article as recorded by  Crossref logo
  • Exploratory study on the role of Clonorchis sinensis infection in promoting cholangiocarcinoma progression
    Shitao Li, Yiqi Jiang, Jun Kawanokuchi, Xueling Deng, Yuhong Wu, Yu Chen, Lixia Zeng, Ganghuan Deng, Damian Li, Tingzheng Zhan, Dengyu Liu, Ning Ma, Zeli Tang
    Parasites & Vectors.2025;[Epub]     CrossRef
  • Liver Fluke-Derived Molecules Accelerate Skin Repair Processes in a Mouse Model of Type 2 Diabetes Mellitus
    Anna Kovner, Yaroslav Kapushchak, Oxana Zaparina, Dmitry Ponomarev, Maria Pakharukova
    International Journal of Molecular Sciences.2024; 25(22): 12002.     CrossRef
  • Comparative liver transcriptome analysis in hamsters infected with food-borne trematodes Opisthorchis felineus, Opisthorchis viverrini, or Clonorchis sinensis
    Ekaterina A. Lishai, Oxana G. Zaparina, Yaroslav K. Kapushchak, Banchob Sripa, Sun-Jong Hong, Guofeng Cheng, Maria Y. Pakharukova, Feng Xue
    PLOS Neglected Tropical Diseases.2024; 18(12): e0012685.     CrossRef
  • Current status of Clonorchis sinensis and clonorchiasis in Korea: epidemiological perspectives integrating the data from human and intermediate hosts
    Won Gi Yoo, Woon-Mok Sohn, Byoung-Kuk Na
    Parasitology.2022; 149(10): 1296.     CrossRef
  • Transcriptomic profiling of three-dimensional cholangiocyte spheroids long term exposed to repetitive Clonorchis sinensis excretory-secretory products
    Jung-Woong Kim, Junyeong Yi, Jinhong Park, Ji Hoon Jeong, Jinho Kim, Jihee Won, Seok Chung, Tong-Soo Kim, Jhang Ho Pak
    Parasites & Vectors.2021;[Epub]     CrossRef
  • 7,049 View
  • 126 Download
  • 5 Web of Science
  • Crossref
Partial Characterization of Two Cathepsin D Family Aspartic Peptidases of Clonorchis sinensis
Jung-Mi Kang, Won-Gi Yoo, H??ng Giang L?, Th? Lam Th?i, Sung-Jong Hong, Woon-Mok Sohn, Byoung-Kuk Na
Korean J Parasitol 2019;57(6):671-680.
Published online December 31, 2019
DOI: https://doi.org/10.3347/kjp.2019.57.6.671
Cathepsin D (CatD, EC 3.4.23.5) is a member belonging to the subfamily of aspartic endopeptidases, which are classified into the MEROPS clan AA, family A1. Helminth parasites express a large set of different peptidases that play pivotal roles in parasite biology and pathophysiology. However, CatD is less well known than the other classes of peptidases in terms of biochemical properties and biological functions. In this study, we identified 2 novel CatDs (CsCatD1 and CsCatD2) of Clonorchis sinensis and partially characterized their properties. Both CsCatDs represent typical enzymes sharing amino acid residues and motifs that are tightly conserved in the CatD superfamily of proteins. Both CsCatDs showed similar patterns of expression in different developmental stages of C. sinensis, but CsCatD2 was also expressed in metacercariae. CsCatD2 was mainly expressed in the intestines and eggs of C. sinensis. Sera obtained from rats experimentally infected with C. sinensis reacted with recombinant CsCatD2 beginning 2 weeks after infection and the antibody titers were gradually increased by maturation of the parasite. Structural analysis of CsCatD2 revealed a bilobed enzyme structure consisting of 2 antiparallel β-sheet domains packed against each other forming a homodimeric structure. These results suggested a plausible biological role of CsCatD2 in the nutrition and reproduction of parasite and its potential utility as a serodiagnostic antigen in clonorchiasis.

Citations

Citations to this article as recorded by  Crossref logo
  • Crystal structure of Schistosoma mansoni cathepsin D1 in complex with a nanobody reveals the conformation of the propeptide-bound state
    Kelly L. Parker, John D. Clarke, Xiaojiao Liu, Barbara F. Gomes, Lauren E.-A. Eyssen, Nicholas Furnham, Floriano Paes Silva-Jr, Raymond J. Owens
    Acta Crystallographica Section D Structural Biology.2026; 82(2): 140.     CrossRef
  • Clonorchis sinensis excretory/secretory proteins ameliorate inflammation in rheumatoid arthritis and ankylosing spondylitis
    Moon-Ju Kim, Hee Min Yoo, Yu Jeong Lee, Hyun Hee Jang, Seung Cheol Shim, Eun Jeong Won, Tae-Jong Kim
    Parasites & Vectors.2025;[Epub]     CrossRef
  • Proteomic analysis of extracellular vesicles and extracellular vesicle-depleted excretory-secretory products of Toxocara canis and Toxocara cati larval cultures
    Timothy K. Wu, Qin Fu, Janice L. Liotta, Dwight D. Bowman
    Veterinary Parasitology.2024; 332: 110331.     CrossRef
  • An insight into the functional genomics and species classification of Eudiplozoon nipponicum (Monogenea, Diplozoidae), a haematophagous parasite of the common carp Cyprinus carpio
    Jiří Vorel, Nikol Kmentová, Christoph Hahn, Petr Bureš, Martin Kašný
    BMC Genomics.2023;[Epub]     CrossRef
  • In silico identification of excretory/secretory proteins and drug targets in monogenean parasites
    Víctor Caña-Bozada, Martha Chapa-López, Rubén D. Díaz-Martín, Alejandra García-Gasca, José Ángel Huerta-Ocampo, Guillermo de Anda-Jáuregui, F. Neptalí Morales-Serna
    Infection, Genetics and Evolution.2021; 93: 104931.     CrossRef
  • pH-Dependent Structural Dynamics of Cathepsin D-Family Aspartic Peptidase of Clonorchis sinensis
    Jung-Mi Kang, Hương Giang Lê, Byoung-Kuk Na, Won Gi Yoo
    Pathogens.2021; 10(9): 1128.     CrossRef
  • Dopaminergic antagonists inhibit bile chemotaxis of adult Clonorchis sinensis and its egg production
    Fuhong Dai, Jin-Ho Song, Yeon Pyo Hong, Xuelian Bai, Woon-Mok Sohn, Sung-Jong Hong, jong-Yil Chai
    PLOS Neglected Tropical Diseases.2020; 14(3): e0008220.     CrossRef
  • Identification and Analysis of the Tegument Protein and Excretory-Secretory Products of the Carcinogenic Liver Fluke Clonorchis sinensis
    Yunliang Shi, Kai Yu, Anli Liang, Yan Huang, Fangqi Ou, Haiyan Wei, Xiaoling Wan, Yichao Yang, Weiyu Zhang, Zhihua Jiang
    Frontiers in Microbiology.2020;[Epub]     CrossRef
  • 7,632 View
  • 98 Download
  • 9 Web of Science
  • Crossref

Brief Communication

Seroprevalence of Toxoplasma gondii among School Children in Pyin Oo Lwin and Naung Cho, Upper Myanmar
Th? Lam Th?i, Hojong Jun, Seo-Hye Park, H??ng Giang L?, Jinyoung Lee, Seong Kyu Ahn, Jung-Mi Kang, Moe Kyaw Myint, Khin Lin, Woon-Mok Sohn, Ho-Woo Nam, Byoung-Kuk Na, Tong-Soo Kim
Korean J Parasitol 2019;57(3):303-308.
Published online June 30, 2019
DOI: https://doi.org/10.3347/kjp.2019.57.3.303
Toxoplasma gondii is an apicomplexan parasite that can cause toxoplasmosis in a wide range of warm-blooded animals including humans. In this study, we analyzed seroprevalence of T. gondii among 467 school children living in the rural areas of Pyin Oo Lwin and Naung Cho, Myanmar. The overall seroprevalence of T. gondii among school children was 23.5%; 22.5% of children were positive for T. gondii IgG, 0.4% of children were positive for T. gondii IgM, and 0.6% of children were positive for both T. gondii IgG and IgM. Geographical factors did not significantly affect the seroprevalence frequency between Pyin Oo Lwin and Naung Cho, Myanmar. No significant difference was found between males (22.2%) and females (25.0%). The overall seroprevalence among school children differed by ages (10 years old [13.6%], 11-12 years old [19.8%], 13-14 years old [24.6%], and 15-16 years old [28.0%]), however, the result was not significant. Polymerase chain reaction analysis for T. gondii B1 gene for IgG-positive and IgM-positive blood samples were negative, indicating no direct evidence of active infection. These results collectively suggest that T. gondii infection among school children in Myanmar was relatively high. Integrated and improved strategies including reinforced education on toxoplasmosis should be implemented to prevent and control T. gondii infection among school children in Myanmar.

Citations

Citations to this article as recorded by  Crossref logo
  • A pre-existing Toxoplasma gondii infection exacerbates the pathophysiological response and extent of brain damage after traumatic brain injury in mice
    Tamara L. Baker, David K. Wright, Alessandro D. Uboldi, Christopher J. Tonkin, Anh Vo, Trevor Wilson, Stuart J. McDonald, Richelle Mychasiuk, Bridgette D. Semple, Mujun Sun, Sandy R. Shultz
    Journal of Neuroinflammation.2024;[Epub]     CrossRef
  • Seroprevalence and associated risk factors of Toxoplasma gondii infection among slaughterhouse workers in Yangon Region, Myanmar: A cross-sectional study
    Nay Hein Sint, Ye Minn Htun, Tun Tun Win, Aye Sandar Mon, Thant Zaw Lwin, Lwin Oo Maung, Pyae Sone Win, Kaung Myat Naing, Thet Paing Zaw, Pyae Hpone Naing, Sai Nyan Lin Tun, Aung Aye Kyaw, Kyaw Wunna, Khine Khine Su, Kyaw Myo Tun, Atef Oreiby
    PLOS ONE.2023; 18(4): e0284352.     CrossRef
  • Toxoplasma gondii in lactating animals: potential risk to milk consuming population in Khyber Pakhtunkhwa
    S. Khan, K. Rafiq, M. N. Khabir, M. B. Khan, S. N. Khan, A. Khattak, S. Attaullah
    Brazilian Journal of Biology.2023;[Epub]     CrossRef
  • Molecular Characterization of Toxoplasma gondii in Cats and Its Zoonotic Potential for Public Health Significance
    Mian Abdul Hafeez, Muntazir Mehdi, Faiza Aslam, Kamran Ashraf, Muhammad Tahir Aleem, Abdur Rauf Khalid, Adeel Sattar, Syeda Fakhra Waheed, Abdulaziz Alouffi, Omar Obaid Alharbi, Muhammad Abu Bakr Shabbir, Umer Chaudhry, Mashal M. Almutairi
    Pathogens.2022; 11(4): 437.     CrossRef
  • Toxoplasma oocysts in the soil of public places worldwide: a systematic review and meta-analysis
    Bahman Maleki, Nayebali Ahmadi, Meysam Olfatifar, Mohammad Gorgipour, Ali Taghipour, Amir Abdoli, Ali Khorshidi, Masoud Foroutan, Aliyar Mirzapour
    Transactions of The Royal Society of Tropical Medicine and Hygiene.2021; 115(5): 471.     CrossRef
  • Potential linkage between Toxoplasma gondii infection and physical education scores of college students
    Jun Cai, Zhijin Sheng, Yu Jin, Yinan Du, Xinlei Yan, Yong Yao, Musa Hassan
    PLOS ONE.2021; 16(3): e0241653.     CrossRef
  • Seroprevalence of Toxoplasma gondii in household cats in Myanmar and molecular identification of parasites using feline faecal oocysts
    Saw Bawm, Aye Zar Phyu, Hla Myet Chel, Lat Lat Htun, Ryo Nakao, Ken Katakura
    Food and Waterborne Parasitology.2020; 20: e00094.     CrossRef
  • Seroprevalence of toxoplasmosis among reproductive-aged women in Myanmar and evaluation of luciferase immunoprecipitation system assay
    Khin Myo Aye, Eiji Nagayasu, Myat Htut Nyunt, Ni Ni Zaw, Kyaw Zin Thant, Myat Phone Kyaw, Haruhiko Maruyama
    BMC Infectious Diseases.2020;[Epub]     CrossRef
  • 8,791 View
  • 161 Download
  • 8 Web of Science
  • Crossref
Original Articles
Molecular and Biochemical Properties of a Cysteine Protease of Acanthamoeba castellanii
Yeonchul Hong, Jung-Mi Kang, So-Young Joo, Su-Min Song, H??ng Giang L?, Th? Lam Th?i, Jinyoung Lee, Youn-Kyoung Goo, Dong-Il Chung, Woon-Mok Sohn, Byoung-Kuk Na
Korean J Parasitol 2018;56(5):409-418.
Published online October 31, 2018
DOI: https://doi.org/10.3347/kjp.2018.56.5.409
Acanthamoeba spp. are free-living protozoa that are opportunistic pathogens for humans. Cysteine proteases of Acanthamoeba have been partially characterized, but their biochemical and functional properties are not clearly understood yet. In this study, we isolated a gene encoding cysteine protease of A. castellanii (AcCP) and its biochemical and functional properties were analyzed. Sequence analysis of AcCP suggests that this enzyme is a typical cathepsin L family cysteine protease, which shares similar structural characteristics with other cathepsin L-like enzymes. The recombinant AcCP showed enzymatic activity in acidic conditions with an optimum at pH 4.0. The recombinant enzyme effectively hydrolyzed human proteins including hemoglobin, albumin, immunoglobuins A and G, and fibronectin at acidic pH. AcCP mainly localized in lysosomal compartment and its expression was observed in both trophozoites and cysts. AcCP was also identified in cultured medium of A. castellanii. Considering to lysosomal localization, secretion or release by trophozoites and continuous expression in trophozoites and cysts, the enzyme could be a multifunctional enzyme that plays important biological functions for nutrition, development and pathogenicity of A. castellanii. These results also imply that AcCP can be a promising target for development of chemotherapeutic drug for Acanthamoeba infections.

Citations

Citations to this article as recorded by  Crossref logo
  • Acanthamoeba castellanii cysteine protease 3 promotes M1 macrophage polarization through the TLR4/NF‑κB pathway
    Zhi-xin Wang, Wan-jun Jiao, Mian-jing Wang, Yong Yang, Hai-long Wang, Hong-li Liu
    Parasites & Vectors.2025;[Epub]     CrossRef
  • Unraveling the interplay between unicellular parasites and bacterial biofilms: Implications for disease persistence and antibiotic resistance
    Eva Zanditenas, Serge Ankri
    Virulence.2024;[Epub]     CrossRef
  • Epidemiology of and Genetic Factors Associated with Acanthamoeba Keratitis
    Muhammad Ilyas, Fiona Stapleton, Mark D. P. Willcox, Fiona Henriquez, Hari Kumar Peguda, Binod Rayamajhee, Tasbiha Zahid, Constantinos Petsoglou, Nicole A. Carnt
    Pathogens.2024; 13(2): 142.     CrossRef
  • Staurosporine as a Potential Treatment for Acanthamoeba Keratitis Using Mouse Cornea as an Ex Vivo Model
    Rubén L. Rodríguez-Expósito, Ines Sifaoui, Lizbeth Salazar-Villatoro, Carlos J. Bethencourt-Estrella, José J. Fernández, Ana R. Díaz-Marrero, Robert Sutak, Maritza Omaña-Molina, José E. Piñero, Jacob Lorenzo-Morales
    Marine Drugs.2024; 22(9): 423.     CrossRef
  • The gene expression and proteomic profiling of Acanthamoeba isolates
    Chayan Sharma, Sumeeta Khurana, Alka Bhatia, Amit Arora, Amit Gupta
    Experimental Parasitology.2023; 255: 108630.     CrossRef
  • Biological characteristics and pathogenicity of Acanthamoeba
    Yuehua Wang, Linzhe Jiang, Yitong Zhao, Xiaohong Ju, Le Wang, Liang Jin, Ryan D. Fine, Mingguang Li
    Frontiers in Microbiology.2023;[Epub]     CrossRef
  • Induction of Programmed Cell Death in Acanthamoeba culbertsoni by the Repurposed Compound Nitroxoline
    Rubén L. Rodríguez-Expósito, Ines Sifaoui, María Reyes-Batlle, Frieder Fuchs, Patrick L. Scheid, José E. Piñero, Robert Sutak, Jacob Lorenzo-Morales
    Antioxidants.2023; 12(12): 2081.     CrossRef
  • Paradigms of Protist/Bacteria Symbioses Affecting Human Health: Acanthamoeba species and Trichomonas vaginalis
    Fiona L. Henriquez, Ronnie Mooney, Timothy Bandel, Elisa Giammarini, Mohammed Zeroual, Pier Luigi Fiori, Valentina Margarita, Paola Rappelli, Daniele Dessì
    Frontiers in Microbiology.2021;[Epub]     CrossRef
  • Trogocytosis in Unicellular Eukaryotes
    Kumiko Nakada-Tsukui, Tomoyoshi Nozaki
    Cells.2021; 10(11): 2975.     CrossRef
  • Insight into the Lifestyle of Amoeba Willaertia magna during Bioreactor Growth Using Transcriptomics and Proteomics
    Issam Hasni, Philippe Decloquement, Sandrine Demanèche, Rayane Mouh Mameri, Olivier Abbe, Philippe Colson, Bernard La Scola
    Microorganisms.2020; 8(5): 771.     CrossRef
  • Identification and biochemical characterisation of Acanthamoeba castellanii cysteine protease 3
    Zhixin Wang, Duo Wu, Hiroshi Tachibana, Meng Feng, Xun-jia Cheng
    Parasites & Vectors.2020;[Epub]     CrossRef
  • Host Invasion by Pathogenic Amoebae: Epithelial Disruption by Parasite Proteins
    Abigail Betanzos, Cecilia Bañuelos, Esther Orozco
    Genes.2019; 10(8): 618.     CrossRef
  • 8,754 View
  • 168 Download
  • 13 Web of Science
  • Crossref
PCR-RFLP for Rapid Subtyping of Plasmodium vivax Korean Isolates
Jung-Mi Kang, Jinyoung Lee, Tae Im Kim, Eun-Ha Koh, Tong-Soo Kim, Woon-Mok Sohn, Byoung-Kuk Na
Korean J Parasitol 2017;55(2):159-165.
Published online April 30, 2017
DOI: https://doi.org/10.3347/kjp.2017.55.2.159
Vivax malaria reemerged in Korea in 1993 and the outbreak has been continued with fluctuating numbers of annual indigenous cases. Understanding the nature of the genetic population of Plasmodium vivax circulating in Korea is beneficial for the knowledge of the nationwide parasite heterogeneity and in the implementation of malaria control programs in the country. Previously, we analyzed polymorphic nature of merozoite surface protein-1 (MSP-1) and MSP-3α in Korean P. vivax population and identified the Korean P. vivax population has been diversifying rapidly, with the appearance of parasites with new genetic subtypes, despite the recent reduction of the disease incidence. In the present study, we developed simple PCR-RFLP methods for rapid subtyping of MSP-1 and MSP-3α of Korean P. vivax isolates. These PCR-RFLP methods were able to easily distinguish each subtype of Korean P. vivax MSP-1 and MSP-3α with high accuracy. The PCR-RFLP subtyping methods developed here would be easily applied to massive epidemiological studies for molecular surveillance to understand genetic population of P. vivax and to supervise the genetic variation of the parasite circulating in Korea.

Citations

Citations to this article as recorded by  Crossref logo
  • Molecular Profiles of Antimalarial Drug Resistance in Plasmodium Species from Asymptomatic Malaria Carriers in Gia Lai Province, Vietnam
    Hương Giang Lê, Tuấn Cường Võ, Jung-Mi Kang, Chau Van Khanh, Nguyen Thi Minh Trinh, Nguyen Thi Lien Hanh, Minkyoung Cho, Huynh Hong Quang, Byoung-Kuk Na
    Microorganisms.2025; 13(9): 2101.     CrossRef
  • Molecular surveillance of malaria in the Central Highlands, Vietnam
    Tuấn Cường Võ, Hương Giang Lê, Jung-Mi Kang, Haung Naw, Chia-Kwung Fan, Nguyen Thi Minh Trinh, Huynh Hong Quang, Byoung-Kuk Na
    Parasitology International.2021; 83: 102374.     CrossRef
  • 10,206 View
  • 176 Download
  • 2 Web of Science
  • Crossref
Molecular Analysis of Anisakis Type I Larvae in Marine Fish from Three Different Sea Areas in Korea
Woon-Mok Sohn, Jung-Mi Kang, Byoung-Kuk Na
Korean J Parasitol 2014;52(4):383-389.
Published online August 29, 2014
DOI: https://doi.org/10.3347/kjp.2014.52.4.383

Anisakiasis, a human infection of Anisakis L3 larvae, is one of the common foodborne parasitic diseases in Korea. Studies on the identification of anisakid larvae have been performed in the country, but most of them have been focused on morphological identification of the larvae. In this study, we analyzed the molecular characteristics of 174 Anisakis type I larvae collected from 10 species of fish caught in 3 different sea areas in Korea. PCR-RFLP and sequence analyses of rDNA ITS and mtDNA cox1 revealed that the larvae showed interesting distribution patterns depending on fish species and geographical locations. Anisakis pegreffii was predominant in fish from the Yellow Sea and the South Sea. Meanwhile, both A. pegreffii and A. simplex sensu stricto (A. simplex s.str.) larvae were identified in fish from the East Sea, depending on fish species infected. These results suggested that A. pegreffii was primarily distributed in a diverse species of fish in 3 sea areas around Korea, but A. simplex s.str. was dominantly identified in Oncorhynchus spp. in the East Sea.

Citations

Citations to this article as recorded by  Crossref logo
  • A Case of Hepatic Anisakiasis Mimicking Metastatic Liver Cancer
    Shuichiro Ando, Hiroyuki Sugimoto, Masayuki Tsutsuyama, Hideaki Ooshige, Yumiko Hojo, Shunsuke Sakurai, Naoki Iwata, Naoki Mashita, Daisuke Kobayashi, Yoshinari Mochizuki, Kyoko Kuwabara, Tetsushi Mizuno, Masaharu Tokoro
    The Japanese Journal of Gastroenterological Surgery.2026; 59(2): 78.     CrossRef
  • Integrated characterization of monogenean infestation in Tilapia zillii: cox1 barcoding, cytokine transcription, oxidative biomarkers, and histopathological insights
    Menna A. El-Geneady, Olfat A. Mahdy, Reem M. Ramadan, Mohamed S. Kamel, Hala Youssef, Mai A. Salem
    Aquaculture International.2026;[Epub]     CrossRef
  • Comparative study of Taqman-based qPCR assay for the detection of Anisakis simplex and Pseudoterranova decipiens
    Mi-Gyeong Kim, Min Ji Hong, Doo Won Seo, Hyun Mi Jung, Hyun-Ja Han, Seung Hwan Kim, Insun Joo, Elingarami Sauli
    PLOS One.2025; 20(4): e0320724.     CrossRef
  • Genetic analyses of Anisakis pegreffii (Nematoda: Anisakidae) from the East Asian finless porpoise Neophocaena asiaeorientalis sunameri (Cetacea: Phocoenidae) in Korean waters
    Sunmin Kim, Jong Yoon Jeon, Kyunglee Lee, Hyunjoo Lee, Han Chan Park, Kyung Eun Lee, Hang Lee, Sung Bin Lee, Sang Wha Kim, Se Chang Park, Seongjun Choe, Heejeong Youn
    Parasitology Research.2024;[Epub]     CrossRef
  • Phylogenetic and phylogeographic analyses of Anisakis simplex sensu stricto (Nematoda: Anisakidae) from the common minke whale in Korean waters
    Sunmin Kim, Bom Sok Lee, Seongjun Choe
    Parasites, Hosts and Diseases.2023; 61(3): 240.     CrossRef
  • What Do In Vitro and In Vivo Models Tell Us about Anisakiasis? New Tools Still to Be Explored
    Serena Cavallero, Ilaria Bellini, Antonella Pizzarelli, Stefano D’Amelio
    Pathogens.2022; 11(3): 285.     CrossRef
  • Distribution of Anisakidae Family Infected Marine Fish in Indonesia
    Putri Desi Wulan Sari, Sri Subekti, Yarin Dwi Monica
    BIOEDUSCIENCE.2021; 5(3): 188.     CrossRef
  • Increasing intensities of Anisakis simplex third-stage larvae (L3) in Atlantic salmon of coastal waters of Scotland
    Alexander J. Kent, Campbell C. Pert, Robert A. Briers, Karen Diele, Sonja Rueckert
    Parasites & Vectors.2020;[Epub]     CrossRef
  • Occurrence and molecular identification of Anisakis larval type 1 (Nematoda: Anisakidae) in marketed fish in Egypt
    Eman Mostafa, Marwa Omar, Shimaa. S. Hassan, Mohamed Samir
    Journal of Parasitic Diseases.2020; 44(3): 536.     CrossRef
  • Comparative morphomolecular identification and pathological changes associated with Anisakis simplex larvae (Nematoda: Anisakidae) infecting native and imported chub mackerel (Scomber japonicus) in Egypt
    Mohamed Abdelsalam, Marwa M. Attia, Mahmoud A. Mahmoud
    Regional Studies in Marine Science.2020; 39: 101469.     CrossRef
  • Establishment and validation of ARMS (amplification-refractory mutation system) for identification of Anisakis species collected from Korean waters
    Hyunsu Kim, Kyung-Wan Baek, Mi-Kyung Park, Kyung-Yoon Jeon, Eun-Ji Ko, Hee-Jae Cha, Mee Sun Ock
    Gene.2019; 691: 125.     CrossRef
  • Anisakis Nematodes in Fish and Shellfish- from infection to allergies
    Ibukun E. Aibinu, Peter M. Smooker, Andreas L. Lopata
    International Journal for Parasitology: Parasites and Wildlife.2019; 9: 384.     CrossRef
  • An Overview of Fish-borne Nematodiases among Returned Travelers for Recent 25 Years– Unexpected Diseases Sometimes Far Away from the Origin
    Jorge Costa Eiras, Gilberto Cezar Pavanelli, Ricardo Massato Takemoto, Yukifumi Nawa
    The Korean Journal of Parasitology.2018; 56(3): 215.     CrossRef
  • Survey for the presence of ascaridoid larvae in the cinnamon flounder Pseudorhombus cinnamoneus (Temminck & Schlegel) (Pleuronectiformes: Paralichthyidae)
    Liang Li, Jin-Yu Zhao, Hui-Xia Chen, Hui-Dong Ju, Meng An, Zhen Xu, Lu-Ping Zhang
    International Journal of Food Microbiology.2017; 241: 108.     CrossRef
  • Environmental variables and definitive host distribution: a habitat suitability modelling for endohelminth parasites in the marine realm
    Thomas Kuhn, Sarah Cunze, Judith Kochmann, Sven Klimpel
    Scientific Reports.2016;[Epub]     CrossRef
  • <i>Anisakis pegreffii</i> Larvae in Sea Eels (<i>Astroconger myriaster</i>) from the South Sea, Republic of Korea
    Jaeeun Cho, Hyemi Lim, Bong-Kwang Jung, Eun-Hee Shin, Jong-Yil Chai
    The Korean Journal of Parasitology.2015; 53(3): 349.     CrossRef
  • Anisakiasis: Report of 15 Gastric Cases Caused by <i>Anisakis</i> Type I Larvae and a Brief Review of Korean Anisakiasis Cases
    Woon-Mok Sohn, Byoung-Kuk Na, Tae Hyo Kim, Tae-Joon Park
    The Korean Journal of Parasitology.2015; 53(4): 465.     CrossRef
  • Occurrence of Anisakis Larvae in Commercial Fish along the Northern Coast of Taiwan
    Yun-Jen Chen, Chun-Chun Wu, Jui-Sen Yang
    Research Journal of Parasitology.2015; 10(3): 79.     CrossRef
  • 12,673 View
  • 145 Download
  • 14 Web of Science
  • Crossref
Molecular Cloning and Characterization of a Paramyosin from Clonorchis sinensis
Tae-Joon Park, Jung-Mi Kang, Byoung-Kuk Na, Woon-Mok Sohn
Korean J Parasitol 2009;47(4):359-367.
Published online December 1, 2009
DOI: https://doi.org/10.3347/kjp.2009.47.4.359

Paramyosin is a myofibrillar protein present in helminth parasites and plays multifunctional roles in host-parasite interactions. In this study, we identified the gene encoding paramyosin of Clonorchis sinensis (CsPmy) and characterized biochemical and immunological properties of its recombinant protein. CsPmy showed a high level of sequence identity with paramyosin from other helminth parasites. Recombinant CsPmy (rCsPmy) expressed in bacteria had an approximate molecular weight of 100 kDa and bound both human collagen and complement 9. The protein was constitutively expressed in various developmental stages of the parasite. Imunofluorescence analysis revealed that CsPmy was mainly localized in the tegument, subtegumental muscles, and the muscle layer surrounding the intestine of the parasite. The rCsPmy showed high levels of positive reactions (74.6%, 56/75) against sera from patients with clonorchiasis. Immunization of experimental rats with rCsPmy evoked high levels of IgG production. These results collectively suggest that CsPmy is a multifunctional protein that not only contributes to the muscle layer structure but also to non-muscular functions in host-parasite interactions. Successful induction of host IgG production also suggests that CsPmy can be applied as a diagnostic antigen and/or vaccine candidate for clonorchiasis.

Citations

Citations to this article as recorded by  Crossref logo
  • Among-population proteomic differences in Schistocephalus solidus based on excretory/secretory and total body protein predictions
    Anni Wang, Daniel I. Bolnick
    Parasites & Vectors.2025;[Epub]     CrossRef
  • What about the Cytoskeletal and Related Proteins of Tapeworms in the Host’s Immune Response? An Integrative Overview
    Diana G. Ríos-Valencia, Javier Ambrosio, Rocío Tirado-Mendoza, Julio César Carrero, Juan Pedro Laclette
    Pathogens.2023; 12(6): 840.     CrossRef
  • Current status of Clonorchis sinensis and clonorchiasis in Korea: epidemiological perspectives integrating the data from human and intermediate hosts
    Won Gi Yoo, Woon-Mok Sohn, Byoung-Kuk Na
    Parasitology.2022; 149(10): 1296.     CrossRef
  • Mapping of the Complement C9 Binding Region on Clonorchis sinensis Paramyosin
    Jung-Mi Kang, Hương Giang Lê, Tuấn Cường Võ, Won Gi Yoo, Woon-Mok Sohn, Byoung-Kuk Na
    The Korean Journal of Parasitology.2022; 60(4): 255.     CrossRef
  • Characterization of paramyosin protein structure and gene expression during myogenesis in Pacific oyster (Crassostrea gigas)
    Huijuan Li, Qi Li, Hong Yu, Shaojun Du
    Comparative Biochemistry and Physiology Part B: Biochemistry and Molecular Biology.2021; 255: 110594.     CrossRef
  • Clonorchis sinensis and clonorchiasis
    Byoung-Kuk Na, Jhang Ho Pak, Sung-Jong Hong
    Acta Tropica.2020; 203: 105309.     CrossRef
  • Proteomic and Bioinformatic Investigations of Heat-Treated Anisakis simplex Third-Stage Larvae
    Maciej Kochanowski, Mirosław Różycki, Joanna Dąbrowska, Aneta Bełcik, Jacek Karamon, Jacek Sroka, Tomasz Cencek
    Biomolecules.2020; 10(7): 1066.     CrossRef
  • Bacillus subtilis spore with surface display of paramyosin from Clonorchis sinensis potentializes a promising oral vaccine candidate
    Hengchang Sun, Zhipeng Lin, Lu Zhao, Tingjin Chen, Mei Shang, Hongye Jiang, Zeli Tang, Xinyi Zhou, Mengchen Shi, Lina Zhou, Pengli Ren, Honglin Qu, Jinsi Lin, Xuerong Li, Jin Xu, Yan Huang, Xinbing Yu
    Parasites & Vectors.2018;[Epub]     CrossRef
  • Infection by the Helminth Parasite Fasciola hepatica Requires Rapid Regulation of Metabolic, Virulence, and Invasive Factors to Adjust to Its Mammalian Host
    Krystyna Cwiklinski, Heather Jewhurst, Paul McVeigh, Tara Barbour, Aaron G. Maule, Jose Tort, Sandra M. O'Neill, Mark W. Robinson, Sheila Donnelly, John P. Dalton
    Molecular & Cellular Proteomics.2018; 17(4): 792.     CrossRef
  • cDNA Cloning of Paramyosin from Several Kinds of Squid Mantle Muscle
    Takayuki Kajita, Yoshiko Takeda, Saki Yoshida, Koki Yamada, Masahiro Matsumiya, Hideto Fukushima
    Advances in Bioscience and Biotechnology.2018; 09(01): 11.     CrossRef
  • Paramyosin of canine Onchocerca lupi: usefulness for the diagnosis of a neglected zoonotic disease
    Bronwyn Campbell, Helder Cortes, Giada Annoscia, Alessio Giannelli, Antonio Parisi, Maria Stefania Latrofa, Filipe Dantas-Torres, Luís Cardoso, Domenico Otranto
    Parasites & Vectors.2016;[Epub]     CrossRef
  • Proteomic analysis of the excretory/secretory products and antigenic proteins of Echinococcus granulosus adult worms from infected dogs
    Ying Wang, Di Xiao, Yujuan Shen, Xiuming Han, Fei Zhao, Xiaohong Li, Weiping Wu, Hejun Zhou, Jianzhong Zhang, Jianping Cao
    BMC Veterinary Research.2015;[Epub]     CrossRef
  • Mapping of the putative epitope domain of Clonorchis sinensis paramyosin (CsPmy) recognized by CsPmy-specific immunoglobulin G in sera of human clonorchiasis
    Jung-Mi Kang, Hye-Lim Ju, Jinyoung Lee, Tae Im Kim, Shin-Hyeong Cho, Tong-Soo Kim, Woon-Mok Sohn, Byoung-Kuk Na
    Molecular and Biochemical Parasitology.2015; 201(1): 66.     CrossRef
  • Trichinella spiralis Paramyosin Binds Human Complement C1q and Inhibits Classical Complement Activation
    Ran Sun, Xi Zhao, Zixia Wang, Jing Yang, Limei Zhao, Bin Zhan, Xinping Zhu, Elizabeth Angelica Leme Martins
    PLOS Neglected Tropical Diseases.2015; 9(12): e0004310.     CrossRef
  • The identification of antigenic proteins: 14-3-3 protein and propionyl-CoA carboxylase in Clonorchis sinensis
    Myoung-Ro Lee, Yu-Jung Kim, Dae-Won Kim, Won Gi Yoo, Shin-Hyeong Cho, Kwang Yeon Hwang, Jung-Won Ju, Won-Ja Lee
    Molecular and Biochemical Parasitology.2012; 182(1-2): 1.     CrossRef
  • Molecular identification and characterization of leucine aminopeptidase 2, an excretory-secretory product of Clonorchis sinensis
    Chuanhuan Deng, Jiufeng Sun, Xuerong Li, Lexun Wang, Xuchu Hu, Xiaoyun Wang, Wenjun Chen, Xiaoli Lv, Chi Liang, Wenfang Li, Yan Huang, Ran Li, Zhongdao Wu, Xinbing Yu, Jin Xu
    Molecular Biology Reports.2012; 39(10): 9817.     CrossRef
  • Synthetic peptide-targeted selection of phage display mimotopes highlights immunogenic features of α-helical vs non-helical epitopes of Taenia solium paramyosin: Implications for parasite- and host-protective roles of the protein
    Karlen G. Gazarian, Carlos F. Solis, Tatiana G. Gazarian, Merrill Rowley, Juan P. Laclette
    Peptides.2012; 34(1): 232.     CrossRef
  • Identification and Characterization of Paramyosin from Cyst Wall of Metacercariae Implicated Protective Efficacy against Clonorchis sinensis Infection
    Xiaoyun Wang, Wenjun Chen, Xiaoli Lv, Yanli Tian, Jingtao Men, Xifeng Zhang, Huali Lei, Chenhui Zhou, Fangli Lu, Chi Liang, Xuchu Hu, Jin Xu, Zhongdao Wu, Xuerong Li, Xinbing Yu, Erika Martins Braga
    PLoS ONE.2012; 7(3): e33703.     CrossRef
  • Progress on the transcriptomics of carcinogenic liver flukes of humans—Unique biological and biotechnological prospects
    Neil D. Young, Aaron R. Jex, Cinzia Cantacessi, Bronwyn E. Campbell, Thewarach Laha, Woon-Mok Sohn, Banchob Sripa, Alex Loukas, Paul J. Brindley, Robin B. Gasser
    Biotechnology Advances.2010; 28(6): 859.     CrossRef
  • 60,361 View
  • 116 Download
  • Crossref