INTRODUCTION
Toxoplasma gondii is an apicomplexan protozoa, which can cause abortion or congenital birth defects in humans. Toxoplasma encephalitis has recently emerged as a serious opportunistic infection, especially in association with AIDS (Luft and Remington, 1992; Wong and Remington, 1993). T. gondii invades host cells at the tachyzoite stage, and tachyzoites within a parasitophorous vacuole rapidly replicate, rupture host cells, and invade new cells (Hall and Joiner, 1991; Dubey et al., 1998). The cell invasion mechanism consists of host cell attachment, protrusion of the conoid, exocytosis of micronemes and rhoptries, and finally membrane penetration (Morisaki et al., 1995). This mechanism involves many factors such as intracellular divalent ions, enzymes, and the cytoskeletal structures of T. gondii (Lee et al., 2002).
The calcium ion (Ca2+) is maintained at relatively low concentrations by many channels and pumps in cell membranes and cellular organelles. When intracellular calcium is increased due to signal transduction, it interacts with calmodulin or protein kinase C or with other intracellular molecules, to induce a plethora of intracellular processes, including cell motility, division, secretion, cytoskeletal activity, and protein synthesis. Moreover, calcium ion binding proteins such as calmodulin, act as Ca2+ receptors. Calmodulin is a small protein, which binds Ca2+, and the Ca2+-calmodulin complex formed is involved in many signal transduction pathways (Cheung, 1980). On the other hand, the unbound calcium ion is a major signaling molecule in eukaryotic cells, including many human parasitic protozoa, such as Trypanosoma cruzi, Leishmania sp., T. gondii, and Giardia lamblia (Makioka et al., 2001; Moreno and Docampo, 2003). The pretreatment of T. cruzi trypomastigotes with Ca2+ chelator, BAPTA/AM decreased their infectivity while treatment with Ca2+ ionophore, ionomycin enhanced the infectivity (Yakubu et al., 1994). Moreover, when tachyzoites of T. gondii attach and invade host cells, calcium concentrations in the tachyzoites are increased (Mondragon and Frixione, 1996; Vieira and Moreno, 2000).
Therefore, the present experiment was undertaken to determine the influence of Ca2+ in T. gondii during host cell invasion and intracellular replication by using calcium modulators and calmodulin antagonist. Moreover, changes of intracellular Ca2+ and calmodulin in tachyzoites were observed by confocal and electron microscopy.
MATERIALS AND METHODS
Reagents
RPMI 1640 was purchased from Invitrogen (Carlsbad, CA, USA) and fetal bovine serum from Cambrex (Walkersville, MD, USA). EGTA (ethylene glycol-bis(β-aminoethyl ether)-N,N,N,N'-tetraacetic acid) was used as an extracellular calcium chelator, BAPTA/AM (1,2-bis(2-aminophenoxy)ethane-N,N,N,N'-tetraacetic acid) as an intracellular calcium chelator. A23187 was used as a calcium ionophore, thapsigargin as an intracellular calcium store release agent, bepridil and verapamil as calcium channel blockers, and calmidazolium as a calmodulin antagonist. Stock solution of EGTA was prepared in distilled water (50 mM/ml), and bepridil was prepared in 95% ethanol (5 mM/ml). Other drugs were prepared in DMSO (BAPTA/AM, 10 mM/ml; A23187, 5 mM/ml; thapsigargin, 250 µM/ml; verapamil, 5 mM/ml; calmidazolium, 1 mM/ml, respectively) and stored at -20℃ before use. All calcium modulators and the calmodulin antagonist were obtained from Sigma (St Louis, MO, USA); Fluo-4 AM from Molecular probes (Eugene, OR, USA); LR white from London Resin White (Hants, UK); anti-actin monoclonal antibody from Santa Cruz (Santa Cruz, CA, USA); and anticalmodulin monoclonal antibody from Calbiochem (San Diego, CA, USA).
Parasites
Tachyzoites of T. gondii (RH starin) were propagated by intraperitoneal passage in ICR mice (Daehan Biolink Co., Korea) at 3 or 4 day intervals. After injecting RPMI 1640 intraperitoneally, mouse peritoneal fluid was sampled and centrifuged at 40 g for 5 min twice, and then at 650 g for 10 min. The supernatant was removed and pellets were resuspended in RPMI 1640 at the desired cell density. Parasite viability was determined using trypan blue (0.2% solution).
Invasion assay of T. gondii treated with Ca2+ modulators and ionophore
HeLa cells (a human cervical cancer cell line, Yonsei University) were cultured in a 50 ml culture flask (Becton Dickinson, Franklin Lakes, NJ, USA) in RPMI 1640 supplemented with 10% fetal bovine serum (RPMI 1640/10% FBS), and antibiotics (104 units of penicillin/ml and 104 µg of streptomycin/ml) at 37℃ in a saturated 5% CO2 atmosphere. Round coverslips were placed over wells in a 12-well plate containing 2 ml of RPMI 1640/10% FBS. HeLa cells (1 × 105) were then added to each well, and incubated at 37℃ in a saturated 5% CO2 atmosphere for 6 hr. The effective and lowest concentrations of calcium modulators and calmodulin antagonist were determined. Tachyzoites were separatively incubated with 10 mM EGTA, 25 µM BAPTA/AM, 1 µM A23187, 5 µM A23187 with 2 mM EGTA, 5 µM thapsigargin, 10 µM bepridil, 10 µM verapamil, or 1 µM calmidazolium, at 37℃ for 20 min. T. gondii tachyzoites were washed with RPMI 1640 and infected to HeLa cells (parasite:cell = 5:1). The infection rates and mean numbers of tachyzoites in HeLa cells were assessed by counting infected cells and the numbers of tachyzoites in 100 cells, respectively, under a light microscope after stained with 10% Giemsa solution at 4 hr or 18 hr post infection (PI). Experiments were performed in triplicate and results were averaged.
Conoid extrusion assay
T. gondii tachyzoites were suspended in normal or calcium saline (5 mM CaCl2) containing 5 µM A23187, 25 µM BAPTA/AM, or 5 µM calmidazolium and incubated at 37℃ for 20 min. After centrifugation, tachyzoites were fixed with 2% glutaraldehyde for 1 hr, resuspended in distilled water, and stained with 10 % Giemsa solution. T. gondii with a extended conoid were counted among 100 tachyzoites under a light microscope.
Immunoelectron microscopy
T. gondii were treated with 1 µM calmidazolium in RPMI 1640 for 1 hr, fixed with 2% glutaraldehyde for 3 hr, and then post-fixed with 1% osmium tetroxide. Specimens were sequentially dehydrated in 20%, 50%, 70% and 100% ethanol, and embedded in LR white. Ultrathin sections on a nickel grid were incubated with NH4Cl, 0.5 M Tris buffer, and then for 2 hr with anti-calmodulin or anti-actin mAb (1:50) as a primary antibody. Colloidal gold (12 nm) conjugated to goat anti-mouse IgG (1:40) was then added as a secondary antibody. After washing, sections were stained with 4% uranyl acetate and lead citrate, and observed under an electron microscope (Hithachi H-7600s, Japan).
Confocal microscopy
T. gondii tachyzoites (2 × 107) in RPMI 1640 were stained with Fluo-4 AM according to the manufacturer's instructions. After treating T. gondii tachyzoites with BAPTA/AM, A23187, or calmidazolium, intracellular calcium of tachyzoites was observed under a confocal microscope (Bio-rad MRC 1024, CA, USA). Briefly, tachyzoites were stained with 10 µM Fluo-4 AM at room temperature for 45 min, washed with phosphate buffered saline (PBS) twice, and then incubated in 1 ml PBS for 30 min. After treating tachyzoites with 50 µM BAPTA/AM, 5 µM A23187, or 5 µM calmidazolium for 20 min, they were examined by confocal microscopy.
RESULTS
Cell invasion of T. gondii was reduced by treating with calcium modulators or calmodulin antagonist
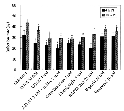
To determine the role of Ca2+ on host cell invasion and T. gondii replication, tachyzoites were treated with the calcium modulators, EGTA, BAPTA/AM, A23187, thapsigargin, bepridil, verapamil, or with the calmodulin antagonist, calmidazolium. Invasion into HeLa cells was greatly reduced by treating T. gondii with 5 µM A23187 and 2 mM EGTA at 4 hr (20.0 ± 4.2%, untreated 32.1 ± 4.1%) and at 18 hr (29.1 ± 3.2%, untreated 43.3 ± 3.8%) PI (Fig. 1). HeLa cell invasion was also suppressed by treating tachyzoites with 25 µM BAPTA/AM or 1 µM calmidazolium, and by A23187 or thapsigargin, which showed similar decreased patterns of infectivity (P<0.05) (Fig. 1). The infection rate of HeLa cells by bepridil or verapamil treated tachyzoites did not change at 4 hr PI. Intracellular replication of T. gondii in HeLa cells was slightly suppressed by Ca2+ modulators (P<0.05) (Fig. 2).
Calcium saline with calcium ionophore induced conoid extrusion of T. gondii
The rates of conoid extrusion after treating tachyzoites with calcium and A23187 were evaluated by light microscopy after Giemsa staining. The exposure of tachyzoites to calcium saline containing 5 µM A23187 for 20 min induced conoid extrusion in 71.0 ± 6.7% (normal saline 17.8 ± 2.4, P<0.05) (Fig. 3). The conoid extrusion percentage of tachyzoites in normal saline containing A23187 was lower than in calcium saline containing A23187. However, tachyzoites treatment in calcium saline containing BAPTA/AM or calmidazolium did not induce conoid extrusion (Fig. 3A).
Calmodulin was localized on the anterior portion of tachyzoites
Calmodulin localization in T. gondii was observed by immunoelectron microscopy. When T. gondii was labeled with anti-calmodulin mAb and colloidal gold (12 nm) conjugated with goat anti-mouse IgG, gold particles were found to be localized at the apical region of tachyzoites (Figs. 4B, 4C). On the other hand, calmodulin antagonist calmidazolium treated tachyzoites showed few gold particles (Fig. 4D). The actin of T. gondii was localized at the anterior portion of tachyzoites by anti-actin mAb (Figs. 4E, 4F). Calmodulin and actin were not observed in regions other than the anterior portion of T. gondii tachyzoites. Therefore, calmodulin and actin were found colocalized in the apical region of tachyzoites.
Change of calcium in T. gondii was observed after calcium chelator treatment
Tachyzoites were treated with 50 µM BAPTA/AM, 5 µM A23187, or 5 µM calmidazolium for 20 min, respectively, and examined under a confocal microscope. Tachyzoites treated with BAPTA/AM showed a distinct reduction in cytoplasmic calcium (Fig. 5B). Calmidazolium-treated tachyzoites showed slightly reduced intracellular calcium levels, especially in the apical region, but no significant efflux of calcium were observed from A23187-treated tachyzoites (Figs. 5C, 5D).
DISCUSSION
The invasion of host cells by T. gondii involves complex mechanisms such as conoid extrusion, cytoskeletal rearrangement, and the secretion of proteins and enzymes (Morisaki et al., 1995; Black et al., 2000). Extracellular and intracellular Ca2+ play an important role during invasion, conoid extrusion, and intracellular replication (Hupe et al., 1991; Mondragon and Frixione, 1996; Bonhomme et al., 1999). In this study, extracellular and intracellular calcium chelators, calcium ionophore, calcium channel blockers, and calmodulin antagonist were used to reduce the Ca2+ in T. gondii. When tachyzoites were co-treated with the Ca2+ ionophore A23187 and calcium chelator EGTA, invasion into HeLa cells was reduced at 4 hr and 18 hr PI. Treatment of A23187 and EGTA effectively suppressed tachyzoite invasion compared to tachyzoites treated with A23187 or EGTA alone. However, the calcium channel blockers, bepridil or verapamil, were less effective at inhibiting invasion (Figs. 1, 2). These results suggest that treatment with a calcium ionophore and an extracellular Ca2+ chelator lead to Ca2+ efflux in T. gondii and inhibited cell invasion. When tachyzoites were treated with A23187 or ionomycin as calcium ionophores, loss of infectivity and conoid extrusion were reported (Mondragon and Frixione, 1996; Pezzella et al., 1997; Black et al., 2000).
Intracellular calcium levels in T. gondii were reduced by BAPTA/AM and invasion was inhibited by reducing calcium in parasite (Mondragon and Frixione, 1996). In our experiment, HeLa cell invasion was significantly inhibited by BAPTA/AM treated tachyzoites at 4 hr and 18 hr PI and reduced Ca2+ was observed in the cytoplasm of tachyzoites by confocal microscopy (Figs. 1, 2, 5B). When tachyzoites were pretreated with the extracellular calcium chelator EGTA, T. gondii invasion and intracellular replication were slightly reduced versus intracellular calcium chelator pretreatment (Figs. 1, 2). In case of tachyzoites pretreated with thapsigargin, an intracellular calcium store releaser, conoid extrusion was observed presumably due to the release of intracellular calcium (Mondragon and Frixione, 1996). Moreover, we observed that thapsigargin pretreated tachyzoites showed reduced HeLa cell invasion at 4 hr and 18 hr PI (Figs. 1, 2). The cytoskeleton of T. gondii is known to take a part in host cell invasion, and dependency of cytoskeletal alteration on calmodulin have been described in Plasmodium falciparum (Matsumoto et al., 1987; Lee et al., 2002). Calcium-calmodulin complexes have several known functions, i.e., the assembly and disassembly of microtubules, and in cell motility, secretion, metabolism, and growth (Ray et al., 1990; Pezzella et al., 1997). When calmidazolium pretreated tachyzoites were added to HeLa cells, infection rates and the numbers of tachyzoites were reduced at 4 hr and 18 hr PI, as were intracellular calcium levels, especially in the apical region of tachyzoites by confocal microscopy (Figs. 1, 2, 5D). We observed that higher concentrations of calcium modulators (50 mM EGTA, 50 µM BAPTA/AM, or 5 µM A23187) suppressed the infectivity and intracellular replication of T. gondii. However, no significant differences of host cell invasion and the replication of tachyzoites at high or low concentrations of thapsigargin, bepridil, verapamil, or calmidazolium were observed (data not shown). The infection rate of tachyzoites treated with BAPTA/AM or EGTA were increased, but that of calmidazolium-treated tachyzoites did not increase after 18 hr cultivation. Moreover, intracellular T. gondii Ca2+ levels could be recovered from the extracellular medium, and thus tachyzoite Ca2+ levels may be elevated in tachyzoites treated with BAPTA/AM or EGTA at 18 hr PI.
In coccidia such as T. gondii, the conoid facilitates host cell invasion (Nichols and Chiappino, 1987). Calcium ion release from internal stores may act as a key signal to activate conoid extrusion, which is probably mediated by actin filaments. In the present study, conoid extruded tachyzoite numbers were increased by incubation with the calcium ionophore, A23187, in 5 mM calcium saline, but BAPTA/AM and calmidazolium did not affect conoid extrusion (Fig. 3). It is considered that the intracellular Ca2+ of T. gondii was increased in calcium saline containing A23187, and thus, affected the conoid extrusion. The relationship between passively forced conoid extrusion and infectivity of T. gondii would be investigated.
The actin and myosin filaments that influence the motilities of tachyzoites are also located at the apical pole, and calmodulin is located at the anterior region of T. gondii tachyzoites during the extracellular state (Pezzella-D'Alessandro et al., 2001). In our experiment, calmodulin and actin were observed at the anterior end of tachyzoites (Figs. 4C, 4E). When T. gondii were treated with the calmodulin antagonist calmidazolium, gold particles decreased in the anterior region (Fig. 4D). Thus, we speculate that the calcium-calmodulin complex contributes to the movement of T. gondii.
The calcium ion is stored in the endoplasmic reticulum, mitochondria, and in the nucleus of eukaryotic cells. In protozoa, including T. gondii, another acidic Ca2+ storage organelle, the acidocalcisome, is present in the cytoplasm (Moreno and Zhong, 1996). The calcium storage and homeostasis system of T. gondii appears to be similar to that of other eukaryotic cells (Philosoph and Zilberstein, 1989; Bode and Netter, 1996). The calcium ion of host cells also influences cellular replication and the egress of T. gondii tachyzoites (Hupe et al., 1991; Pingret et al., 1996; Moudy et al., 2001). Moreover, when T. gondii contacts a host cell, Ca2+ signals can stimulate the host cell nucleus to synthesize proteins essential for T. gondii replication (Schwartzman and Pfefferkorn, 1982).
The results of the present study suggest that intracellular Ca2+ changes in T. gondii, especially due to calcium ionophores and extracellular calcium, are involved in the invasion and intracellular replication of T. gondii, and further suggest that calmodulin, which is located in anterior portion of T. gondii tachyzoites, might also be related to host cell invasion. The influence of the intracellular Ca2+ depletion of host cells on the infectivity of T. gondii requires further study.



