Skip to main navigation Skip to main content
  • KSPTM
  • E-Submission

PHD : Parasites, Hosts and Diseases

OPEN ACCESS
ABOUT
BROWSE ARTICLES
FOR CONTRIBUTORS

Page Path

68
results for

"Min Seo"

Article category

Keywords

Publication year

Authors

Funded articles

"Min Seo"

Brief Communication

Organ-specific Toxocara canis larvae migration and host immune response in experimentally infected mice
Min Seok Kim, Yan Jin, Se Joon Woo
Parasites Hosts Dis 2024;62(2):243-250.
Published online May 27, 2024
DOI: https://doi.org/10.3347/PHD.23125
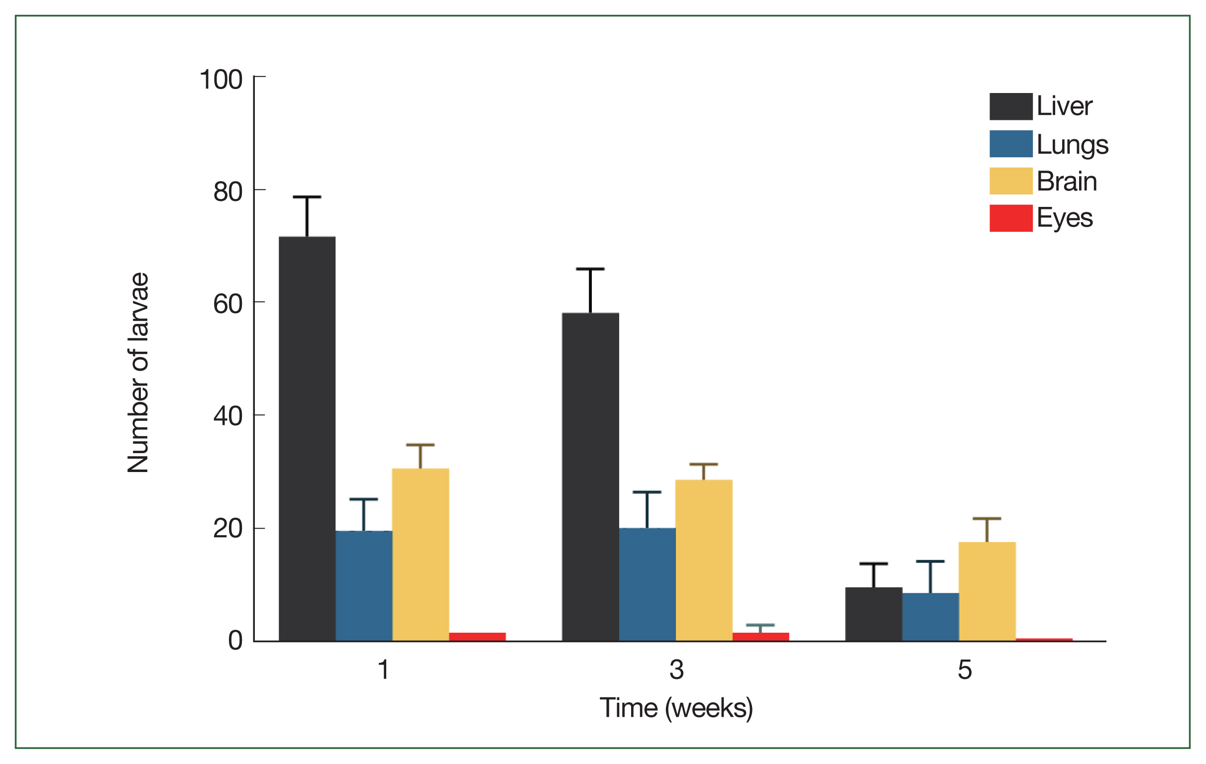
We investigated organ specific Toxocara canis larval migration in mice infected with T. canis larvae. We observed the worm burden and systemic immune responses. Three groups of BALB/c mice (n=5 each) were orally administered 1,000 T. canis 2nd stage larvae to induce larva migrans. Mice were sacrificed at 1, 3, and 5 weeks post-infection. Liver, lung, brain, and eye tissues were collected. Tissue from 2 mice per group was digested for larval count, while the remaining 3 mice underwent histological analysis. Blood hematology and serology were evaluated and compared to that in a control uninfected group (n=5) to assess the immune response. Cytokine levels in bronchoalveolar lavage (BAL) fluid were also analyzed. We found that, 1 week post-infection, the mean parasite load in the liver (72±7.1), brain (31±4.2), lungs (20±5.7), and eyes (2±0) peaked and stayed constant until the 3 weeks. By 5-week post-infection, the worm burden in the liver and lungs significantly decreased to 10±4.2 and 9±5.7, respectively, while they remained relatively stable in the brain and eyes (18±4.2 and 1±0, respectively). Interestingly, ocular larvae resided in all retinal layers, without notable inflammation in outer retina. Mice infected with T. canis exhibited elevated levels of neutrophils, monocytes, eosinophils, and immunoglobulin E. At 5 weeks post-infection, interleukin (IL)-5 and IL-13 levels were elevated in BAL fluid. Whereas IL-4, IL-10, IL-17, and interferon-γ levels in BAL fluid were similar to that in controls. Our findings demonstrate that a small portion of T. canis larvae migrate to the eyes and brain within the first week of infection. Minimal tissue inflammation was observed, probably due to increase of anti-inflammatory cytokines. This study contributes to our understanding of the histological and immunological responses to T. canis infection in mice, which may have implications to further understand human toxocariasis.

Citations

Citations to this article as recorded by  Crossref logo
  • Histopathological changes, dynamics of macrophage polarization and deposition of type I and III collagen along the course of experimental hepatic toxocariasis
    Iman F. Abou-El-Naga, Eman Dorry Elkerdany, Rania G. Aly, Enas Mohammed Mostafa Zaytoun
    Experimental Parasitology.2026; 280: 109082.     CrossRef
  • Toxocara canis infections in mice: from subtle to severe consequences in 100 weeks
    Nicol Bernardová, Jan Novák, Chia-Kwung Fan, Libuše Kolářová, Marta Chanová
    Journal of Helminthology.2025;[Epub]     CrossRef
  • The association of seropositivity to Toxocara canis and Ascaris lumbricoides with blood group antigens
    Kravchun Pavlo Grigorovich, Leontyeva Frida Solomonivna, Povelichenko Olena Dmytrivna, Kadykova Olga Igorivna, Valentyna Dielievska
    Reviews and Research in Medical Microbiology.2025;[Epub]     CrossRef
  • Characteristics of Toxocara canis induced lung inflammation in C57BL/6 mice
    Janina Lekki-Jóźwiak, Justyna Karabowicz, Magdalena Paschall, Karolina Gregorczyk-Zboroch, Małgorzata Sobczak-Filipiak, Piotr Bąska, Irma Schabussova, Ewa Długosz
    Frontiers in Immunology.2025;[Epub]     CrossRef
  • Immunomodulatory and anti-fibrotic effects of Toxocara canis infection in a murine model of thioacetamide-induced chronic hepatic fibrosis
    Iman F. Abou-El-Naga, Eman Dorry Elkerdany, Rania G. Aly, Enas Mohamed Mostafa Zaytoun
    Acta Tropica.2025; 272: 107913.     CrossRef
  • 6,875 View
  • 100 Download
  • 5 Web of Science
  • Crossref

Review

Paleoparasitology research on ancient helminth eggs and larvae in the Republic of Korea
Jong-Yil Chai, Min Seo, Dong Hoon Shin
Parasites Hosts Dis 2023;61(4):345-387.
Published online November 28, 2023
DOI: https://doi.org/10.3347/PHD.23085
Paleoparasitology is a discipline that applies existing conventional and molecular techniques to study parasites found in ancient ruins. This review focuses on the history of the discovery of parasites (mostly helminth eggs and larvae) in archaeological soil samples and mummies in Korea from the Three Kingdoms Period to the Joseon Dynasty (100 BCE-1910 CE). We also briefly review important milestones in global paleoparasitology. The helminth species reported so far in Korea included Ascaris lumbricoides, Trichuris trichiura, Strongyloides stercoralis (larva), Trichostrongylus sp. (larva), Paracapillaria philippinensis (syn. Capillaria philippinensis), Enterobius vermicularis, Fasciola hepatica, dicrocoeliids, Paragonimus westermani, Clonorchis sinensis, Metagonimus yokogawai, Pygidiopsis summa, Gymnophalloides seoi, Isthmiophora hortensis, Dibothriocephalus nihonkaiensis (syn. Diphyllobothrium nihonkaiense), and Taenia spp. tapeworms. The findings obtained by Korean paleoparasitologists/archaeologists have brought about deep insight into the status of helminthic infections in Korea’s past populations. Continued paleoparasitological research is essential for further understanding of ancient parasites and parasitic diseases in Korea.

Citations

Citations to this article as recorded by  Crossref logo
  • Imported parasitic diseases in the Republic of Korea: status and issues
    Jong-Yil Chai
    Journal of the Korean Medical Association.2025; 68(1): 52.     CrossRef
  • 10,152 View
  • 231 Download
  • 1 Web of Science
  • Crossref

Brief Communications

Morphological studies of fly puparia (Diptera: Calliphoridae) in the soil from a Joseon Dynasty grave in Korea
In-Yong Lee, Ju Yeong Kim, Jung-Min Park, Ji Ho Seo, Bo-Young Jeon, Tai-Soon Yong, Min Seo
Parasites Hosts Dis 2023;61(4):471-475.
Published online November 28, 2023
DOI: https://doi.org/10.3347/PHD.23047
Archaeoentomological investigations were conducted on soil contents from a grave belonging to the Joseon Dynasty as part of the Urban Environment Maintenance Project (UEMP) in Cheongjin 12–16 dong (districts), Jongno-gu, Seoul, Korea, from December 01, 2008 to February 19, 2011. A total of 28 insect puparia with hard shells of the common green bottle fly Lucilia sericata were identified in the soil. Evidence suggested that the corpse was placed outside for some days instead of being buried immediately after death. This is the first report of fly puparia in soil samples from a tomb of the Joseon Dynasty during 16–17 AD in Korea. Our findings may help determine the timeframe of burial and offer archaeological insights into the funerary customs of the period.
  • 2,757 View
  • 137 Download
A parasitological study on the possible toilet ruins of the Japanese colonial period in Korea
Jieun Kim, Min Seo, Hisashi Fujita, Jong Yil Chai, Jin Woo Park, Jun Won Jang, In Soo Jang, Dong Hoon Shin
Parasites Hosts Dis 2023;61(2):198-201.
Published online May 23, 2023
DOI: https://doi.org/10.3347/PHD.23013
In the past decade, experts have conducted parasitological research on archaeological specimens in Korea to collect historical parasite infection data. In these studies, parasitologists successfully described the infection pattern of each parasite species in history. However, in the first half of the 20th century, archaeoparasitological reports have been scant. In 2021, we conducted a parasitological examination of a toilet-like structure that emerged in the early 20th century. This structure was built by stacking 2 wooden barrels; and in the study samples, we found ancient Trichuris trichiura, Ascaris lumbricoides (unfertilized), and Taenia spp. eggs and therefore proposed a higher possibility that the barrels could have been used as a toilet at the time. To understand how the antihelminthic campaign since the 1960s helped reduce parasite infection rates in Korea, more research should focus on early-20th-century toilet ruins.

Citations

Citations to this article as recorded by  Crossref logo
  • Problems in Japanese archaeoparasitology: Analysis of paleo-parasitic eggs from Hachinohe Castle
    Hisashi Fujita, Masako Funaba, Shiori O. Fujisawa
    Parasites, Hosts and Diseases.2025; 63(3): 278.     CrossRef
  • 4,042 View
  • 157 Download
  • 2 Web of Science
  • Crossref
Updates on parasite infection prevalence in the Joseon period based on parasitological studies of human coprolites isolated from archaeological sites in the cities of Euijeongbu, Gumi, and Wonju
Chang Seok Oh, Jong-Yil Chai, Sori Min, Kyong Taek Oh, Jeonghwan Seol, Mi Kyung Song, Dong Hoon Shin, Min Seo
Parasites Hosts Dis 2023;61(1):89-93.
Published online February 22, 2023
DOI: https://doi.org/10.3347/PHD.22129
Parasite infection rates estimated by examining ancient coprolites can provide insights into parasitism in Joseon society. Using newly discovered Joseon period cases is essential to regularly update the parasite infection rates and reinforce the reliability of our previous estimations. In the present study, we investigated parasite infections in Joseon coprolites newly isolated from the cities of Euijeongbu, Gumi, and Wonju. We then updated the overall parasite infection rates of Joseon period samples (n= 30) as follows: 86.7% (26/30) for Trichuris trichiura, 56.7% (17/30) for Ascaris lumbricoides, 30.0% (9/30) for Clonorchis sinensis, and 30.0% (9/30) for Paragonimus westermani. The parasite infection rates in the Joseon society, estimated through coprolite examination, were very similar to those determined previously despite the addition of new cases to the existing data pool.

Citations

Citations to this article as recorded by  Crossref logo
  • A parasitological study on the possible toilet ruins of the Japanese colonial period in Korea
    Jieun Kim, Min Seo, Hisashi Fujita, Jong Yil Chai, Jin Woo Park, Jun Won Jang, In Soo Jang, Dong Hoon Shin
    Parasites, Hosts and Diseases.2023; 61(2): 198.     CrossRef
  • Paleoparasitology research on ancient helminth eggs and larvae in the Republic of Korea
    Jong-Yil Chai, Min Seo, Dong Hoon Shin
    Parasites, Hosts and Diseases.2023; 61(4): 345.     CrossRef
  • 4,395 View
  • 166 Download
  • 2 Web of Science
  • Crossref

Case Reports

Demodex Blepharitis: An Analysis of Nine Patients
Young Il Lee, Min Seo, Kyong Jin Cho
Korean J Parasitol 2022;60(6):429-432.
Published online December 22, 2022
DOI: https://doi.org/10.3347/kjp.2022.60.6.429
Inflammatory eyelid symptoms are common in primary care and there have been several reports on Demodex blepharitis. In the present study, we evaluate the 9 patients with Demodex blepharitis, who showed inflammation of the eyelids, dry eye, and cylindrical dandruff at the base of the eyelashes. The causative species from all patients was Demodex folliculorum of either the adult or nymph stage. Two patients had recurrent chalazion and 3 patients had keratitis. Weekly lid scrubs with 50% tee tree oil were performed for 6 weeks. After treatment, the symptoms of blepharitis and keratitis had improved in all patients. This case report provides clinical reference source for the proper treatment of ocular demodicosis.

Citations

Citations to this article as recorded by  Crossref logo
  • Diagnostic and Therapeutic Challenges in Blepharokeratoconjunctivitis Associated with Demodex Infestation: A Case-Based Review
    Sahiti Puttagunta, Muralidhar Ramappa
    Indian Journal of Ophthalmology - Case Reports.2026; 6(1): 157.     CrossRef
  • Natural Products as Mite Control Agents in Animals: A Review
    Fei Liao, Changquan Han, Qingsheng Deng, Ziyao Zhou, Taotao Bao, Menghuai Zhong, Guangyao Tao, Renjun Li, Bo Han, Yanlong Qiao, Yanchun Hu
    Molecules.2023; 28(19): 6818.     CrossRef
  • 5,791 View
  • 143 Download
  • 2 Web of Science
  • Crossref
Helminth Eggs Detected in Soil Samples of a Possible Toilet Structure Found at the Capital Area of Ancient Baekje Kingdom of Korea
Chang Seok Oh, Sang-Yuck Shim, Yongjun Kim, Jong Ha Hong, Jong-Yil Chai, Hisashi Fujita, Min Seo, Dong Hoon Shin
Korean J Parasitol 2021;59(4):393-397.
Published online August 18, 2021
DOI: https://doi.org/10.3347/kjp.2021.59.4.393
Although research conducted in East Asia has uncovered parasite eggs from ancient toilets or cesspits, data accumulated to date needs to be supplemented by more archaeoparasitological studies. We examined a total of 21 soil samples from a toilet-like structure at the Hwajisan site, a Baekje-period royal villa, in present-day Korea. At least 4 species of helminth eggs, i.e., Trichuris trichiura, Ascaris lumbricoides, Clonorchis sinensis, and Trichuris sp. (or Trichuris vulpis) were detected in 3 sediment samples of the structure that was likely a toilet used by Baekje nobles. The eggs of T. trichiura were found in all 3 samples (no. 1, 4, and 5); and A. lumbricoides eggs were detected in 2 samples (no. 4 and 5). C. sinensis and T. vulpis-like eggs were found in no. 5 sample. From the findings of this study, we can suppose that the soil-transmitted helminths were prevalent in ancient Korean people, including the nobles of Baekje Kingdom during the 5th to 7th century.

Citations

Citations to this article as recorded by  Crossref logo
  • Clonorchis sinensis and Cholangiocarcinoma
    Eun-Min Kim, Sung-Tae Hong
    Journal of Korean Medical Science.2025;[Epub]     CrossRef
  • Problems in Japanese archaeoparasitology: Analysis of paleo-parasitic eggs from Hachinohe Castle
    Hisashi Fujita, Masako Funaba, Shiori O. Fujisawa
    Parasites, Hosts and Diseases.2025; 63(3): 278.     CrossRef
  • Paleoparasitology research on ancient helminth eggs and larvae in the Republic of Korea
    Jong-Yil Chai, Min Seo, Dong Hoon Shin
    Parasites, Hosts and Diseases.2023; 61(4): 345.     CrossRef
  • 5,048 View
  • 107 Download
  • 4 Web of Science
  • Crossref
Two Helminthic Cases of Human Mummy Remains from Joseon-Period Graves in Korea
Chang Seok Oh, Hyejin Lee, Jieun Kim, Jong Ha Hong, Soon Chul Cha, Jong-Yil Chai, Cheol Min Ha, Ryang-Ji Kang, Do-Seon Lim, Dong Hoon Shin, Min Seo
Korean J Parasitol 2021;59(2):149-152.
Published online April 22, 2021
DOI: https://doi.org/10.3347/kjp.2021.59.2.149
Our previous research on coprolite specimens from the mummies of Joseon Dynasty (1392-1910 CE) has revealed various species of parasite eggs. Herein, we added 2 new helminthic cases of human remains from Joseon-period graves in the Republic of Korea (Korea). The organic materials precipitated on the hip bones of 2 half-mummied cases (Goryeong and Gwangmyeong cases) were collected, rehydrated, and examined by a microscope. In the sample from Goryeong-gun (gun=County), ova of Trichuris trichiura, Clonorchis sinensis, and Metagonimus spp. were detected, and eggs of T. trichiura and A. lumbricoides were found from the sample of Gwangmyeong-si (si=City). By adding this outcome to the existing data pool, we confirm our previous estimates of Joseon-period parasite infection rates. The overall rates of A. lumbricoides, T. trichiura, and C. sinensis decreased dramatically from Joseon to the modern period. In Goryeong mummy specimen, we also found Metagonimus spp. eggs that has rarely been detected in archaeological samples so far.

Citations

Citations to this article as recorded by  Crossref logo
  • Updates on parasite infection prevalence in the Joseon period based on parasitological studies of human coprolites isolated from archaeological sites in the cities of Euijeongbu, Gumi, and Wonju
    Chang Seok Oh, Jong-Yil Chai, Sori Min, Kyong Taek Oh, Jeonghwan Seol, Mi Kyung Song, Dong Hoon Shin, Min Seo
    Parasites, Hosts and Diseases.2023; 61(1): 89.     CrossRef
  • Paleoparasitology research on ancient helminth eggs and larvae in the Republic of Korea
    Jong-Yil Chai, Min Seo, Dong Hoon Shin
    Parasites, Hosts and Diseases.2023; 61(4): 345.     CrossRef
  • Ancient DNA of Metagonimus yokogawai Recovered from Joseon Period Human Remains Newly Discovered at Goryeong County in South Korea
    Chang Seok Oh, Jong Ha Hong, Jong Yil Chai, Mi Kyung Song, Ho-Jin Jang, Min Seo, Dong Hoon Shin
    Acta Parasitologica.2022; 67(1): 539.     CrossRef
  • Genetic Analysis of Ancient Clonorchis sinensis Eggs Attained from Goryeong Mummy of Joseon Dynasty Period
    Chang Seok Oh, Min Seo, Hye Jin Lee, Myeung Ju Kim, Do-Seon Lim, Dong Hoon Shin
    Journal of Parasitology.2022;[Epub]     CrossRef
  • Current status of Clonorchis sinensis and clonorchiasis in Korea: epidemiological perspectives integrating the data from human and intermediate hosts
    Won Gi Yoo, Woon-Mok Sohn, Byoung-Kuk Na
    Parasitology.2022; 149(10): 1296.     CrossRef
  • 6,058 View
  • 127 Download
  • 5 Web of Science
  • Crossref

Brief Communication

Intestinal Flukes Recovered from a Herring Gull, Larus argentatus, in the Republic of Korea
Young-Il Lee, Min Seo, Jong-Yil Chai
Korean J Parasitol 2020;58(1):81-86.
Published online February 29, 2020
DOI: https://doi.org/10.3347/kjp.2020.58.1.81
Trematode specimens were collected from the intestine of a herring gull, Larus argentatus, which was found in a critical condition on the shore of a small island (Yubu-do, Seocheon-gun, Chungcheongnam-do) located at the western coast of the Korean peninsula. Total 11 specimens of intestinal flukes, including 3 Cryptocotyle lingua (Heterophyidae), 1 Himasthla alincia (Echinostomatidae), 5 Cardiocephaloides medioconiger (Strigeidae), and 2 Diplostomum spathaceum (Diplostomidae), were recovered. C. lingua was morphologically characterized by the presence of a large ventrogenital apparatus and 2 obliquely tandem testes. H. alincia had an elongated body and a head collar equipped with 31 collar spines. C. medioconiger had a bisegmented body and a voluminous copulatory bursa containing the seminal vesicle and ejaculatory duct. D. spathaceum also had a bisegmented body and its vitellaria extended up to the anterior border of the tribocytic organ. It is of note that C. lingua is potentially zoonotic that can occur in birds and humans. Three of them, i.e., C. lingua, C. medioconiger, and D. spathaceum, are new trematode fauna in Korea. Studies on trematode fauna of migratory birds should be continued in Korea.

Citations

Citations to this article as recorded by  Crossref logo
  • Identification tools of Diplostomum spathaceum Rudolphi, 1819 (Diplostomida: Diplostomidae), a trematode parasite of herring gull (Larus argentatus)
    E. Alshehri, R. Abdel-Gaber, S. Al-Quraishy
    Arquivo Brasileiro de Medicina Veterinária e Zootecnia.2024;[Epub]     CrossRef
  • Infection of Atlantic tripletail Lobotes surinamensis (Teleostei: Lobotidae) by brain metacercariae Cardiocephaloides medioconiger (Digenea: Strigeidae)
    Isaure de Buron, Kristina M. Hill-Spanik, Tiffany Baker, Gabrielle Fignar, Jason Broach
    PeerJ.2023; 11: e15365.     CrossRef
  • Biogeographical Aspects of Helminths Parasitizing Barents Sea Birds: Spatial Distribution and Host Preferences
    V. V. Kuklin
    Biology Bulletin.2022; 49(9): 1570.     CrossRef
  • Cryptokotyle lühe, 1899 (trematoda: heterophyidae): special characteristics of developmental biology and epizootiology
    S. Honcharov, N. Soroka, A. Dubovyi, M. Galat
    Agricultural Science and Practice.2022; 9(1): 50.     CrossRef
  • Cryptocotyle lata (Trematoda: Heterophyidae) Adult from a Korean Raccoon Dog, Nyctereutes procyonoides koreensis
    Heon Woo Lee, Eui Ju Hong, Hyeon Cheol Kim, Si Yun Ryu, Bae Keun Park
    The Korean Journal of Parasitology.2021; 59(6): 645.     CrossRef
  • 8,601 View
  • 142 Download
  • 8 Web of Science
  • Crossref

Letter to the Editor

Reconsideration of Dr. Allen’s Report about Hemoptysis Patients from High Prevalence of Archaeoparasitological Paragonimiasis in Korea
Min Seo, Jong-Yil Chai, Jong Ha Hong, Dong Hoon Shin
Korean J Parasitol 2019;57(6):635-638.
Published online December 31, 2019
DOI: https://doi.org/10.3347/kjp.2019.57.6.635
Horace N. Allen, an American physician, was a Presbyterian missionary to Korea. In 1886, he wrote the annual report of the Korean government hospital, summarizing patient statistics according to outpatient and inpatient classification for the first ever in Korean history. In the report, he speculated that hemoptysis cases of outpatient might have been mainly caused by distoma. Allen’s conjecture was noteworthy because only a few years lapsed since the first scientific report of paragonimiasis. However, he was not sure of his assumption either because it was not evidently supported by proper microscopic or post-mortem examinations. In this letter, we thus revisit his assumption with our parasitological data recently obtained from Joseon period mummies.

Citations

Citations to this article as recorded by  Crossref logo
  • Paleoparasitology research on ancient helminth eggs and larvae in the Republic of Korea
    Jong-Yil Chai, Min Seo, Dong Hoon Shin
    Parasites, Hosts and Diseases.2023; 61(4): 345.     CrossRef
  • 6,026 View
  • 80 Download
  • 1 Web of Science
  • Crossref

Brief Communication

Differential Change in the Prevalence of the Ascaris, Trichuris and Clonorchis infection Among Past East Asian Populations
Xiaoya Zhan, Hui-Yuan Yeh, Dong Hoon Shin, Jong-Yil Chai, Min Seo, Piers D. Mitchell
Korean J Parasitol 2019;57(6):601-605.
Published online December 31, 2019
DOI: https://doi.org/10.3347/kjp.2019.57.6.601
As we learn more about parasites in ancient civilizations, data becomes available that can be used to see how infection may change over time. The aim of this study is to assess how common certain intestinal parasites were in China and Korea in the past 2000 years, and make comparisons with prevalence data from the 20th century. This allows us to go on to investigate how and why changes in parasite prevalence may have occurred at different times. Here we show that Chinese liver fluke (Clonorchis sinensis) dropped markedly in prevalence in both Korea and China earlier than did roundworm (Ascaris lumbricoides) and whipworm (Trichuris trichiura). We use historical evidence to determine why this was the case, exploring the role of developing sanitation infrastructure, changing use of human feces as crop fertilizer, development of chemical fertilizers, snail control programs, changing dietary preferences, and governmental public health campaigns during the 20th century.

Citations

Citations to this article as recorded by  Crossref logo
  • Ancient parasite analysis: Exploring infectious diseases in past societies
    Piers D. Mitchell
    Journal of Archaeological Science.2024; 170: 106067.     CrossRef
  • Updates on parasite infection prevalence in the Joseon period based on parasitological studies of human coprolites isolated from archaeological sites in the cities of Euijeongbu, Gumi, and Wonju
    Chang Seok Oh, Jong-Yil Chai, Sori Min, Kyong Taek Oh, Jeonghwan Seol, Mi Kyung Song, Dong Hoon Shin, Min Seo
    Parasites, Hosts and Diseases.2023; 61(1): 89.     CrossRef
  • Liver Fluke Infection Throughout Human Evolution
    Tianyi Wang, Piers D. Mitchell
    Gastro Hep Advances.2022; 1(4): 500.     CrossRef
  • Current status of Clonorchis sinensis and clonorchiasis in Korea: epidemiological perspectives integrating the data from human and intermediate hosts
    Won Gi Yoo, Woon-Mok Sohn, Byoung-Kuk Na
    Parasitology.2022; 149(10): 1296.     CrossRef
  • The what, how and why of archaeological coprolite analysis
    Lisa-Marie Shillito, John C. Blong, Eleanor J. Green, Eline N. van Asperen
    Earth-Science Reviews.2020; 207: 103196.     CrossRef
  • 7,582 View
  • 128 Download
  • 7 Web of Science
  • Crossref

Preface

Preface for Special Section on Archaeoparasitology: A Global Perspective on Ancient Parasites and Current Research Projects
Jong Yil Chai, Min Seo, Karl Reinhard, Dong Hoon Shin
Korean J Parasitol 2019;57(6):565-566.
Published online December 31, 2019
DOI: https://doi.org/10.3347/kjp.2019.57.6.565

Citations

Citations to this article as recorded by  Crossref logo
  • Intestinal parasitic infection within a wealthy nineteenth century household from rural New England: Evidence from Dartmouth College, New Hampshire
    Theresa E. Gildner, Jesse Casana
    Journal of Archaeological Science: Reports.2021; 37: 102990.     CrossRef
  • 5,444 View
  • 143 Download
  • Crossref

Brief Communication

Infections of Soil-Transmitted Helminth in Refugees from North Korea
Young-Il Lee, Min Seo, Suk-Bae Kim
Korean J Parasitol 2018;56(3):291-294.
Published online June 30, 2018
DOI: https://doi.org/10.3347/kjp.2018.56.3.291
Soil-transmitted helminthiases (STH) are now no longer public health problems in the Republic of Korea (South Korea), but their status are unavailable in the residents of North Korea (NK) despite the expectation of large scale traffic and future reunification of the Korean Peninsula. A total of 20 female refugees from NK who had been admitted to the Division of Gastroenterology, Dankook University Hospital, were subjected in this study. Among them, 15 refugees were examined by the colonoscopy and 10 ones were examined with the stool examination (formalin-ether sedimentation). Both diagnostic methods were commonly adopted in 5 patients. Eggs of Trichuris trichiura were detected in 7 out of 10 refugees in the stool examination. In the colonoscopy, T. trichiura worms were found in 6 (40.0%) out of 15 refugees. Total 9 (45.0%) peoples were confirmed to be infected with human whipworms. Additionally, 1 case of clonorchiasis was diagnosed in the stool examination and a worm of Ascaris lumbricoides was discovered from a trichuriasis case. These findings suggested that STH is highly prevalent in NO, in which living conditions are not so good in the aspect of general hygiene and medical care.

Citations

Citations to this article as recorded by  Crossref logo
  • Global prevalence and associated factors of intestinal parasitic infections among institutionalized populations: a systematic review and meta-analysis
    Albert Abaka-Yawson, Daniel Sai Squire, Ibrahim Issah, Kenneth Ablordey, Emmanuel Ativi, Serwaa Akoto Bawua, John Arko-Mensah
    BMC Infectious Diseases.2025;[Epub]     CrossRef
  • Clonorchis sinensis calcium-binding protein Cs16 causes acute hepatic injury possibly by reprogramming the metabolic pathway of bone marrow-derived monocytes
    Qi Li, Xiao Li, Shuo Kan, Ting-Jun Zhu, Chang Li, Xin-Yue Du, Xin Wang, Hui-Bo Yan, Chen-Yun Wu, Guang-Jie Chen, Men-Bao Qian, Min Yan, Zhao-Jun Wang
    Frontiers in Cellular and Infection Microbiology.2023;[Epub]     CrossRef
  • Surgical Diseases in North Korea: An Overview of North Korean Medical Journals
    Sejin Choi, Taehoon Kim, Soyoung Choi, Hee Young Shin
    International Journal of Environmental Research and Public Health.2020; 17(24): 9346.     CrossRef
  • Helminthiases in North Korea: a neglected public health challenge
    Eunsuk Chang
    Pathogens and Global Health.2019; 113(6): 256.     CrossRef
  • 10,386 View
  • 145 Download
  • 5 Web of Science
  • Crossref

Case Report

A Case of Biliary Ascariasis in Korea
Jun-Ho Choi, Min Seo
Korean J Parasitol 2017;55(6):659-660.
Published online December 31, 2017
DOI: https://doi.org/10.3347/kjp.2017.55.6.659
Biliary ascariasis is still the leading cause of surgical complication of ascariasis, though its incidence has been dramatically reduced. Herein, we report a case of biliary ascariasis for the purpose of enhancing awareness of parasitic infections as a possible cause. A 72-year-old male visited the emergency room of Dankook University Hospital on 12 July 2015, complaining of right-upper-quadrant pain. By endoscopic retrograde cholangiopancreatography (ERCP), a tubular filling defect in the right hepatic duct was detected. The defect was endoscopically removed and diagnosed as an adult female of Ascaris lumbricoides worm, of 30 cm length. Upon removal of the worm, the pain subsided, and the patient was discharged without any complication. When treating cases of biliary colic, physicians should not neglect biliary ascariasis as the possible cause.

Citations

Citations to this article as recorded by  Crossref logo
  • A Case Report on Biliary Ascariasis
    Jouhar J Kolleri, Amal M. J. Thabet , Shahd Mohammedain, Sadia Sajid, Zahoor Ahmed, Umais Momin
    Cureus.2023;[Epub]     CrossRef
  • Endoscopic management of biliary ascariasis: A case report
    Xing Wang, Yan-Lin Lv, Sheng-Nan Cui, Chang-Hao Zhu, Ying Li, Yao-Zhen Pan
    World Journal of Clinical Cases.2021; 9(20): 5695.     CrossRef
  • Human Ascariasis: An Updated Review
    Alexander K.C. Leung, Amy A.M. Leung, Alex H.C. Wong, Kam L. Hon
    Recent Patents on Inflammation & Allergy Drug Discovery.2021; 14(2): 133.     CrossRef
  • 9,958 View
  • 185 Download
  • 4 Web of Science
  • Crossref

Letter to the Editor

Historical Details about the Meat Consumption and Taeniases in Joseon Period of Korea
Dong Hoon Shin, Jong-Yil Chai, Jong Ha Hong, Min Seo
Korean J Parasitol 2017;55(4):457-460.
Published online August 31, 2017
DOI: https://doi.org/10.3347/kjp.2017.55.4.457
Previous paleoparasitological studies of Joseon specimens established that the prevalence of Taenia infection was not much different from that of the early 20th century Korean population. As many of taeniases originally diagnosed as Taenia saginata in South Korea were revealed to be actually Taenia asiatica, which share a common intermediate host with T. solium (the pig), Joseon people must have ingested raw pork frequently. However, the current examination of extant Joseon documents revealed that the population ate significant amounts of beef even if the beef ban was enforced; and pork was not consumed as much as we thought. Considering the meat consumption pattern at that time, Joseon people should have been infected by T. saginata more frequently than T. asiatica. This may suggest a low prevalence of T. saginata metacestodes in cattle compared to that of T. asiatica metacestodes in pigs, possibly due to the traditional way of rearing pigs (using human feces). This letter gives us a chance to reconsider the existing preconception about parasitic infections in Korean history though we are still hard to accurately estimate the historical patterns of taeniases at this stage.

Citations

Citations to this article as recorded by  Crossref logo
  • Ancient parasite analysis: Exploring infectious diseases in past societies
    Piers D. Mitchell
    Journal of Archaeological Science.2024; 170: 106067.     CrossRef
  • Anatomical and Histological Analyses on Cattle and Horse Bones of Joseon Period Discovered at Archaeological Site in Old Seoul City Area
    Jieun Kim, Jong Ha Hong, Sun Kim, Dong Hoon Shin
    Ancient Asia.2022;[Epub]     CrossRef
  • Animal Bones Found at Gongpyeong-dong Archaeological Site, the Capital Area of Joseon Dynasty Period
    Sun Kim, Jong Ha Hong, Dong Hoon Shin
    Anatomy & Biological Anthropology.2020; 33(2): 99.     CrossRef
  • A comparison of ancient parasites as seen from archeological contexts and early medical texts in China
    Hui-Yuan Yeh, Xiaoya Zhan, Wuyun Qi
    International Journal of Paleopathology.2019; 25: 30.     CrossRef
  • Prevention and Control Strategies for Parasitic Infections in the Korea Centers for Disease Control and Prevention
    Young Yil Bahk, Eun-Hee Shin, Shin-Hyeong Cho, Jung-Won Ju, Jong-Yil Chai, Tong-Soo Kim
    The Korean Journal of Parasitology.2018; 56(5): 401.     CrossRef
  • 11,760 View
  • 135 Download
  • 5 Web of Science
  • Crossref

Brief Communication

Recovery of Oswaldotrema nacinovici from Whimbrels (Aves) in Korea
Young-Il Lee, Ok-Sik Chung, Min Seo
Korean J Parasitol 2016;54(6):809-812.
Published online December 31, 2016
DOI: https://doi.org/10.3347/kjp.2016.54.6.809
Adult specimens of Oswaldotrema nacinovici (Digenea: Philophthalmidae) have been first identified in Korea from 2 migratory birds (whimbrels, Numenius phaeopus) which were found dead at a western seashore area near Gunsan. The worms were recovered in the intestine of these birds. The worms were morphologically characterized by a large ventral sucker in comparison to the oral sucker, an external seminal vesicle extending beyond the posterior margin of the ventral sucker, and conspicuous uterine seminal receptacle. It was noteworthy that metacercariae-like bodies were contained within the inflated regions of 2 ceca. Other intestinal trematode species found in whimbrels included Spelotrema pygmeum, Gynaecotyla squatarolae, Maritrema obstipum, and Himasthla megacotyle. Zoonotic potential of these trematode species should be taken into considerations.

Citations

Citations to this article as recorded by  Crossref logo
  • New Definitive Hosts and Differential Body Indices of Isthmiophora hortensis (Digenea: Echinostomatidae)
    Woon-Mok Sohn, Byoung-Kuk Na, Sung-Shik Shin
    The Korean Journal of Parasitology.2017; 55(3): 287.     CrossRef
  • Prevalence and Density of Digenetic Trematode Metacercariae in Clams and Oysters from Western Coastal Regions of the Republic of Korea
    Woon-Mok Sohn, Byoung-Kuk Na, Shin-Hyeong Cho, Won-Ja Lee
    The Korean Journal of Parasitology.2017; 55(4): 399.     CrossRef
  • Echinostoma macrorchis (Digenea: Echinostomatidae): Metacercariae in Cipangopaludina chinensis malleata Snails and Adults from Experimental Rats in Korea
    Woon-Mok Sohn, Byoung-Kuk Na
    The Korean Journal of Parasitology.2017; 55(5): 541.     CrossRef
  • 8,386 View
  • 109 Download
  • 3 Web of Science
  • Crossref

Mini Review

Detection Trend of Helminth Eggs in the Strata Soil Samples from Ancient Historic Places of Korea
Min Seo, Jong-Yil Chai, Myeung Ju Kim, Sang Yuk Shim, Ho Chul Ki, Dong Hoon Shin
Korean J Parasitol 2016;54(5):555-563.
Published online October 31, 2016
DOI: https://doi.org/10.3347/kjp.2016.54.5.555
For several years, we have conducted a series of studies on the patterns of ancient parasitism prevailing in the soil of rural and urban areas of past Kingdom of Korea. Actually, during our survey of paleoparasitology in archaeological sites of Korean peninsula, numerous ancient parasite eggs were discovered in the samples from the city districts of Hansung (Joseon) and Buyeo (Baikje), the palace moat at Gyeongju (Silla), shell-midden site at Bonghwang-dong (Silla to Joseon), and the reservoir found in Hwawangsansung fortress (Silla). By the paleoparasitological studies, with respect to parasitism in the high-density populations of ancient towns and cities, we have managed to catch glimpses of the patterns prevalent therein: a serious parasitic contamination of the soil in ancient urban areas, but not in rural areas of the past. Our historical research also proposed the plausible mechanism of parasite infection very serious indeed among urban populations in Korean history. Although city dwelling doubtless has accrued significant benefits for people and populations with agriculture, it can be equally supposed that living in such highly populated areas might have facilitated the spread of parasite infection.

Citations

Citations to this article as recorded by  Crossref logo
  • Ancient parasite analysis: Exploring infectious diseases in past societies
    Piers D. Mitchell
    Journal of Archaeological Science.2024; 170: 106067.     CrossRef
  • A parasitological study on the possible toilet ruins of the Japanese colonial period in Korea
    Jieun Kim, Min Seo, Hisashi Fujita, Jong Yil Chai, Jin Woo Park, Jun Won Jang, In Soo Jang, Dong Hoon Shin
    Parasites, Hosts and Diseases.2023; 61(2): 198.     CrossRef
  • トイレ考古学と考古寄生虫学
    尚 藤田, 宗河 洪, 東勳 申
    Anthropological Science (Japanese Series).2023; 131(1): 9.     CrossRef
  • Paleoparasitology research on ancient helminth eggs and larvae in the Republic of Korea
    Jong-Yil Chai, Min Seo, Dong Hoon Shin
    Parasites, Hosts and Diseases.2023; 61(4): 345.     CrossRef
  • Presence of Parasite Remains in Historical Contexts in the City of Córdoba, Argentina, in the Nineteenth Century
    Darío Alejandro Ramirez, Henrik Bernhard Lindskoug, Rodrigo Nores
    Latin American Antiquity.2022; 33(2): 395.     CrossRef
  • Ancient Echinostome Eggs Discovered in Archaeological Strata Specimens from a Baekje Capital Ruins of South Korea
    Min Seo, Sang-Yuck Shim, Hwa Young Lee, Yongjun Kim, Jong Ha Hong, Ji Eun Kim, Jong-Yil Chai, Dong Hoon Shin
    Journal of Parasitology.2020; 106(1): 184.     CrossRef
  • Beyond diversity loss and climate change: Impacts of Amazon deforestation on infectious diseases and public health
    JOEL HENRIQUE ELLWANGER, BRUNA KULMANN-LEAL, VALÉRIA L. KAMINSKI, JACQUELINE MARÍA VALVERDE-VILLEGAS, ANA BEATRIZ G. DA VEIGA, FERNANDO R. SPILKI, PHILIP M. FEARNSIDE, LÍLIAN CAESAR, LEANDRO LUIZ GIATTI, GABRIEL L. WALLAU, SABRINA E.M. ALMEIDA, MAURO R. B
    Anais da Academia Brasileira de Ciências.2020;[Epub]     CrossRef
  • Review of Successful Control of Parasitic Infections in Korea
    Sung-Tae Hong, Tai-Soon Yong
    Infection & Chemotherapy.2020; 52(3): 427.     CrossRef
  • Ancient Soil-Transmitted Parasite Eggs Detected from the Sixth Century Three Kingdom Period Silla Tomb
    Min Seo, Chang Seok Oh, Jong Ha Hong, Jong-Yil Chai, Jin Og Ju, Dong Hoon Shin
    Journal of Korean Medical Science.2018;[Epub]     CrossRef
  • Archaeoparasitological Strategy Based on the Microscopic Examinations of Prehistoric Samples and the Recent Report on the Difference in the Prevalence of Soil Transmitted Helminthic Infections in the Indian Subcontinent
    Dong Hoon Shin, Yong Jun Kim, Ravindra Singh Bisht, Vivek Dangi, Prabodh Shirvalkar, Nilesh Jadhav, Chang Seok Oh, Jong Ha Hong, Jong Yil Chai, Min Seo, Vasant Shinde
    Ancient Asia.2018;[Epub]     CrossRef
  • Discovery of Parasite Eggs in Archeological Residence during the 15th Century in Seoul, Korea
    Pyo Yeon Cho, Jung-Min Park, Myeong-Ki Hwang, Seo Hye Park, Yun-Kyu Park, Bo-Young Jeon, Tong-Soo Kim, Hyeong-Woo Lee
    The Korean Journal of Parasitology.2017; 55(3): 357.     CrossRef
  • Historical Details about the Meat Consumption and Taeniases in Joseon Period of Korea
    Dong Hoon Shin, Jong-Yil Chai, Jong Ha Hong, Min Seo
    The Korean Journal of Parasitology.2017; 55(4): 457.     CrossRef
  • 11,066 View
  • 214 Download
  • 14 Web of Science
  • Crossref

Preface

Preface for Special Section on Paleoparasitology
Jong-Yil Chai, Min Seo, Dong Hoon Shin
Korean J Parasitol 2016;54(5):553-554.
Published online October 31, 2016
DOI: https://doi.org/10.3347/kjp.2016.54.5.553

Citations

Citations to this article as recorded by  Crossref logo
  • Preface for Special Section on Archaeoparasitology: A Global Perspective on Ancient Parasites and Current Research Projects
    Jong Yil Chai, Min Seo, Karl Reinhard, Dong Hoon Shin
    The Korean Journal of Parasitology.2019; 57(6): 565.     CrossRef
  • 7,534 View
  • 194 Download
  • 1 Web of Science
  • Crossref

Brief Communications

Infection Status of Endoparasites in Foreigner Workers Living in Cheonan City, Chungnam Province, Korea
Suk-Yul Jung, Mi-Jung Ahn, Joo-Yeon Oh, Hae-Seon Nam, Sung-Tae Hong, Yeon-Han Yun, Min Seo
Korean J Parasitol 2015;53(2):243-246.
Published online April 22, 2015
DOI: https://doi.org/10.3347/kjp.2015.53.2.243
At present, more than 500,000 foreigner workers, most of them from Asian countries with high parasitic infection rates, are working in Korea. Since investigation into the prevalence of parasitic infections in foreigner workers has not yet been conducted in Korea, the present study was performed to determine the parasitic infection status of foreigner workers living in Cheonan City, Chungcheongnam-do (Chungnam Province) and to plan, on that basis, effective control measures. From October to December 2013, the parasitic infection status of 231 foreigner workers employed at selected Cheonan-si small businesses was investigated by both stool examination and ELISA. A total of 60 individuals (26.0%) were found to be infected with parasites. The stool examination detected 14 positive cases (6.1%), and ELISA revealed 50 positive people (21.6%), for at least a kind of parasitic disease. The most common infection was cysticercosis (8.7%), followed by toxocariasis (7.8%) and clonorchiasis (7.4%). Since it was proved that parasitic infections were prevalent among foreigner workers living in Cheonan City, more comprehensive study is urgently needed in order to understand the nationwide status of parasitic infections in foreigner workers.

Citations

Citations to this article as recorded by  Crossref logo
  • Global prevalence of 4 neglected foodborne trematodes targeted for control by WHO: A scoping review to highlight the gaps
    Rachel Tidman, Kaushi S. T. Kanankege, Mathieu Bangert, Bernadette Abela-Ridder, Paul R. Torgerson
    PLOS Neglected Tropical Diseases.2023; 17(3): e0011073.     CrossRef
  • 9,338 View
  • 111 Download
  • 1 Web of Science
  • Crossref
Ancient Mitochondrial DNA Analyses of Ascaris Eggs Discovered in Coprolites from Joseon Tomb
Chang Seok Oh, Min Seo, Jong Ha Hong, Jong-Yil Chai, Seung Whan Oh, Jun Bum Park, Dong Hoon Shin
Korean J Parasitol 2015;53(2):237-242.
Published online April 22, 2015
DOI: https://doi.org/10.3347/kjp.2015.53.2.237
Analysis of ancient DNA (aDNA) extracted from Ascaris is very important for understanding the phylogenetic lineage of the parasite species. When aDNAs obtained from a Joseon tomb (SN2-19-1) coprolite in which Ascaris eggs were identified were amplified with primers for cytochrome b (cyt b) and 18S small subunit ribosomal RNA (18S rRNA) gene, the outcome exhibited Ascaris specific amplicon bands. By cloning, sequencing, and analysis of the amplified DNA, we obtained information valuable for comprehending genetic lineage of Ascaris prevalent among pre-modern Joseon peoples.

Citations

Citations to this article as recorded by  Crossref logo
  • Paleoparasitology research on ancient helminth eggs and larvae in the Republic of Korea
    Jong-Yil Chai, Min Seo, Dong Hoon Shin
    Parasites, Hosts and Diseases.2023; 61(4): 345.     CrossRef
  • Historic and Prehistoric Epidemics: An Overview of Sources Available for the Study of Ancient Pathogens
    Antoinette C. van der Kuyl
    Epidemiologia.2022; 3(4): 443.     CrossRef
  • Mummification in Korea and China: Mawangdui, Song, Ming and Joseon Dynasty Mummies
    Dong Hoon Shin, Raffaella Bianucci, Hisashi Fujita, Jong Ha Hong
    BioMed Research International.2018; 2018: 1.     CrossRef
  • Estimation of parasite infection prevalence of Joseon people by paleoparasitological data updates from the ancient feces of pre-modern Korean mummies
    MIN SEO, CHANG SEOK OH, JONG HA HONG, JONG-YIL CHAI, SOON CHUL CHA, YURI BANG, IN GUK CHA, YANG GUN WI, JUNG MIN PARK, DONG HOON SHIN
    Anthropological Science.2017; 125(1): 9.     CrossRef
  • A Case of Ectopic Paragonimiasis in a 17th Century Korean Mummy
    D. H. Shin, Y.-S. Kim, D. S. Yoo, M. J. Kim, C. S. Oh, J. H. Hong, E. Lee, J. Y. Chai, M. Seo
    Journal of Parasitology.2017; 103(4): 399.     CrossRef
  • Paleogenetic study on the 17th century Korean mummy with atherosclerotic cardiovascular disease
    Dong Hoon Shin, Chang Seok Oh, Jong Ha Hong, Yusu Kim, Soong Deok Lee, Eunju Lee, David Caramelli
    PLOS ONE.2017; 12(8): e0183098.     CrossRef
  • Ancient Ascaris DNA Sequences of Cytochrome B, Cytochrome C Oxidase Subunit 1, NADH Dehydrogenase Subunit 1, and Internal Transcribed Spacer 1 Genes from Korean Joseon Mummy Feces
    Jong Ha Hong, Chang Seok Oh, Min Seo, Jong-Yil Chai, Dong Hoon Shin
    Journal of Parasitology.2017; 103(6): 795.     CrossRef
  • 12,545 View
  • 129 Download
  • 7 Web of Science
  • Crossref
Seroprevalence of Trichinella sp. in Wild Boars (Sus scrofa) from Yanggu-gun, Gangwon-do, Korea
Hye-Jung Lee, Ok-Sik Chung, Jae-Lip Kim, Seung-Ha Lee, Young-Bok Yoo, Min Seo
Korean J Parasitol 2015;53(2):233-236.
Published online April 22, 2015
DOI: https://doi.org/10.3347/kjp.2015.53.2.233
A total 7 outbreaks of trichinellosis have occurred in Korea, mostly as a result of consumption of raw wild boar (Sus scrofa) meat. Since only 1 serological survey on wild boars had yet been performed in Korea, the present study aimed to estimate the prevalence of trichinellosis in wild boars and some species of rodents by artificial digestion and serological examinations in Yanggu-gun, Gangwon-do, the endemic area of trichinellosis. Both the wild boar and rodent muscle samples revealed no Trichinella larvae by direct examination and artificial digestion method. However, serological examinations revealed that 4 wild boar sera samples out of 118 (3.4%) were positive to Trichinella antigen. Although the recovery of Trichinella larvae ended in a failure, it is proved for the first time that the sylvatic cycle of Trichinella has been maintained in wild boars of Gangwon-do, Korea.

Citations

Citations to this article as recorded by  Crossref logo
  • Differences in larval survival and IgG response patterns in long-lasting infections by Trichinella spiralis, Trichinella britovi and Trichinella pseudospiralis in pigs
    Edoardo Pozio, Giuseppe Merialdi, Elio Licata, Giacinto Della Casa, Massimo Fabiani, Marco Amati, Simona Cherchi, Mattia Ramini, Valerio Faeti, Maria Interisano, Alessandra Ludovisi, Gianluca Rugna, Gianluca Marucci, Daniele Tonanzi, Maria Angeles Gómez-M
    Parasites & Vectors.2020;[Epub]     CrossRef
  • Wild Boar: A Reservoir of Foodborne Zoonoses
    Maria Fredriksson-Ahomaa
    Foodborne Pathogens and Disease.2019; 16(3): 153.     CrossRef
  • A systematic review and meta-analysis on the global seroprevalence of Trichinella infection among wild boars
    Ali Rostami, Seyed Mohammad Riahi, Reza Ghadimi, Hooman Hanifehpour, Faezeh Hamidi, Hooshang Khazan, H. Ray Gamble
    Food Control.2018; 91: 404.     CrossRef
  • Screening and characterization of early diagnostic antigens in excretory–secretory proteins from Trichinella spiralis intestinal infective larvae by immunoproteomics
    Ruo Dan Liu, Peng Jiang, Hui Wen, Jiang Yang Duan, Li Ang Wang, Jie Feng Li, Chun Ying Liu, Ge Ge Sun, Zhong Quan Wang, Jing Cui
    Parasitology Research.2016; 115(2): 615.     CrossRef
  • 10,520 View
  • 101 Download
  • 4 Web of Science
  • Crossref

Case Reports

An Outbreak of Trichinellosis by Consumption of Raw Soft-Shelled Turtle Meat in Korea
Joon Taek Jeong, Min Seo, Sung-Tae Hong, Young Keun Kim
Korean J Parasitol 2015;53(2):219-222.
Published online April 22, 2015
DOI: https://doi.org/10.3347/kjp.2015.53.2.219
Trichinellosis transmission to humans via the consumption of reptile meat is rare worldwide. In Korea, however, 2 such outbreaks, possibly via consumption of soft-shelled turtle meat, have occurred in 2 successive years. In 17 August 2014, 6 patients were admitted to Wonju Severance Christian Hospital complaining of myalgia, fever, and headache. Eosinophilia was the indication of the initial laboratory results, and they were eventually diagnosed as trichinellosis by ELISA. All of the patients worked at the same company and had eaten raw soft-shelled turtle meat at a company dinner 10 days prior to their admission. They were treated with albendazole for 2 weeks, upon which all of their symptoms disappeared. This is the 8th report on human trichinellosis in Korea, and the second implicating raw soft-shelled turtle meat.

Citations

Citations to this article as recorded by  Crossref logo
  • Blood recovery of wild Mekong snail-eating turtles (Malayemys subtrijuga Schlegel and Müller, 1845) in captivity from leech infestation
    Poramad Trivalairat, Krittiya Trivalairat, Awirut Tassamakorn, Watchariya Purivirojkul
    International Journal for Parasitology: Parasites and Wildlife.2023; 22: 126.     CrossRef
  • Human Outbreak of Trichinellosis Caused by Trichinella papuae Nematodes, Central Kampong Thom Province, Cambodia
    Yannick Caron, Sotharith Bory, Michel Pluot, Mary Nheb, Sarin Chan, Sang Houn Prum, Sun Bun Hong Lim, Mala Sim, Yi Sengdoeurn, Ly Sovann, Virak Khieu, Isabelle Vallée, Hélène Yera
    Emerging Infectious Diseases.2020; 26(8): 1759.     CrossRef
  • No evidence of Trichinella spp. in domestic pig carcasses at a selected abattoir in southern Botswana
    Basiamisi Ernest Segwagwe, James Machete, Mpho Ntwaetsile, Borden Mushonga, Erick Kandiwa
    Tropical Animal Health and Production.2019; 51(5): 1273.     CrossRef
  • Meat sources of infection for outbreaks of human trichinellosis
    Ali Rostami, H. Ray Gamble, Jean Dupouy-Camet, Hooshang Khazan, Fabrizio Bruschi
    Food Microbiology.2017; 64: 65.     CrossRef
  • 13,127 View
  • 137 Download
  • 4 Web of Science
  • Crossref
Three Cases of Diphyllobothrium nihonkaiense Infection in Korea
Hong-Ja Kim, Keeseon S. Eom, Min Seo
Korean J Parasitol 2014;52(6):673-676.
Published online December 23, 2014
DOI: https://doi.org/10.3347/kjp.2014.52.6.673

Until 2012, a total of 48 cases of diphyllobothriasis had been reported in Korea, all of which were morphologically identified as Diphyllobothrium latum. However, some of these specimens were analyzed by nucleotide sequencing of the mitochondrial cox1 gene, which showed that all were D. nihonkaiense, not D. latum. After that, 3 further cases of diphyllobothriasis were confirmed as D. nihonkaiense. In the present study, 3 new cases of D. nihonkaiense were detected from 2011 through 2013. The hosts were infected through consumption of salmonid fishes, such as the trout or salmon, and 2 of them experienced severe diarrhea prior to proglottid passage. All of the tapeworms were confirmed to be D. nihonkaiense by genetic identification. This proved again that most diphyllobothriasis in Korea have been caused by D. nihonkaiense.

Citations

Citations to this article as recorded by  Crossref logo
  • Locally acquired infection with Dibothriocephalus nihonkaiense (=Diphyllobothrium nihonkaiense) in France: the importance of molecular diagnosis
    Valentin Greigert, Julie Brunet, Alexander W. Pfaff, Jean-Philippe Lemoine, Ermanno Candolfi, Ahmed Abou-Bacar
    Parasitology Research.2020; 119(2): 513.     CrossRef
  • Epidemiology ofDiphyllobothrium nihonkaienseDiphyllobothriasis, Japan, 2001–2016
    Hiroshi Ikuno, Shinkichi Akao, Hiroshi Yamasaki
    Emerging Infectious Diseases.2018;[Epub]     CrossRef
  • Molecular Identification of Diphyllobothrium latum from a Pediatric Case in Taiwan
    Yu-Chin An, Chia-Cheng Sung, Chih-Chien Wang, Hsin-Chung Lin, Kuang-Yao Chen, Fu-Man Ku, Ruei-Min Chen, Mei-Li Chen, Kuo-Yang Huang
    The Korean Journal of Parasitology.2017; 55(4): 425.     CrossRef
  • Eggs as a Suitable Tool for Species Diagnosis of Causative Agents of Human Diphyllobothriosis (Cestoda)
    Kateřina Leštinová, Miroslava Soldánová, Tomáš Scholz, Roman Kuchta, Ricardo Toshio Fujiwara
    PLOS Neglected Tropical Diseases.2016; 10(5): e0004721.     CrossRef
  • Diphyllobothrium nihonkaiense: wide egg size variation in 32 molecularly confirmed adult specimens from Korea
    Seoyun Choi, Jaeeun Cho, Bong-Kwang Jung, Deok-Gyu Kim, Sarah Jiyoun Jeon, Hyeong-Kyu Jeon, Keeseon S. Eom, Jong-Yil Chai
    Parasitology Research.2015; 114(6): 2129.     CrossRef
  • Molecular Identification of <i>Diphyllobothrium nihonkaiense</i> from 3 Human Cases in Heilongjiang Province with a Brief Literature Review in China
    Weizhe Zhang, Fei Che, Song Tian, Jing Shu, Xiaoli Zhang
    The Korean Journal of Parasitology.2015; 53(6): 683.     CrossRef
  • 14,903 View
  • 88 Download
  • 8 Web of Science
  • Crossref

Brief Communication

V-shaped Pits in Regions of Ancient Baekje Kingdom Paleoparasitologically Confirmed as Likely Human-Waste Reservoirs
Dong Hoon Shin, Sang-Yuck Shim, Myeung Ju Kim, Chang Seok Oh, Mi-Hyun Lee, Suk Bae Jung, Geon Il Lee, Jong-Yil Chai, Min Seo
Korean J Parasitol 2014;52(5):569-573.
Published online October 22, 2014
DOI: https://doi.org/10.3347/kjp.2014.52.5.569

In a paleo-parasitological analysis of soil samples obtained from V-shaped pits dating to the ancient Baekje period in Korean history, we discovered Ascaris lumbricoides, Trichuris trichiura, and Clonorchis sinensis eggs. In light of the samples' seriously contaminated state, the V-shaped pits might have served as toilets, cesspits, or dung heaps. For a long period of time, researchers scouring archaeological sites in Korea have had difficulties locating such structures. In this context then, the present report is unique because similar kind of the ancient ruins must become an ideal resource for successful sampling in our forthcoming paleoparasitological studies.

Citations

Citations to this article as recorded by  Crossref logo
  • Paleoparasitology research on ancient helminth eggs and larvae in the Republic of Korea
    Jong-Yil Chai, Min Seo, Dong Hoon Shin
    Parasites, Hosts and Diseases.2023; 61(4): 345.     CrossRef
  • Helminth Eggs Detected in Soil Samples of a Possible Toilet Structure Found at the Capital Area of Ancient Baekje Kingdom of Korea
    Chang Seok Oh, Sang-Yuck Shim, Yongjun Kim, Jong Ha Hong, Jong-Yil Chai, Hisashi Fujita, Min Seo, Dong Hoon Shin
    The Korean Journal of Parasitology.2021; 59(4): 393.     CrossRef
  • Clonorchis sinensis and clonorchiasis
    Byoung-Kuk Na, Jhang Ho Pak, Sung-Jong Hong
    Acta Tropica.2020; 203: 105309.     CrossRef
  • Metagenomics and microscope revealed T. trichiura and other intestinal parasites in a cesspit of an Italian nineteenth century aristocratic palace
    Daniela Chessa, Manuela Murgia, Emanuela Sias, Massimo Deligios, Vittorio Mazzarello, Maura Fiamma, Daniela Rovina, Gabriele Carenti, Giulia Ganau, Elisabetta Pintore, Mauro Fiori, Gemma L. Kay, Alessandro Ponzeletti, Piero Cappuccinelli, David J. Kelvin,
    Scientific Reports.2020;[Epub]     CrossRef
  • Archaeoparasitological Strategy Based on the Microscopic Examinations of Prehistoric Samples and the Recent Report on the Difference in the Prevalence of Soil Transmitted Helminthic Infections in the Indian Subcontinent
    Dong Hoon Shin, Yong Jun Kim, Ravindra Singh Bisht, Vivek Dangi, Prabodh Shirvalkar, Nilesh Jadhav, Chang Seok Oh, Jong Ha Hong, Jong Yil Chai, Min Seo, Vasant Shinde
    Ancient Asia.2018;[Epub]     CrossRef
  • Estimation of parasite infection prevalence of Joseon people by paleoparasitological data updates from the ancient feces of pre-modern Korean mummies
    MIN SEO, CHANG SEOK OH, JONG HA HONG, JONG-YIL CHAI, SOON CHUL CHA, YURI BANG, IN GUK CHA, YANG GUN WI, JUNG MIN PARK, DONG HOON SHIN
    Anthropological Science.2017; 125(1): 9.     CrossRef
  • Discovery of Parasite Eggs in Archeological Residence during the 15th Century in Seoul, Korea
    Pyo Yeon Cho, Jung-Min Park, Myeong-Ki Hwang, Seo Hye Park, Yun-Kyu Park, Bo-Young Jeon, Tong-Soo Kim, Hyeong-Woo Lee
    The Korean Journal of Parasitology.2017; 55(3): 357.     CrossRef
  • 10,597 View
  • 97 Download
  • 9 Web of Science
  • Crossref

Case Report

Four Human Cases of Acanthotrema felis (Digenea: Heterophyidae) Infection in Korea
Jong-Yil Chai, Jae-Lip Kim, Min Seo
Korean J Parasitol 2014;52(3):291-294.
Published online June 26, 2014
DOI: https://doi.org/10.3347/kjp.2014.52.3.291

Acanthotrema felis is an intestinal trematode of cats originally reported from the Republic of Korea. Only 1 human case infected with a single adult worm has been previously recorded. In the present study, we report 4 human cases infected with a total of 10 worms recovered after anthelmintic treatment and purging. All 4 patients reside in coastal areas of Jeollanam-do, Korea, and have consumed brackish water fish including the gobies, Acanthogobius flavimanus. The worms averaged 0.47 mm in length and 0.27 mm in width, and had 3 sclerites on the ventrogenital sac; 1 was short and thumb-like, another was long and blunt-ended, and the 3rd was long and broad-tipped. They were identified as A. felis Sohn, Han, & Chai, 2003. Surveys on coastal areas to detect further human cases infected with A. felis are required.

Citations

Citations to this article as recorded by  Crossref logo
  • Cercarial trematodes in freshwater snails from Bangkok, Thailand: prevalence, morphological and molecular studies and human parasite perspective
    Pichit Wiroonpan, Thapana Chontananarth, Watchariya Purivirojkul
    Parasitology.2021; 148(3): 366.     CrossRef
  • Foodborne intestinal flukes: A brief review of epidemiology and geographical distribution
    Jong-Yil Chai, Bong-Kwang Jung
    Acta Tropica.2020; 201: 105210.     CrossRef
  • Fishborne zoonotic heterophyid infections: An update
    Jong-Yil Chai, Bong-Kwang Jung
    Food and Waterborne Parasitology.2017; 8-9: 33.     CrossRef
  • Heterophyid trematodes recovered from people residing along the Boseong River, South Korea
    Jong-Yil Chai, Bong-Kwang Jung, Deok-Gyu Kim, Jae-Lip Kim, Hyemi Lim, Eun-Hee Shin, Keon Hoon Lee, Mok Ryeon Kim, Sun Jin Han, Jae Hyun Yeom, Sun Mi Park, Jae-Sun Hwang
    Acta Tropica.2015; 148: 142.     CrossRef
  • Molecular characterization of Stictodora tridactyla (Trematoda: Heterophyidae) from Kuwait Bay using rDNA ITS and mtCO1
    Wafa Y. Al-Kandari, Majed A. Alnaqeeb, Asha M. Isaac, Suzanne A. Al-Bustan
    Parasitology Research.2015; 114(11): 4259.     CrossRef
  • 10,028 View
  • 87 Download
  • 6 Web of Science
  • Crossref

Mini Review

Paleoparasitological Studies on Mummies of the Joseon Dynasty, Korea
Min Seo, Adauto Araujo, Karl Reinhard, Jong Yil Chai, Dong Hoon Shin
Korean J Parasitol 2014;52(3):235-242.
Published online June 26, 2014
DOI: https://doi.org/10.3347/kjp.2014.52.3.235

Paleoparasitology is the application of conventional or molecular investigative techniques to archeological samples in order to reveal parasitic infection patterns among past populations. Although pioneering studies already have reported key paleoparasitological findings around the world, the same sorts of studies had not, until very recently, been conducted in sufficient numbers in Korea. Mummified remains of individuals dating to the Korean Joseon Dynasty actually have proved very meaningful to concerned researchers, owing particularly to their superb preservation status, which makes them ideal subjects for paleoparasitological studies. Over the past several years, our study series on Korean mummies has yielded very pertinent data on parasitic infection patterns prevailing among certain Joseon Dynasty populations. In this short review, we summarized the findings and achievements of our recent paleoparasitological examinations of Joseon mummies and discussed about the prospects for future research in this vein.

Citations

Citations to this article as recorded by  Crossref logo
  • A parasitological study on the possible toilet ruins of the Japanese colonial period in Korea
    Jieun Kim, Min Seo, Hisashi Fujita, Jong Yil Chai, Jin Woo Park, Jun Won Jang, In Soo Jang, Dong Hoon Shin
    Parasites, Hosts and Diseases.2023; 61(2): 198.     CrossRef
  • Paleoparasitology research on ancient helminth eggs and larvae in the Republic of Korea
    Jong-Yil Chai, Min Seo, Dong Hoon Shin
    Parasites, Hosts and Diseases.2023; 61(4): 345.     CrossRef
  • Two Helminthic Cases of Human Mummy Remains from Joseon-Period Graves in Korea
    Chang Seok Oh, Hyejin Lee, Jieun Kim, Jong Ha Hong, Soon Chul Cha, Jong-Yil Chai, Cheol Min Ha, Ryang-Ji Kang, Do-Seon Lim, Dong Hoon Shin, Min Seo
    The Korean Journal of Parasitology.2021; 59(2): 149.     CrossRef
  • Clonorchis sinensis and clonorchiasis
    Byoung-Kuk Na, Jhang Ho Pak, Sung-Jong Hong
    Acta Tropica.2020; 203: 105309.     CrossRef
  • Ancient Echinostome Eggs Discovered in Archaeological Strata Specimens from a Baekje Capital Ruins of South Korea
    Min Seo, Sang-Yuck Shim, Hwa Young Lee, Yongjun Kim, Jong Ha Hong, Ji Eun Kim, Jong-Yil Chai, Dong Hoon Shin
    Journal of Parasitology.2020; 106(1): 184.     CrossRef
  • Ancient Korean Neural Machine Translation
    Chanjun Park, Chanhee Lee, Yeongwook Yang, Heuiseok Lim
    IEEE Access.2020; 8: 116617.     CrossRef
  • Metagenomics and microscope revealed T. trichiura and other intestinal parasites in a cesspit of an Italian nineteenth century aristocratic palace
    Daniela Chessa, Manuela Murgia, Emanuela Sias, Massimo Deligios, Vittorio Mazzarello, Maura Fiamma, Daniela Rovina, Gabriele Carenti, Giulia Ganau, Elisabetta Pintore, Mauro Fiori, Gemma L. Kay, Alessandro Ponzeletti, Piero Cappuccinelli, David J. Kelvin,
    Scientific Reports.2020;[Epub]     CrossRef
  • Global post-medieval/historical archaeology: what’s happening around the world 2020?
    Eric Tourigny, Sarah Newstead, Geonyoung Kim, Nelsys Fusco Zambetogliris, Virginia Pereira Corvo
    Post-Medieval Archaeology.2020; 54(3): 371.     CrossRef
  • Decorated bodies for eternal life: A multidisciplinary study of late Roman Period stucco-shrouded portrait mummies from Saqqara (Egypt)
    Stephanie Zesch, Manuela Gander, Marc Loth, Stephanie Panzer, M. Linda Sutherland, Adel H. Allam, Ibrahem Badr, Gregory S. Thomas, Saskia Wetzig, Albert Zink, Wilfried Rosendahl, David Caramelli
    PLOS ONE.2020; 15(11): e0240900.     CrossRef
  • A comparison of ancient parasites as seen from archeological contexts and early medical texts in China
    Hui-Yuan Yeh, Xiaoya Zhan, Wuyun Qi
    International Journal of Paleopathology.2019; 25: 30.     CrossRef
  • Reconsideration of Dr. Allen’s Report about Hemoptysis Patients from High Prevalence of Archaeoparasitological Paragonimiasis in Korea
    Min Seo, Jong-Yil Chai, Jong Ha Hong, Dong Hoon Shin
    The Korean Journal of Parasitology.2019; 57(6): 635.     CrossRef
  • Ancient Soil-Transmitted Parasite Eggs Detected from the Sixth Century Three Kingdom Period Silla Tomb
    Min Seo, Chang Seok Oh, Jong Ha Hong, Jong-Yil Chai, Jin Og Ju, Dong Hoon Shin
    Journal of Korean Medical Science.2018;[Epub]     CrossRef
  • Recovering parasites from mummies and coprolites: an epidemiological approach
    Morgana Camacho, Adauto Araújo, Johnica Morrow, Jane Buikstra, Karl Reinhard
    Parasites & Vectors.2018;[Epub]     CrossRef
  • Paleopathological Considerations on Malaria Infection in Korea before the 20th Century
    Dong Hoon Shin, Min Seo, Jong Ha Hong, Eunju Lee
    BioMed Research International.2018; 2018: 1.     CrossRef
  • Mummification in Korea and China: Mawangdui, Song, Ming and Joseon Dynasty Mummies
    Dong Hoon Shin, Raffaella Bianucci, Hisashi Fujita, Jong Ha Hong
    BioMed Research International.2018; 2018: 1.     CrossRef
  • Archaeoparasitological Strategy Based on the Microscopic Examinations of Prehistoric Samples and the Recent Report on the Difference in the Prevalence of Soil Transmitted Helminthic Infections in the Indian Subcontinent
    Dong Hoon Shin, Yong Jun Kim, Ravindra Singh Bisht, Vivek Dangi, Prabodh Shirvalkar, Nilesh Jadhav, Chang Seok Oh, Jong Ha Hong, Jong Yil Chai, Min Seo, Vasant Shinde
    Ancient Asia.2018;[Epub]     CrossRef
  • A Case of Ectopic Paragonimiasis in a 17th Century Korean Mummy
    D. H. Shin, Y.-S. Kim, D. S. Yoo, M. J. Kim, C. S. Oh, J. H. Hong, E. Lee, J. Y. Chai, M. Seo
    Journal of Parasitology.2017; 103(4): 399.     CrossRef
  • Estimation of parasite infection prevalence of Joseon people by paleoparasitological data updates from the ancient feces of pre-modern Korean mummies
    MIN SEO, CHANG SEOK OH, JONG HA HONG, JONG-YIL CHAI, SOON CHUL CHA, YURI BANG, IN GUK CHA, YANG GUN WI, JUNG MIN PARK, DONG HOON SHIN
    Anthropological Science.2017; 125(1): 9.     CrossRef
  • Reestablishing rigor in archaeological parasitology
    Karl Reinhard
    International Journal of Paleopathology.2017; 19: 124.     CrossRef
  • Discovery of Parasite Eggs in Archeological Residence during the 15th Century in Seoul, Korea
    Pyo Yeon Cho, Jung-Min Park, Myeong-Ki Hwang, Seo Hye Park, Yun-Kyu Park, Bo-Young Jeon, Tong-Soo Kim, Hyeong-Woo Lee
    The Korean Journal of Parasitology.2017; 55(3): 357.     CrossRef
  • Paleogenetic study on the 17th century Korean mummy with atherosclerotic cardiovascular disease
    Dong Hoon Shin, Chang Seok Oh, Jong Ha Hong, Yusu Kim, Soong Deok Lee, Eunju Lee, David Caramelli
    PLOS ONE.2017; 12(8): e0183098.     CrossRef
  • Historical Details about the Meat Consumption and Taeniases in Joseon Period of Korea
    Dong Hoon Shin, Jong-Yil Chai, Jong Ha Hong, Min Seo
    The Korean Journal of Parasitology.2017; 55(4): 457.     CrossRef
  • Paleoparasitological study on the soil sediment samples from archaeological sites of ancient Silla Kingdom in Korean peninsula
    Myeung Ju Kim, Min Seo, Chang Seok Oh, Jong-Yil Chai, Jinju Lee, Gab-jin Kim, Won Young Ma, Soon Jo Choi, Karl Reinhard, Adauto Araujo, Dong Hoon Shin
    Quaternary International.2016; 405: 80.     CrossRef
  • Detection Trend of Helminth Eggs in the Strata Soil Samples from Ancient Historic Places of Korea
    Min Seo, Jong-Yil Chai, Myeung Ju Kim, Sang Yuk Shim, Ho Chul Ki, Dong Hoon Shin
    The Korean Journal of Parasitology.2016; 54(5): 555.     CrossRef
  • Preface for Special Section on Paleoparasitology
    Jong-Yil Chai, Min Seo, Dong Hoon Shin
    The Korean Journal of Parasitology.2016; 54(5): 553.     CrossRef
  • Multiplex Ligation Dependent Probe Amplification (MLPA) Assay on Joseon Mummified Samples from Archaeological Sites of South Korea
    You Soo Kim, Chang Seok Oh, Jong Ha Hong, Moon-Woo Seong, Dong Hoon Shin
    Korean Journal of Physical Anthropology.2015; 28(3): 137.     CrossRef
  • Infection patterns of trematode parasites among Joseon people
    Ho Chul Ki, Dong Hoon Shin, Min Seo, Jong-Yil Chai
    Journal of the Korean Medical Association.2014; 57(10): 866.     CrossRef
  • 18,754 View
  • 174 Download
  • 31 Web of Science
  • Crossref

Case Report

Recurred Sparganosis 1 Year after Surgical Removal of a Sparganum in a Korean Woman
Young-Il Lee, Min Seo, Hyun-Woo Park
Korean J Parasitol 2014;52(1):75-78.
Published online February 19, 2014
DOI: https://doi.org/10.3347/kjp.2014.52.1.75

Sparganosis, an infection due to the plerocercoid of Spirometra erinacei, are found worldwide but the majority of cases occur in East Asia including Korea. This report is on a recurred case of sparganosis in the subcutaneous tissue of the right lower leg 1 year after a surgical removal of a worm from a similar region. At admission, ultrasonography (USG) of the lesion strongly suggested sparganosis, and a worm was successfully removed which turned out to be a sparganum with scolex. Since sparganum has a variable life span, and may develop into a life-threatening severe case, a patient once diagnosed as sparganosis should be properly followed-up for a certain period of time. Although imaging modalities were useful for the diagnosis of sparganosis as seen in this case, serological test such as ELISA should also be accompanied so as to support the preoperative diagnosis.

Citations

Citations to this article as recorded by  Crossref logo
  • Diagnosis and treatment of human sparganosis
    Hong Li, Jianping Hu, Peizeng Yang
    The Lancet Infectious Diseases.2019; 19(6): 577.     CrossRef
  • Three Cases of Sparganosis Mansoni : Identification of the Causative Parasite Species by PCR Methods
    Tetsu SONOSAKI, Yuko OKUBO, Takuya OMINE, Takuya MIYAGI, Yoshiyuki KARIYA, Yu-ichi YAMAMOTO, Kenzo TAKAHASHI, Hiroshi UEZATO
    Nishi Nihon Hifuka.2016; 78(5): 522.     CrossRef
  • Recurrent Breast Sparganosis: Clinical and Radiological Findings
    Jiyoon Park, Ok Hee Woo, Kyu Ran Cho, Bo Kyoung Seo
    Journal of the Korean Society of Radiology.2015; 73(3): 164.     CrossRef
  • Clinical Features of Pulmonary Sparganosis
    Ning Li, Yi Xiang, Yun Feng, Min Li, Bei Li Gao, Qing Yun Li
    The American Journal of the Medical Sciences.2015; 350(6): 436.     CrossRef
  • 9,945 View
  • 99 Download
  • 2 Web of Science
  • Crossref

Brief Communications

Intestinal Parasites among Wild Rodents in Northern Gangwon-do, Korea
Young-Il Lee, Hee-Jang Pyeon, Min Seo
Korean J Parasitol 2013;51(5):603-606.
Published online October 31, 2013
DOI: https://doi.org/10.3347/kjp.2013.51.5.603

To determine geographical patterns of natural parasite infections among wild rodents, a total of 46 wild rodents from 3 different localities in northern Gangwon-do (Province), Korea were examined for intestinal parasite infections. Along with nematodes such as hookworms and Syphacia spp., Plagiorchis muris (2 specimens) (Trematoda) were collected from striped field mice, Apodemus agrarius. In a Korean wood mouse, Apodemus peninsulae, the overall nematode infections were similar to A. agrarius, but an adult worm of Echinostoma hortense (Trematoda) was collected. In addition, 2 species of cestodes, i.e., Hymenolepis nana and Hymenolepis diminuta, were collected from A. agrarius. Through this survey, A. agrarius and A. peninsule were confirmed as the natural definite hosts for zoonotic intestinal helminths, i.e., P. muris, E. hortense, H. nana, and H. diminuta, in northern Gangwon-do, Korea. Considering increased leisure activities around these areas, seasonal and further comprehensive surveys on wild rodents seem to be needed to prevent zoonotic parasite infections.

Citations

Citations to this article as recorded by  Crossref logo
  • Molecular and phylogenetic analysis and risk assessment of a trematode parasite, Artyfechinostomum sufrartyfex Lane, 1915 with a new host record from India
    Dimple Mandla, Neena Singla, Sukhmanpreet Kaur Brar, Lachhman Das Singla
    Biologia.2022; 78(1): 119.     CrossRef
  • Metabarcoding of bacteria and parasites in the gut of Apodemus agrarius
    Soo Lim Kim, Jun Ho Choi, Myung-hee Yi, Seogwon Lee, Myungjun Kim, Singeun Oh, In-Yong Lee, Bo-Young Jeon, Tai-Soon Yong, Ju Yeong Kim
    Parasites & Vectors.2022;[Epub]     CrossRef
  • Morphological Observation on Physaloptera Species (Nematoda: Spirurida: Physalopteridae) in Murine Rodents of Indonesia and East Asian Islands with Special Reference to Their Zoogeographical Features
    Hideo Hasegawa, Kartika Dewi, Mitsuhiko Asakawa
    Tropical Natural History.2022; 22: 119.     CrossRef
  • The fauna and perspective of rodentia ectoparasites in Iran relying on their roles within public health and veterinary characteristics
    Mousa khosravani
    Journal of Parasitic Diseases.2018; 42(1): 1.     CrossRef
  • Infections of Intestinal Helminth at Two Species of Field Mice, Apodemus agrarius and A. Peninsulae, in Gangwondo and Chungcheongnam-do, Korea
    Jae-Hyung Lee, Shuang Gong, Yung Chul Park, Hyun-Ju Kim, In-Wook Choi, Young-Ha Lee
    The Korean Journal of Parasitology.2018; 56(3): 301.     CrossRef
  • Study of Internal Parasites of Rodents in Ahvaz, South-West of Iran
    Mahmoud Rahdar, Elham-Al- Sadat Roointan, Babak Vazirianzadeh, Alireza Alborzi
    Jundishapur Journal of Health Sciences.2016;[Epub]     CrossRef
  • Intestinal Helminthic Infections in Striped Field Mice,Apodemus agrarius, from Two Southern Regions of Korea
    Woon-Mok Sohn, Byoung-Kuk Na, Hyeon-Je Song, Chung-Mo Kim, Gi-Jin Nam
    The Korean Journal of Parasitology.2014; 52(4): 419.     CrossRef
  • 10,137 View
  • 97 Download
  • Crossref
Paleoparasitological Surveys for Detection of Helminth Eggs in Archaeological Sites of Jeolla-do and Jeju-do
Myeong-Ju Kim, Dong Hoon Shin, Mi-Jin Song, Hye-Young Song, Min Seo
Korean J Parasitol 2013;51(4):489-492.
Published online August 30, 2013
DOI: https://doi.org/10.3347/kjp.2013.51.4.489

A paleoparasitological survey to detect helminth eggs was performed in archaeological sites of Jeolla-do and Jeju-do, the Republic of Korea. Total 593 soil samples were collected in 12 sites of Jeolla-do and 5 sites of Jeju-do from April to November 2011, and examined by the methods of Pike and coworkers. A total of 4 helminth eggs, 2 eggs each for Trichuris trichiura and Ascaris sp., were found in soil samples from 1 site, in Hyangyang-ri, Jangheung-eup, Jangheung-gun, Jeollanam-do. The egg-recovery layer was presumed to represent a 19th century farm, which fact suggested the use of human manures. This is the third archaeological discovery of parasite eggs in Jeolla-do. Additionally, no helminth eggs in archaeological sites of Jeju-do is an interesting problem to be solved in the further investigations.

Citations

Citations to this article as recorded by  Crossref logo
  • Paleoparasitology research on ancient helminth eggs and larvae in the Republic of Korea
    Jong-Yil Chai, Min Seo, Dong Hoon Shin
    Parasites, Hosts and Diseases.2023; 61(4): 345.     CrossRef
  • Discovery of Parasite Eggs in Archeological Residence during the 15th Century in Seoul, Korea
    Pyo Yeon Cho, Jung-Min Park, Myeong-Ki Hwang, Seo Hye Park, Yun-Kyu Park, Bo-Young Jeon, Tong-Soo Kim, Hyeong-Woo Lee
    The Korean Journal of Parasitology.2017; 55(3): 357.     CrossRef
  • Paleoparasitological study on the soil sediment samples from archaeological sites of ancient Silla Kingdom in Korean peninsula
    Myeung Ju Kim, Min Seo, Chang Seok Oh, Jong-Yil Chai, Jinju Lee, Gab-jin Kim, Won Young Ma, Soon Jo Choi, Karl Reinhard, Adauto Araujo, Dong Hoon Shin
    Quaternary International.2016; 405: 80.     CrossRef
  • 9,298 View
  • 80 Download
  • Crossref
Spargana in a Weasel, Mustela sibirica manchurica, and a Wild Boar, Sus scrofa, from Gangwon-do, Korea
Seung-Ha Lee, Eun-Yoon Choe, Hyun-Duk Shin, Min Seo
Korean J Parasitol 2013;51(3):379-381.
Published online June 30, 2013
DOI: https://doi.org/10.3347/kjp.2013.51.3.379

To know the status of sparganum (plerocercoid of Spirometra erinacei) infection in the Korean wild life, several species of wild animals were captured in Gangwon-do and examined for their status of infection with spargana. From February to December 2011, a total of 62 wild boars, 5 badgers, 1 weasel, 1 Siberian chipmunk, and 53 wild rodents were captured, and their whole muscles were examined with naked eyes for the presence of spargana worms. From the weasel and 1 wild boar, a total of 5 spargana specimens were extracted. The weasel was for the first time recorded as an intermediate or paratenic/transport host of S. erinacei in Korea, and both the weasel (Mustela sibirica manchurica) and wild boar (Sus scrofa) were added to the list of wild animals carrying spargana.

Citations

Citations to this article as recorded by  Crossref logo
  • Establishment of Animal Infection Model of Spirometra Mansoni and Identification of Spirometra Mansoni by Enzyme-Linked Immunosorbent Assay
    Anqi Luo, Shuyu Chen, Mingye He, Xiaoruo Tan, Zhikang Li, Wei Liu, Yisong Liu
    Vector-Borne and Zoonotic Diseases.2025; 25(2): 133.     CrossRef
  • Important nutrient sources and carbohydrate metabolism patterns in the growth and development of spargana
    Pei Liang, Peng Liang, Kemin Chen, Zhengxin Chen, Yamei Liu, Yujin Lin, Jin Li, Ruijia Fu, Gang Lu, Dayong Wang
    Parasites & Vectors.2024;[Epub]     CrossRef
  • Spirometra species from Asia: Genetic diversity and taxonomic challenges
    Hiroshi Yamasaki, Oranuch Sanpool, Rutchanee Rodpai, Lakkhana Sadaow, Porntip Laummaunwai, Mesa Un, Tongjit Thanchomnang, Sakhone Laymanivong, Win Pa Pa Aung, Pewpan M. Intapan, Wanchai Maleewong
    Parasitology International.2021; 80: 102181.     CrossRef
  • Morphological Features and Structural Analysis of Plerocercoids of Spirometra erinaceieuropaei (Cestoda: Diphyllobothriidae) from European Pine Marten, Martes martes (Mammalia: Mustelidae) in Ukraine
    Nataliya Yu. Rubtsova, Richard A. Heckmann
    Comparative Parasitology.2020; 87(1): 109.     CrossRef
  • Mustela sibirica (Carnivora: Mustelidae)
    Chris J Law
    Mammalian Species.2018; 50(966): 109.     CrossRef
  • RETROSPECTIVE ANALYSIS OF THE EPIDEMIOLOGIC LITERATURE, 1990–2015, ON WILDLIFE-ASSOCIATED DISEASES FROM THE REPUBLIC OF KOREA
    Jusun Hwang, Kyunglee Lee, Young-Jun Kim, Jonathan M. Sleeman, Hang Lee
    Journal of Wildlife Diseases.2017; 53(1): 5.     CrossRef
  • Spirometra erinaceieuropaei in a wildcat (Felis silvestris) in Iran
    Milad Badri, Aida Vafae Eslahi, Hamidreza Majidiani, Majid Pirestani
    Veterinary Parasitology: Regional Studies and Reports.2017; 10: 58.     CrossRef
  • Sparganosis in wild boar ( Sus scrofa ) – Implications for veterinarians, hunters, and consumers
    Marta Kołodziej-Sobocińska, Mariusz Miniuk, Iwona Ruczyńska, Małgorzata Tokarska
    Veterinary Parasitology.2016; 227: 115.     CrossRef
  • Human sparganosis, a neglected food borne zoonosis
    Quan Liu, Ming-Wei Li, Ze-Dong Wang, Guang-Hui Zhao, Xing-Quan Zhu
    The Lancet Infectious Diseases.2015; 15(10): 1226.     CrossRef
  • 9,934 View
  • 82 Download
  • Crossref

Case Reports

Trichinosis Caused by Ingestion of Raw Soft-Shelled Turtle Meat in Korea
Sang-Rok Lee, Sang-Hoon Yoo, Hyun-Seon Kim, Seung-Ha Lee, Min Seo
Korean J Parasitol 2013;51(2):219-221.
Published online April 25, 2013
DOI: https://doi.org/10.3347/kjp.2013.51.2.219

Reptiles, unlike mammals, have been considered to be unsuitable hosts of Trichinella spp., though larvae have been detected in their muscles and human outbreaks related to their consumption have, in fact, occurred. Herein we report 2 Korean cases of trichinosis, possibly transmitted via consumption of reptile meat. Both patients suffered from myalgia, headache, and facial edema. Laboratory examinations revealed leukocytosis with eosinophilia (54% and 39%, respectively) and elevated creatinine phosphokinase. ELISA was performed under the suspicion of trichinosis, showing positivity at the 29th and 60th day post-infection. Since they had consumed raw soft-shelled turtle meat, turtle was strongly suggested to be an infection source of trichinosis in Korea next to the wild boar and badger.

Citations

Citations to this article as recorded by  Crossref logo
  • Infectious diseases of the Chinese soft-shelled turtle (Pelodiscus sinensis): A focus on etiological agents and predisposing factors
    Zhen Tao, Jiehao Xu, Saurabh Dubey, Cheng Xu, Hetron Mweemba Munang’andu
    Aquaculture Reports.2024; 37: 102227.     CrossRef
  • Epidemiology of trichinellosis in the People's Republic of China during 2009–2020
    Xin Zhuo Zhang, Zhong Quan Wang, Jing Cui
    Acta Tropica.2022; 229: 106388.     CrossRef
  • Prevalence of meat-transmitted Taenia and Trichinella parasites in the Far East countries
    Yi Liu, Zijian Dong, Jianda Pang, Mingyuan Liu, Xuemin Jin
    Parasitology Research.2021; 120(12): 4145.     CrossRef
  • Possible case of trichinellosis associated with beaver (Castor fiber) meat
    A.M. Bronstein, A.N. Lukashev
    Journal of Helminthology.2019; 93(3): 372.     CrossRef
  • RETROSPECTIVE ANALYSIS OF THE EPIDEMIOLOGIC LITERATURE, 1990–2015, ON WILDLIFE-ASSOCIATED DISEASES FROM THE REPUBLIC OF KOREA
    Jusun Hwang, Kyunglee Lee, Young-Jun Kim, Jonathan M. Sleeman, Hang Lee
    Journal of Wildlife Diseases.2017; 53(1): 5.     CrossRef
  • Meat sources of infection for outbreaks of human trichinellosis
    Ali Rostami, H. Ray Gamble, Jean Dupouy-Camet, Hooshang Khazan, Fabrizio Bruschi
    Food Microbiology.2017; 64: 65.     CrossRef
  • Study on the mitochondrial apoptosis pathways of small cell lung cancer H446 cells induced by Trichinella spiralis muscle larvae ESPs
    JINGMEI LUO, LI YU, GUANGCHENG XIE, DAN LI, MENG SU, XUERONG ZHAO, LUANYING DU
    Parasitology.2017; 144(6): 793.     CrossRef
  • Trichinella spiralis infection and transplacental passage in human pregnancy
    María P. Saracino, Marcela A. Calcagno, Emilia Bilen Beauche, Ariel Garnier, Cecilia C. Vila, Hugo Granchetti, María R. Taus, Stella M. Venturiello
    Veterinary Parasitology.2016; 231: 2.     CrossRef
  • Prevalence of Trichinella spp. antibodies in wild boars (Sus scrofa) and domestic pigs in Korea
    H.J. Kim, W.S. Jeong, E.M. Kim, S.G. Yeo, D.J. An, H. Yoon, E.J. Kim, C.K. Park
    Veterinární medicína.2015; 60(4): 181.     CrossRef
  • Clinical Update on Parasitic Diseases
    Min Seo
    Korean Journal of Medicine.2013; 85(5): 469.     CrossRef
  • Seroprevalence of Toxoplasma gondii and Trichinella spiralis infections in wild boars (Sus scrofa) in Korea
    Seung Won Kang, Huong Thi Thanh Doan, Jin Hyeong Noh, Se Eun Choe, Mi Sun Yoo, Young Ha Kim, Kondreddy Eswar Reddy, Thuy Thi Dieu Nguyen, Dong Van Quyen, Lien Thi Kim Nguyen, Chang Hee Kweon, Suk Chan Jung
    Parasitology International.2013; 62(6): 583.     CrossRef
  • 10,098 View
  • 99 Download
  • Crossref
A Case of Anisakidosis Caused by Pseudoterranova decipiens Larva
Hak Kyun Na, Min Seo, Jong-Yil Chai, Eun Kyoung Lee, Soung Min Jeon
Korean J Parasitol 2013;51(1):115-117.
Published online February 18, 2013
DOI: https://doi.org/10.3347/kjp.2013.51.1.115

Pseudoterranova decipiens larva is a rare cause of anisakiasis. Indeed, prior to the present study, there had been only 12 reports of larval P. decipiens infection in the Republic of Korea. In June 2011, an anisakid larva, 32.1 mm in length and 0.88 mm in width, and finally identified as the third stage larva of P. decipiens owing to the presence of an intestinal cecum but lacking ventricular appendage, was discovered in a 61-year-old woman during the course of endoscopy executed as a part of routine physical examinations. The patient had eaten raw a rockfish 13 hr prior to the endoscopy, but showed no symptoms of anisakiasis. This paper is the 13th report of P. decipiens infection in Korea.

Citations

Citations to this article as recorded by  Crossref logo
  • Gastrointestinal parasites of harbour seal (Phoca vitulina L.) in Danish marine waters: Prevalence, abundance, intensity and reproductive potential
    Kaan Kumas, Carlota Marola Fernandez Gonzalez, Per Walter Kania, Kurt Buchmann
    International Journal for Parasitology: Parasites and Wildlife.2025; 27: 101066.     CrossRef
  • Seals, fish, humans and parasites in the Baltic: ecology, evolution and history
    Kurt Buchmann
    Folia Parasitologica.2023;[Epub]     CrossRef
  • A critical review of anisakidosis cases occurring globally
    Shokoofeh Shamsi, Diane P. Barton
    Parasitology Research.2023; 122(8): 1733.     CrossRef
  • Nasal localization of aPseudoterranova decipienslarva in a Danish patient with suspected allergic rhinitis
    A. Nordholm, J.A.L. Kurtzhals, A.M. Karami, P.W. Kania, K. Buchmann
    Journal of Helminthology.2020;[Epub]     CrossRef
  • Epicutaneous sensitization with nematode antigens of fish parasites results in the production of specific IgG and IgE
    G. Fontenelle, M. Knoff, M.A. Verícimo, S.C. São Clemente
    Journal of Helminthology.2018; 92(4): 403.     CrossRef
  • Molecular diagnosis of Pseudoterranova decipiens s.s in human, France
    Julie Brunet, Bernard Pesson, Maude Royant, Jean-Philippe Lemoine, Alexander W. Pfaff, Ahmed Abou-Bacar, Hélène Yera, Emilie Fréalle, Jean Dupouy-Camet, Gema Merino-Espinosa, Magdalena Gómez-Mateos, Joaquina Martin-Sanchez, Ermanno Candolfi
    BMC Infectious Diseases.2017;[Epub]     CrossRef
  • Excretory/secretory products of anisakid nematodes: biological and pathological roles
    Foojan Mehrdana, Kurt Buchmann
    Acta Veterinaria Scandinavica.2017;[Epub]     CrossRef
  • Extra-gastrointestinal anisakidosis caused by Pseudoterranova azarasi manifesting as strangulated inguinal hernia
    Akari Mitsuboshi, Hiroshi Yamaguchi, Yusuke Ito, Tetsushi Mizuno, Masaharu Tokoro, Masashi Kasai
    Parasitology International.2017; 66(6): 810.     CrossRef
  • First case report of invasive pseudoterranoviasis in Italy
    Serena Cavallero, Daniela Scribano, Stefano D'Amelio
    Parasitology International.2016; 65(5): 488.     CrossRef
  • Effects of anisakid nematodes Anisakis simplex (s.l.), Pseudoterranova decipiens (s.l.) and Contracaecum osculatum (s.l.) on fish and consumer health
    Kurt Buchmann, Foojan Mehrdana
    Food and Waterborne Parasitology.2016; 4: 13.     CrossRef
  • Anisakiasis: Report of 15 Gastric Cases Caused by <i>Anisakis</i> Type I Larvae and a Brief Review of Korean Anisakiasis Cases
    Woon-Mok Sohn, Byoung-Kuk Na, Tae Hyo Kim, Tae-Joon Park
    The Korean Journal of Parasitology.2015; 53(4): 465.     CrossRef
  • Morphological and molecular diagnosis of Pseudoterranova decipiens (sensu stricto) (Anisakidae) in imported cod sold in Brazil
    Cláudio Mafra, Cynthia Mantovani, Juliana Novo Borges, Rafael Mazioli Barcelos, Cláudia Portes Santos
    Revista Brasileira de Parasitologia Veterinária.2015; 24(2): 209.     CrossRef
  • 10,256 View
  • 117 Download
  • Crossref

Brief Communications

Discovery of Endocotyle incana and Spelotrema pseudogonotyla (Digenea: Microphallidae) from Scolopacid Migratory Birds in Korea
Ho-Jin Yoo, Ok-Sik Chung, Min Seo
Korean J Parasitol 2012;50(3):273-276.
Published online August 13, 2012
DOI: https://doi.org/10.3347/kjp.2012.50.3.273

Migratory birds have been suspected as playing a central role in transmission of various trematodes, but few surveys have been undertaken in the Republic of Korea. In the present study, we describe new fauna of microphallid flukes in Korea. Two species of microphallids were found in the intestines of 2 migratory bird species, namely the red necked stints (Calidris ruficollis) and the terek sandpiper (Xenus cinereus), in a coastal area of Gunsan-si, Jeollabuk-do. The microphallids recovered from the latter were 451 ?m in length and 217 ?m in width, and the eggs were very small, 13 ?m by 8 ?m. They had the characteristic extracecal vitellaria intruding into the median posttesticular area, belonging to Endocotyle incana. Another microphallids were discovered from both migratory birds, 417 ?m in length and 249 ?m in width. The cirrus was projecting into the genital atrium in form of male papilla, and bounded by a muscular flap, termed pseudogonotyl. They were identified as Spelotrema pseudogonotyla in consideration of the distinctive male papilla and pseudogonotyl. Besides these flukes, Maritrema obstipum and Gynaecotyla squatarolae also were recovered. This paper is in fact the first report on the presence of Spelotrema and Endocotyle in Korea.

Citations

Citations to this article as recorded by  Crossref logo
  • Infections with Digenetic Trematode Metacercariae in Freshwater Fishes from Two Visiting Sites of Migratory Birds in Gyeongsangnam-do, Republic of Korea
    Woon-Mok Sohn, Byoung-Kuk Na
    The Korean Journal of Parasitology.2019; 57(3): 273.     CrossRef
  • New Record of Schistorophus cirripedesmi (Nematoda: Acuariidae) from a Bar-Tailed Godwit, Limosa lapponica baueri (Charadriformes: Scolopacidae) in Korea
    Seongjun Choe, Hyun Kim, Junsik Lim, Dongmin Lee, Hansol Park, Hyeong-Kyu Jeon, Heejong Kim, Youngjun Kim, Keeseon S. Eom
    The Korean Journal of Parasitology.2016; 54(3): 349.     CrossRef
  • Recovery of Oswaldotrema nacinovici from Whimbrels (Aves) in Korea
    Young-Il Lee, Ok-Sik Chung, Min Seo
    The Korean Journal of Parasitology.2016; 54(6): 809.     CrossRef
  • 9,211 View
  • 71 Download
  • Crossref
A Seroepidemiological Survey of Toxocariasis among Eosinophilia Patients in Chungcheongnam-do
Min Seo, Sung Chul Yoon
Korean J Parasitol 2012;50(3):249-251.
Published online August 13, 2012
DOI: https://doi.org/10.3347/kjp.2012.50.3.249

There have been several reports on the relationship between toxocariasis and eosinophilia, but all have been limited to the areas of Seoul or Gangwon-do. In the present study, we investigated the seroprevalence of toxocariasis among eosinophilia patients in Chungcheongnam-do, the central district of Korea. Among the 101 patients tested, 51 (50.5%) were identified as positive by Toxocara ELISA, and 46 (45.5%) were confidently diagnosed with toxocariasis because of absence of any other cause of eosinophilia. Whereas 22 of 42 seropositive patients (52.3%) had a recent history of consuming raw livers, especially the cow liver, only 1 of 25 seronegative patients (4%) had done so (P<0.01). From these results, we could confirm that toxocariasis is related to eosinophilia, and infer that ingestion of raw cow liver plays a vital role in the transmission of toxocariasis in Chungcheongnam-do.

Citations

Citations to this article as recorded by  Crossref logo
  • Current status and epidemiology of endemic parasitic infections in Korea as of 2026: a narrative review
    Sun Huh
    Journal of the Korean Medical Association.2026; 69(3): 240.     CrossRef
  • Seroprevalence of Toxocara spp. infection and its associated factors among children in Vietnam: A cross-sectional study
    Giao Huynh, Dung Quoc Phan, Tien Minh Tran, Thai Duy Nguyen, Hau Viet Nguyen, Han Thi Ngoc Nguyen, Ly Trieu Vo
    Medicine.2025; 104(47): e46235.     CrossRef
  • Toxocariasis and Strongyloidiasis as Triggering Factors for Wells’ Syndrome
    Hendra Gunawan, Zulfan Zulfan
    Clinical, Cosmetic and Investigational Dermatology.2024; Volume 17: 1687.     CrossRef
  • Evidence of helminthic infestation and efficacy of anthelminthic treatment in children investigated for eosinophilia
    Predrag Rodic, Marija Cazic, Dejan Skoric, Jelena Lazic, Goran Milosevic, Srdja Jankovic, Nada Krstovski
    Vojnosanitetski pregled.2024; 81(9): 555.     CrossRef
  • Dog and Cat Contact as Risk Factor for Human Toxocariasis: Systematic Review and Meta-Analysis
    Yslla Fernanda Fitz Balo Merigueti, Rogerio Giuffrida, Rodrigo Costa da Silva, Louise Bach Kmetiuk, Andrea Pires Dos Santos, Alexander Welker Biondo, Vamilton Alvares Santarém
    Frontiers in Public Health.2022;[Epub]     CrossRef
  • Seroprevalence of Toxocariasis Among Hypereosinophilic Children: A Single Center Study, Tehran, Iran
    Meysam Sharifdini, Mehdi Zarean, Mehrzad Sadredinamin, Mitra Zare- Bavani, Sarah Sharifi-yazdi, Bahram Nikmanesh
    Archives of Pediatric Infectious Diseases.2022;[Epub]     CrossRef
  • Ocular Toxocariasis: Beyond Typical Patterns through the New Imaging Technologies
    I Hernanz, A Moll-Udina, Belles V. Llorenç, Civera A. Adan
    Ocular Immunology and Inflammation.2021; 29(7-8): 1252.     CrossRef
  • Keys to Unlock the Enigma of Ocular Toxocariasis: A Systematic Review and Meta-analysis
    Milad Badri, Aida Vafae Eslahi, Meysam Olfatifar, Sahar Dalvand, Elham Houshmand, Amir Abdoli, Hamidreza Majidiani, Ali Eslami, Mohammad Zibaei, Morteza Ghanbari Johkool, Ali Taghipour, Sima Hashemipour
    Ocular Immunology and Inflammation.2021; 29(7-8): 1265.     CrossRef
  • Prevalence of Toxocariasis and Its Risk Factors in Patients with Eosinophilia in Korea
    Hyun Beom Song, Deokho Lee, Yan Jin, Jinwoo Kang, Shin-Hyeong Cho, Min Sun Park, Jin-Ho Park, Woo-Jung Song, Hye-Ryun Kang, Sang Hyub Lee, Sung-Tae Hong, Min-Ho Choi
    The Korean Journal of Parasitology.2020; 58(4): 413.     CrossRef
  • Latent and AsymptomaticToxocaraInfection among Young Population in Northwest Iran: The Necessity of Informing People as a Potential Health Risk
    Tina Momeni, Mahmoud Mahami-Oskouei, Esmaeil Fallah, Abdolrasoul Safaiyan, Leyla Mahami-Oskouei
    Scientifica.2016; 2016: 1.     CrossRef
  • Evaluating correlation between serum liver enzymes and toxocariasis: a case control study
    Hosein Miladi, Mojtaba Didehdar, Reza Hajihossein, Fatemeh Rafiei, Zahra Eslamirad
    Asian Pacific Journal of Tropical Disease.2016; 6(6): 460.     CrossRef
  • Clinical characteristics and progression of liver abscess caused by toxocara
    Kyung Ho Ha, Jung Eun Song, Byung Seok Kim, Chang Hyeong Lee
    World Journal of Hepatology.2016; 8(18): 757.     CrossRef
  • Clinical Features of Ocular Toxocariasis in Adult Korean Patients
    Donghyun Jee, Kyu Seop Kim, Won Ki Lee, Wungjae Kim, Sohee Jeon
    Ocular Immunology and Inflammation.2015; : 1.     CrossRef
  • Cross-reactivity of Toxocariasis with Crude Antigen ofToxascaris leoninaLarvae by ELISA
    Yan Jin, Chenghua Shen, Sun Huh, Min-Ho Choi, Sung-Tae Hong
    Journal of Korean Medical Science.2015; 30(5): 549.     CrossRef
  • Seroepidemiology of Toxocariasis and Its Clinical Implications in Gwangju and Jeonnam-province, Korea
    Eun Jeong Won, Jin Kim, Myung-Geun Shin, Jong Hee Shin, Soon Pal Suh, Dong Wook Ryang
    Annals of Laboratory Medicine.2015; 35(4): 449.     CrossRef
  • The Prevalence of Toxocariasis and Diagnostic Value of Serologic Tests in Asymptomatic Korean Adults
    Jin-Young Lee, Moon Hee Yang, Jung-Hae Hwang, Mira Kang, Jae-Won Paeng, Sehyo Yune, Byung-Jae Lee, Dong-Chull Choi
    Allergy, Asthma & Immunology Research.2015; 7(5): 467.     CrossRef
  • Eosinophilic Meningitis Associated with Toxocariasis
    Jin Kyo Choi, Jin Woo Lee, Yong Hui Park, Seo Hyun Kim
    Journal of Neurocritical Care.2015; 8(2): 115.     CrossRef
  • Ocular toxocariasis: clinical features, diagnosis, treatment, and prevention
    Seong Joon Ahn, Na-Kyung Ryoo, Se Joon Woo
    Asia Pacific Allergy.2014; 4(3): 134.     CrossRef
  • Significance of Serum Antibody Test for Toxocariasis in Healthy Healthcare Examinees with Eosinophilia in Seoul and Gyeongsangnam-do, Korea
    Hong Seok Kim, Yan Jin, Min-Ho Choi, Jae-Hwan Kim, Young Ha Lee, Cheong Ha Yoon, Eui-Hyuk Hwang, Hun Kang, Sang-Yong Ahn, Gi Jin Kim, Sung-Tae Hong
    Journal of Korean Medical Science.2014; 29(12): 1618.     CrossRef
  • Chest CT findings of toxocariasis: Correlation with laboratory results
    J.H. Hur, I.J. Lee, J.-H. Kim, D.-G. Kim, H.J. Hwang, S.H. Koh, K. Lee
    Clinical Radiology.2014; 69(6): e285.     CrossRef
  • A Comparative Seroprevalence Study of Toxocariasis in Hypereosinophilic and Apparently Healthy Individuals
    Bahador Sarkari, Malihe Lari, Reza Shafiei, Seyed Mahmoud Sadjjadi
    Archives of Pediatric Infectious Diseases.2014;[Epub]     CrossRef
  • Anti-Toxocara spp. antibodies in an adult healthy population: serosurvey and risk factors in Southeast Brazil
    Elaine Cristina Negri, Vamilton Alvares Santarém, Guita Rubinsky-Elefant, Rogério Giuffrida
    Asian Pacific Journal of Tropical Biomedicine.2013; 3(3): 211.     CrossRef
  • Serodiagnosis of Toxocariasis by ELISA Using Crude Antigen of Toxocara canis Larvae
    Yan Jin, Chenghua Shen, Sun Huh, Woon-Mok Sohn, Min-Ho Choi, Sung-Tae Hong
    The Korean Journal of Parasitology.2013; 51(4): 433.     CrossRef
  • Chemotherapeutic drugs for common parasitic diseases in Korea
    Sun Huh
    Journal of the Korean Medical Association.2013; 56(6): 513.     CrossRef
  • 9,697 View
  • 88 Download
  • Crossref
Discovery of Maritrema obstipum (Digenea: Microphallidae) from Migratory Birds in Korea
Ok-Sik Chung, Woon-Mok Sohn, Jong-Yil Chai, Min Seo, Hye-Jung Lee
Korean J Parasitol 2011;49(4):457-460.
Published online December 16, 2011
DOI: https://doi.org/10.3347/kjp.2011.49.4.457

Adults of Maritrema obstipum (Digenea: Microphallidae) were found in the intestines of 4 species of migratory birds, including the sanderling (Crocethia alba), Kentish plover (Charadrius alexandrines), Mongolian plover (Charadrius mongolus), and red-necked stint (Calidris ruficollis), collected from Yubu Island, Chungcheongnam-do, Korea. The worms of were 451×265 ?m in size, and were easily identifiable as Maritrema species by the presence of the cirrus sac, and the ring-like distribution of the vitellaria. More specifically, the ejaculatory duct curved posteromedially, and the 2 parts of vitelline follicles were found to be distinct at the posterior end. The eggs were brown-colored, and 19.8×12.3 ?m in size. All these findings implicated M. obstipum as the pertinent species of the worms. Beside these, adult worms of Gynaecotyla squatarolae, Parvatrema duboisi, and Acanthoparyphium sp. were also discovered. This is the first report establishing migratory birds as the natural definitive hosts for M. obstipum.

Citations

Citations to this article as recorded by  Crossref logo
  • Infections with Digenetic Trematode Metacercariae in Freshwater Fishes from Two Visiting Sites of Migratory Birds in Gyeongsangnam-do, Republic of Korea
    Woon-Mok Sohn, Byoung-Kuk Na
    The Korean Journal of Parasitology.2019; 57(3): 273.     CrossRef
  • New Record of Schistorophus cirripedesmi (Nematoda: Acuariidae) from a Bar-Tailed Godwit, Limosa lapponica baueri (Charadriformes: Scolopacidae) in Korea
    Seongjun Choe, Hyun Kim, Junsik Lim, Dongmin Lee, Hansol Park, Hyeong-Kyu Jeon, Heejong Kim, Youngjun Kim, Keeseon S. Eom
    The Korean Journal of Parasitology.2016; 54(3): 349.     CrossRef
  • Recovery of Oswaldotrema nacinovici from Whimbrels (Aves) in Korea
    Young-Il Lee, Ok-Sik Chung, Min Seo
    The Korean Journal of Parasitology.2016; 54(6): 809.     CrossRef
  • Discovery of Endocotyle incana and Spelotrema pseudogonotyla (Digenea: Microphallidae) from Scolopacid Migratory Birds in Korea
    Ho-Jin Yoo, Ok-Sik Chung, Min Seo
    The Korean Journal of Parasitology.2012; 50(3): 273.     CrossRef
  • 9,011 View
  • 74 Download
  • Crossref

Case Report

The Fifth Outbreak of Trichinosis in Korea
Ji-Young Rhee, Sung-Tae Hong, Hye-Jung Lee, Min Seo, Suk-Bae Kim
Korean J Parasitol 2011;49(4):405-408.
Published online December 16, 2011
DOI: https://doi.org/10.3347/kjp.2011.49.4.405

Trichinosis is a food-borne zoonotic disease caused by the nematode, Trichinella spp., and had been reported several times in Korea. Recently, there was an additional outbreak, involving 5 patients, the findings from which are reported herein. On 30 November 2010, 8 persons ate sashimi of the meat of a wild boar. Then, 2-3 weeks later, they complained of myalgia and fever. Unfortunately, muscle biopsy was not performed, but ELISA was performed using their sera. Two people among 8 were positive for Trichinella on the 34th day post-infection (PI), and 3 patients who initially revealed negative ELISA were additionally proved to be positive for trichinosis on the 42nd day PI. Hence, the confirmed patients of trichinosis were 5 in total in the present outbreak. They were treated with albendazole and discharged uneventfully. This was the fifth outbreak of trichinosis in Korea.

Citations

Citations to this article as recorded by  Crossref logo
  • From wildlife to humans: The global distribution of Trichinella species and genotypes in wildlife and wildlife-associated human trichinellosis
    Cody J. Malone, Antti Oksanen, Samson Mukaratirwa, Rajnish Sharma, Emily Jenkins
    International Journal for Parasitology: Parasites and Wildlife.2024; 24: 100934.     CrossRef
  • Trichinellosis-Induced Eosinophilic Myocarditis Mimicking Hypereosinophilic Syndrome
    Manasawee Tanariyakul, Jonathan Estaris, Sakditad Saowapa
    Cureus.2024;[Epub]     CrossRef
  • Prevalence of meat-transmitted Taenia and Trichinella parasites in the Far East countries
    Yi Liu, Zijian Dong, Jianda Pang, Mingyuan Liu, Xuemin Jin
    Parasitology Research.2021; 120(12): 4145.     CrossRef
  • Toxoplasma gondii and Trichinella infections in wild boars (Sus scrofa) from Northeastern Patagonia, Argentina
    Marina Winter, Sergio D Abate, Mariana I Pasqualetti, Fernando A Fariña, Mariano E Ercole, Lais Pardini, Gastón Moré, María Cecilia Venturini, Nélida Perera, María José Corominas, Sergio Mancini, Bernardo Alonso, Andrea Marcos, Ricardo Veneroni, Marianela
    Preventive Veterinary Medicine.2019; 168: 75.     CrossRef
  • Prevalence of Trichinella spp. antibodies in wild boars (Sus scrofa) and domestic pigs in Korea
    H.J. Kim, W.S. Jeong, E.M. Kim, S.G. Yeo, D.J. An, H. Yoon, E.J. Kim, C.K. Park
    Veterinární medicína.2015; 60(4): 181.     CrossRef
  • Cardiac Parasitic Infection in Trichinellosis Associated with Right Ventricle Outflow Tract Obstruction
    Seung Ho Bang, Jae Bum Park, Hyun Keun Chee, Jun Seok Kim, Sung Min Ko, Wan Seop Kim, Je Kyoun Shin
    The Korean Journal of Thoracic and Cardiovascular Surgery.2014; 47(2): 145.     CrossRef
  • Identification of early diagnostic antigens from major excretory-secretory proteins of Trichinella spiralis muscle larvae using immunoproteomics
    Li Wang, Jing Cui, Dan Hu, Ruo Liu, Zhong Wang
    Parasites & Vectors.2014; 7(1): 40.     CrossRef
  • Polynucléaire éosinophile et parasitoses
    Antoine Berry, Jean-François Magnaval, Xavier Iriart, Rose-Anne Lavergne
    Revue Francophone des Laboratoires.2014; 2014(462): 87.     CrossRef
  • Trichinosis Caused by Ingestion of Raw Soft-Shelled Turtle Meat in Korea
    Sang-Rok Lee, Sang-Hoon Yoo, Hyun-Seon Kim, Seung-Ha Lee, Min Seo
    The Korean Journal of Parasitology.2013; 51(2): 219.     CrossRef
  • Detection of circulating antigen in serum of mice infected with Trichinella spiralis by an IgY–IgM mAb sandwich ELISA
    Li Na Liu, Feng Jun Jing, Jing Cui, Guang Yu Fu, Zhong Quan Wang
    Experimental Parasitology.2013; 133(2): 150.     CrossRef
  • Clinical Update on Parasitic Diseases
    Min Seo
    Korean Journal of Medicine.2013; 85(5): 469.     CrossRef
  • 10,516 View
  • 106 Download
  • Crossref

Brief Communications

Discovery of Taeniid Eggs from A 17th Century Tomb in Korea
Hye-Jung Lee, Dong-Hoon Shin, Min Seo
Korean J Parasitol 2011;49(3):327-329.
Published online September 30, 2011
DOI: https://doi.org/10.3347/kjp.2011.49.3.327

Even though Taenia spp. eggs are occasionally discovered from archeological remains around the world, these eggs have never been discovered in ancient samples from Korea. When we attempted to re-examine the archeological samples maintained in our collection, the eggs of Taenia spp., 5 in total number, were recovered from a tomb of Gongju-si. The eggs had radially striated embryophore, and 37.5-40.0 ?m×37.5 ?m in size. This is the first report on taeniid eggs from ancient samples of Korea, and it is suggested that intensive examination of voluminous archeological samples should be needed for identification of Taenia spp.

Citations

Citations to this article as recorded by  Crossref logo
  • Paleoparasitology research on ancient helminth eggs and larvae in the Republic of Korea
    Jong-Yil Chai, Min Seo, Dong Hoon Shin
    Parasites, Hosts and Diseases.2023; 61(4): 345.     CrossRef
  • A comparison of ancient parasites as seen from archeological contexts and early medical texts in China
    Hui-Yuan Yeh, Xiaoya Zhan, Wuyun Qi
    International Journal of Paleopathology.2019; 25: 30.     CrossRef
  • Discovery of Parasite Eggs in Archeological Residence during the 15th Century in Seoul, Korea
    Pyo Yeon Cho, Jung-Min Park, Myeong-Ki Hwang, Seo Hye Park, Yun-Kyu Park, Bo-Young Jeon, Tong-Soo Kim, Hyeong-Woo Lee
    The Korean Journal of Parasitology.2017; 55(3): 357.     CrossRef
  • Paleoparasitological study on the soil sediment samples from archaeological sites of ancient Silla Kingdom in Korean peninsula
    Myeung Ju Kim, Min Seo, Chang Seok Oh, Jong-Yil Chai, Jinju Lee, Gab-jin Kim, Won Young Ma, Soon Jo Choi, Karl Reinhard, Adauto Araujo, Dong Hoon Shin
    Quaternary International.2016; 405: 80.     CrossRef
  • The Changing Pattern of Parasitic Infection Among Korean Populations by Paleoparasitological Study of Joseon Dynasty Mummies
    Min Seo, Chang Seok Oh, Jong-Yil Chai, Mi Sook Jeong, Sung Woo Hong, Young-Min Seo, Dong Hoon Shin
    Journal of Parasitology.2014; 100(1): 147.     CrossRef
  • Paleoparasitological Studies on Mummies of the Joseon Dynasty, Korea
    Min Seo, Adauto Araujo, Karl Reinhard, Jong Yil Chai, Dong Hoon Shin
    The Korean Journal of Parasitology.2014; 52(3): 235.     CrossRef
  • Paleoparasitological Surveys for Detection of Helminth Eggs in Archaeological Sites of Jeolla-do and Jeju-do
    Myeong-Ju Kim, Dong Hoon Shin, Mi-Jin Song, Hye-Young Song, Min Seo
    The Korean Journal of Parasitology.2013; 51(4): 489.     CrossRef
  • Food, parasites, and epidemiological transitions: A broad perspective
    K.J. Reinhard, L.F. Ferreira, F. Bouchet, L. Sianto, J.M.F. Dutra, A. Iniguez, D. Leles, M. Le Bailly, M. Fugassa, E. Pucu, A. Araújo
    International Journal of Paleopathology.2013; 3(3): 150.     CrossRef
  • 11,433 View
  • 88 Download
  • Crossref
Enterobius vermicularis Eggs Discovered in Coprolites from a Medieval Korean Mummy
Dong Hoon Shin, Chang Seok Oh, Jong-Yil Chai, Hye-Jung Lee, Min Seo
Korean J Parasitol 2011;49(3):323-326.
Published online September 30, 2011
DOI: https://doi.org/10.3347/kjp.2011.49.3.323

While the presence of pinworm eggs in archaeological samples has been reported by many researchers in the New World, those have been detected very scarcely in the Old World, especially in East Asian countries. In fact, many parasite species were recovered from the archeological remains in Korea, eggs of Enterobius vermicularis had not been found. Recently, a female mummy buried in the 17th century was discovered in the Joseon tomb from Dangjin-gun, Chungcheongnam-do, Korea. After rehydration process for 12 days, investigations were carried on the luminal surface of the colon. From them, 3 eggs of E. vermicularis were recovered. They were elliptical, transparent with a thin egg shell, 50.3±5.2 ?m (length) and 28.2±3.9 ?m (width) in size. This is the first discovery of E. vermicularis eggs in East Asia.

Citations

Citations to this article as recorded by  Crossref logo
  • Multidisciplinary exploration of ancient atherosclerosis: Paleo-genomic and paleo-nutritional analysis of a 13th century artificial mummy in China
    Bangyan Wang, Rui Wang, Duo Zheng, Baoshuai Zhang, Yu Shao, Jianxue Xiong, Panxin Du, Zixi Jiang, Lobsang Dargye, Edward Allen, Chenshuang Sun, Yiwen Shen, Bowen Gong, Pengfei Sheng, Liugen Lin, Jiucun Wang, Chuan-Chao Wang, Shaoqing Wen
    Journal of Genetics and Genomics.2026;[Epub]     CrossRef
  • A Small‐Scale Survey of Pinworm (Enterobius vermicularis) Among Health Science Students in Lalitpur, Nepal
    Roshan Babu Adhikari, Diksha Ghimire, Hannah Wesley
    Advances in Public Health.2026;[Epub]     CrossRef
  • The microstratigraphy and depositional environments of Lida Ajer and Ngalau Gupin, two fossil-bearing tropical limestone caves of west Sumatra
    Holly E. Anderson, Mike W. Morley, Conor McAdams, Jahdi Zaim, Yan Rizal, Aswan, Mika R. Puspaningrum, Agus T. Hascaryo, Gilbert J. Price, Julien Louys
    Scientific Reports.2024;[Epub]     CrossRef
  • Paleoparasitology research on ancient helminth eggs and larvae in the Republic of Korea
    Jong-Yil Chai, Min Seo, Dong Hoon Shin
    Parasites, Hosts and Diseases.2023; 61(4): 345.     CrossRef
  • Reconstructing the history of helminth prevalence in the UK
    Hannah Ryan, Patrik G Flammer, Rebecca Nicholson, Louise Loe, Ben Reeves, Enid Allison, Christopher Guy, Inés Lopez Doriga, Tony Waldron, Don Walker, Claas Kirchhelle, Greger Larson, Adrian L Smith, Subash Babu
    PLOS Neglected Tropical Diseases.2022; 16(4): e0010312.     CrossRef
  • Intestinal helminths as a biomolecular complex in archaeological research
    Patrik G. Flammer, Adrian L. Smith
    Philosophical Transactions of the Royal Society B: Biological Sciences.2020; 375(1812): 20190570.     CrossRef
  • Mummy studies and the bioarchaeology of care
    Kenneth C. Nystrom, Lorna Tilley
    International Journal of Paleopathology.2019; 25: 64.     CrossRef
  • First description of Enterobius vermicularis egg in a coprolite dated from the pre-contact in Brazil
    Matheus Lino, Daniela Leles, Alfredo P. Peña, Marina C. Vinaud
    Journal of Archaeological Science: Reports.2018; 17: 1.     CrossRef
  • Discovery of Parasite Eggs in Archeological Residence during the 15th Century in Seoul, Korea
    Pyo Yeon Cho, Jung-Min Park, Myeong-Ki Hwang, Seo Hye Park, Yun-Kyu Park, Bo-Young Jeon, Tong-Soo Kim, Hyeong-Woo Lee
    The Korean Journal of Parasitology.2017; 55(3): 357.     CrossRef
  • A Case of Ectopic Paragonimiasis in a 17th Century Korean Mummy
    D. H. Shin, Y.-S. Kim, D. S. Yoo, M. J. Kim, C. S. Oh, J. H. Hong, E. Lee, J. Y. Chai, M. Seo
    Journal of Parasitology.2017; 103(4): 399.     CrossRef
  • Paleoparasitological study on the soil sediment samples from archaeological sites of ancient Silla Kingdom in Korean peninsula
    Myeung Ju Kim, Min Seo, Chang Seok Oh, Jong-Yil Chai, Jinju Lee, Gab-jin Kim, Won Young Ma, Soon Jo Choi, Karl Reinhard, Adauto Araujo, Dong Hoon Shin
    Quaternary International.2016; 405: 80.     CrossRef
  • Human Coprolites as a Source for Paleomicrobiology
    Sandra Appelt, Michel Drancourt, Matthieu Le Bailly, Michel Drancourt, Didier Raoult
    Microbiology Spectrum.2016;[Epub]     CrossRef
  • Joseon Funerary Texts Tested Using Ancient DNA Analysis of a Korean Mummy
    Chang Seok Oh, Bou‐Ja Koh, Dong Soo Yoo, Jun Bum Park, So Ri Min, Yi‐Suk Kim, Sang Sup Lee, Jianye Ge, Seung Bum Seo, Dong Hoon Shin
    The Anatomical Record.2015; 298(6): 1191.     CrossRef
  • Multiplex Ligation Dependent Probe Amplification (MLPA) Assay on Joseon Mummified Samples from Archaeological Sites of South Korea
    You Soo Kim, Chang Seok Oh, Jong Ha Hong, Moon-Woo Seong, Dong Hoon Shin
    Korean Journal of Physical Anthropology.2015; 28(3): 137.     CrossRef
  • Paleoparasitological Studies on Mummies of the Joseon Dynasty, Korea
    Min Seo, Adauto Araujo, Karl Reinhard, Jong Yil Chai, Dong Hoon Shin
    The Korean Journal of Parasitology.2014; 52(3): 235.     CrossRef
  • Radiological Diagnosis of Congenital Diaphragmatic Hernia in 17th Century Korean Mummy
    Yi-Suk Kim, In Sun Lee, Go-Un Jung, Myeung Ju Kim, Chang Seok Oh, Dong Su Yoo, Won-Joon Lee, Eunju Lee, Soon Chul Cha, Dong Hoon Shin, Debbie Guatelli-Steinberg
    PLoS ONE.2014; 9(7): e99779.     CrossRef
  • The Changing Pattern of Parasitic Infection Among Korean Populations by Paleoparasitological Study of Joseon Dynasty Mummies
    Min Seo, Chang Seok Oh, Jong-Yil Chai, Mi Sook Jeong, Sung Woo Hong, Young-Min Seo, Dong Hoon Shin
    Journal of Parasitology.2014; 100(1): 147.     CrossRef
  • Collaboration of Archaeologists, Historians and Bioarchaeologists During Removal of Clothing from Korean Mummy of Joseon Dynasty
    Eun-Joo Lee, Chang Seok Oh, Se Gweon Yim, Jun Bum Park, Yi-Suk Kim, Myung Ho Shin, Soong Deok Lee, Dong Hoon Shin
    International Journal of Historical Archaeology.2013; 17(1): 94.     CrossRef
  • Food, parasites, and epidemiological transitions: A broad perspective
    K.J. Reinhard, L.F. Ferreira, F. Bouchet, L. Sianto, J.M.F. Dutra, A. Iniguez, D. Leles, M. Le Bailly, M. Fugassa, E. Pucu, A. Araújo
    International Journal of Paleopathology.2013; 3(3): 150.     CrossRef
  • Paleoparasitological Surveys for Detection of Helminth Eggs in Archaeological Sites of Jeolla-do and Jeju-do
    Myeong-Ju Kim, Dong Hoon Shin, Mi-Jin Song, Hye-Young Song, Min Seo
    The Korean Journal of Parasitology.2013; 51(4): 489.     CrossRef
  • 12,202 View
  • 89 Download
  • Crossref

Case Report

Ophthalmomyiasis Caused by a Phormia sp. (Diptera: Calliphoridae) Larva in an Enucleated Patient
Jae-Soo Kim, Jong-Wan Kim, Hye-Jung Lee, In-Yong Lee, Sang-Ah Oh, Min Seo
Korean J Parasitol 2011;49(2):173-175.
Published online June 14, 2011
DOI: https://doi.org/10.3347/kjp.2011.49.2.173

Ophthalmomyiasis rarely occurs worldwide, and has not been reported in Korea. We present here a case of ophthalmomyiasis caused by Phormia sp. fly larva in an enucleated eye of a patient. In June 2010, a 50-year-old man was admitted to Dankook University Hospital for surgical excision of a malignant melanoma located in the right auricular area. He had a clinical history of enucleation of his right eye due to squamous cell carcinoma 5 years ago. During hospitalization, foreign body sensation developed in his right eye, and close examination revealed a fly larva inside the eye, which was evacuated. The larva was proved to be Phormia sp. based on the morphology of the posterior spiracle. Subsequently, no larva was found, and the postoperative course was uneventful without any complaints of further myiasis. This is the first case of ophthalmomyiasis among the literature in Korea, and also the first myiasis case caused by Phormia sp. in Korea.

Citations

Citations to this article as recorded by  Crossref logo
  • Imported parasitic diseases in the Republic of Korea: status and issues
    Jong-Yil Chai
    Journal of the Korean Medical Association.2025; 68(1): 52.     CrossRef
  • Cutaneous myiasis in skin cancer and malignant wounds: a systematic review
    Daniel Cuestas, John Pedraza, Hugo Herrera, Adriana Motta, Andrés Cuestas, Yency Forero, Ricardo Porras, Fernando Urrea, Dany Galvis, Ingrid Galvis, Maria‐Alejandra Bernal, Maria‐Victoria Alvarado, Rosa Bula, Oscar Velasquez, Dennys Villalba, Sergio Lamus
    International Journal of Dermatology.2021; 60(12): 1529.     CrossRef
  • Oftalmomiasis intraocular postraumática por Phormia sp.
    F. Munayco-Guillén, P.A. Muro-Mansilla, L.S. Marroquín-Loayza, J.A. Zavala-Loayza, R.R. Cámara-Reyes, A. Verástegui-Díaz
    Archivos de la Sociedad Española de Oftalmología.2019; 94(3): 145.     CrossRef
  • Post-traumatic intraocular ophthalmomyasis due to Phormia sp.
    F. Munayco-Guillén, P.A. Muro-Mansilla, L.S. Marroquín-Loayza, J.A. Zavala-Loayza, R.R. Cámara-Reyes, A. Verástegui-Díaz
    Archivos de la Sociedad Española de Oftalmología (English Edition).2019; 94(3): 145.     CrossRef
  • A Case of Recurrent External Ophthalmomyiasis Caused byLucilia sericataMeigen in a Healthy Patient
    Yung Hui Kim, Kyung Chul Yoon, Won Choi
    Journal of the Korean Ophthalmological Society.2016; 57(4): 657.     CrossRef
  • Canine Wound Myiasis Caused by Lucilia sericata (Diptera: Calliphoridae) in Korea
    Seongjun Choe, Dongmin Lee, Hansol Park, Hyeong-Kyu Jeon, Hakhyun Kim, Ji-Houn Kang, Cha-Ho Jee, Keeseon S. Eom
    The Korean Journal of Parasitology.2016; 54(5): 667.     CrossRef
  • First report of external ophthalmomyiasis caused by Lucilia sericata Meigen in a healthy patient without predisposing risk factors
    Won Choi, Ga Eon Kim, Seong Hwan Park, Sang Eon Shin, Ji Hye Park, Kyung Chul Yoon
    Parasitology International.2015; 64(5): 281.     CrossRef
  • Human wound myiasis caused by Phormia regina and Sarcophaga haemorrhoidalis in Minia Governorate, Egypt
    Ekhlas H. Abdel-Hafeez, Rabie M. Mohamed, Usama S. Belal, Ahmed M. Atiya, Masaya Takamoto, Fumie Aosai
    Parasitology Research.2015; 114(10): 3703.     CrossRef
  • Incidence of myiasis among humans—a review
    Amandeep Singh, Zorawar Singh
    Parasitology Research.2015; 114(9): 3183.     CrossRef
  • Laboratory Identification of Arthropod Ectoparasites
    Blaine A. Mathison, Bobbi S. Pritt
    Clinical Microbiology Reviews.2014; 27(1): 48.     CrossRef
  • A Case of Nosocomial Nasal Myiasis in Comatose Patient
    Sung Jae Heo, Mi Jin Lee, Chang Mook Park, Jung Soo Kim
    Korean Journal of Otorhinolaryngology-Head and Neck Surgery.2013; 56(10): 664.     CrossRef
  • A Case of Oral Myiasis Caused by Lucilia sericata (Diptera: Calliphoridae) in Korea
    Mun Jang, Seung-Min Ryu, Sang-Chang Kwon, Jun-Ouk Ha, Young-Hoon Kim, Dong-Hyun Kim, Soon-Myung Jung, Soon-Il Lee, Woon-Mok Sohn, Hee-Jae Cha, Meesun Ock
    The Korean Journal of Parasitology.2013; 51(1): 119.     CrossRef
  • 10,782 View
  • 88 Download
  • Crossref

Brief Communications

Risk Factors Associated with Head Louse Infestation in Korea
Seobo Sim, Won-Ja Lee, Jae-Ran Yu, In Yong Lee, Seung Hyun Lee, Soo-Youn Oh, Min Seo, Jong-Yil Chai
Korean J Parasitol 2011;49(1):95-98.
Published online March 18, 2011
DOI: https://doi.org/10.3347/kjp.2011.49.1.95

Head louse infestation (HLI) is one of the most frequently occurring parasitic diseases in children. This study was conducted to investigate the socioeconomic and personal factors influencing HLI in the Republic of Korea. A total of 2,210 questionnaires about various factors related to HLI were obtained from children in 17 primary schools throughout the country. The rate of HLI was significantly lower in children who lived together with mother or in a family where both parents worked. In addition, HLI was lower in children whose fathers or mothers were public officers or teachers. However, HLI was higher in children who had small families and washed their hair less often. Education levels of parents and the number of children in family were not significant. Improvement of socioeconomic factors and personal hygiene will be helpful for reducing HLI.

Citations

Citations to this article as recorded by  Crossref logo
  • Scabies and Lice Infestations in Gaza: Risk Factors and Public Health Challenges During the 2023–2024 Conflict
    Zuhair Dardona, Mounia Amane, Samia Boussaa
    Egyptian Journal of Dermatology and Venereology.2025; 45(2): 127.     CrossRef
  • Monitoring the impact, trends, and impact levels of factors affecting Pediculus capitis infestation in primary school students: An illustrative scale of evidence review
    Hassan Nasirian
    Journal of Public Health.2024; 32(8): 1479.     CrossRef
  • Epidemiological analysis of pediculosis and the distribution of kdr mutation frequency in head lice populations in Torbat Heydarieh city of Khorasan Razavi Province, Northeastern Iran
    Mohammad Taheri, Fereshteh Ghahvechi Khaligh, Ahmad Ali Hanafi-Bojd, Hamid Reza Khalkhali, Kamal Dashti, Mehdi Badakhshan, Saber Gholizadeh
    BMC Research Notes.2024;[Epub]     CrossRef
  • Prevalence of head louse infestation among primary schoolchildren in the Republic of Korea: nationwide observation of trends in 2011-2019
    Seungwan Ryoo, Sooji Hong, Taehee Chang, Hyejoo Shin, Jae Young Park, Jeonggyu Lee, Eun-Hee Nah, Eun Hee Lee, Bong-Kwang Jung, Jong-Yil Chai
    Parasites, Hosts and Diseases.2023; 61(1): 53.     CrossRef
  • Pediculosis capitis among school-age students worldwide as an emerging public health concern: a systematic review and meta-analysis of past five decades
    Kareem Hatam-Nahavandi, Ehsan Ahmadpour, Fariba Pashazadeh, Asiyeh Dezhkam, Mehdi Zarean, Raheleh Rafiei-Sefiddashti, Alireza Salimi-Khorashad, Saeed Hosseini-Teshnizi, Teimour Hazratian, Domenico Otranto
    Parasitology Research.2020; 119(10): 3125.     CrossRef
  • Social Determinants of Health, the Family, and Children’s Personal Hygiene: A Comparative Study
    Antonio Jesús Ramos-Morcillo, Francisco José Moreno-Martínez, Ana María Hernández Susarte, César Hueso-Montoro, María Ruzafa-Martínez
    International Journal of Environmental Research and Public Health.2019; 16(23): 4713.     CrossRef
  • Effect of a health education program on reduction of pediculosis in school girls at Amphoe Muang, Khon Kaen Province, Thailand
    Manachai Yingklang, Chatchawan Sengthong, Ornuma Haonon, Rungtiwa Dangtakot, Porntip Pinlaor, Chulaporn Sota, Somchai Pinlaor, David Joseph Diemert
    PLOS ONE.2018; 13(6): e0198599.     CrossRef
  • Effect of Educational Intervention Based on Protection Motivation Theory on Promoting Pediculosis Preventive Behaviors among Elementary School Girls in Neyshabur
    Masoomeh Jahani eftekhari, Nooshin Peyman
    Journal of Education and Community Health.2018; 5(2): 1.     CrossRef
  • Prevalence of head lice infestation and pediculicidal effect of permethrine shampoo in primary school girls in a low-income area in southeast of Iran
    Moussa Soleimani-Ahmadi, Seyed Aghil Jaberhashemi, Mehdi Zare, Alireza Sanei-Dehkordi
    BMC Dermatology.2017;[Epub]     CrossRef
  • Assessment of the Prevalence of Pediculosis capitis among Primary School Girls in Riyadh, Saudi Arabia
    Wafa A.I. AL-Me
    Research Journal of Environmental Sciences.2015; 9(4): 193.     CrossRef
  • Prevalence of Head Lice Infestation and Its Associated Factors among Primary School Students in Iran: A Systematic Review and Meta-analysis
    Mahmood Moosazadeh, Mahdi Afshari, Hormoz Keianian, Asghar Nezammahalleh, Ahmad Ali Enayati
    Osong Public Health and Research Perspectives.2015; 6(6): 346.     CrossRef
  • Reemerging skin disease caused by arthropods II: louse
    Seobo Sim, Ki-Soo Pai
    Journal of the Korean Medical Association.2011; 54(5): 523.     CrossRef
  • 9,580 View
  • 96 Download
  • Crossref
Discovery of Maritrema jebuensis n. sp. (Digenea: Microphallidae) from the Asian Shore Crab, Hemigrapsus sanguineus, in Korea
Ok-Sik Chung, Hye-Jung Lee, Woon-Mok Sohn, Seung-Ha Lee, Il-Yong Park, Sang-Ah Oh, Jong-Yil Chai, Min Seo
Korean J Parasitol 2010;48(4):335-338.
Published online December 16, 2010
DOI: https://doi.org/10.3347/kjp.2010.48.4.335

Maritrema spp. (Digenea: Microphallidae) are parasites of birds, but have not been found in the Republic of Korea. In this study, metacercariae of Maritrema sp. were discovered in the Asian shore crab, Hemigrapsus sanguineus, caught in the mud-flats of Jebu-do, Hwasung-gun, Gyeonggi-do, and the adult flukes were confirmed by experimental infection into mice. Based on the symmetric ribbon-like vitellarium, adult flukes of Maritrema sp. were identified, but did not belong to previously described species in terms of the following morphologic characteristics: ceca reaching to the lateral wall at the anterior border of the ovary; ventral sucker larger than oral sucker; a prominent metraterm; and vitellarium forming a complete ring. Hence, we named this microphallid M. jebuensis n. sp. after the island where the second intermediate hosts were collected. From this study, it has been shown that Maritrema sp. is distributed in Korea and transmitted by the Asian shore crab, H. sanguineus.

Citations

Citations to this article as recorded by  Crossref logo
  • Molecular characterization of Microphallus sp. (Digenea: Microphallidae) parasitic in freshwater crabs of Manipur, India
    Voleentina Devi Athokpam, Lalit Mohan Goswami, Veena Tandon
    Journal of Parasitic Diseases.2024; 48(3): 570.     CrossRef
  • Maritrema patagonican. sp. (Digenea: Microphallidae) cultured from Metacercariae from Freshwater Anomuran,Aeglaspp. (Decapoda: Aeglidae), in Patagonia
    Carlos A. Rauque, Verónica R. Flores, Norma L. Brugni
    Comparative Parasitology.2013; 80(2): 196.     CrossRef
  • Discovery ofMaritrema obstipum(Digenea: Microphallidae) from Migratory Birds in Korea
    Ok-Sik Chung, Woon-Mok Sohn, Jong-Yil Chai, Min Seo, Hye-Jung Lee
    The Korean Journal of Parasitology.2011; 49(4): 457.     CrossRef
  • Parasites of shore crabs in the genusHemigrapsus(Decapoda: Brachyura: Varunidae) and their status in crabs geographically displaced: a review
    John J. McDermott
    Journal of Natural History.2011; 45(39-40): 2419.     CrossRef
  • 9,528 View
  • 65 Download
  • Crossref
Discovery of Parvatrema duboisi and Parvatrema homoeotecnum (Digenea: Gymnophallidae) from Migratory Birds in Korea
Ok-Sik Chung, Hye-Jung Lee, Woon-Mok Sohn, Yun-Kyu Park, Jong-Yil Chai, Min Seo
Korean J Parasitol 2010;48(3):271-274.
Published online September 16, 2010
DOI: https://doi.org/10.3347/kjp.2010.48.3.271

Adult worms of Parvatrema spp. (Digenea: Gymnophallidae) were found in the intestines of 2 species of migratory birds, i.e., a great knot, Calidris tenuirostris, and 2 Mongolian plovers, Charadrius mongolus, in the coastal area of Gunsan-si, Jeollabuk-do in October 2009. The recovered Parvatrema worms were 79 in total number and composed of 2 species. The worms from a great knot were 289 ?m in length with the oral and ventral sucker ratio of 2 : 1. They had a single vitellarium, and their intrauterine eggs were 25.0 × 17.5 ?m in size. These findings were compatible with P. duboisi (Dollfus, 1923) Bartoli, 1974 (syn. P. timondavidi Bartoli, 1963). The worms recovered from the Mongolian plovers were smaller in length than P. duboisi and had 2 vitellaria. The oral and ventral sucker ratio was 2.5 : 1, and the eggs were 17.5 × 8.8 ?m in size. These worms were assigned to be P. homoeotecnum James, 1964. This is the first report on the natural final hosts of Parvatrema spp. in Korea.

Citations

Citations to this article as recorded by  Crossref logo
  • Parvatrema spp. (Digenea, Gymnophallidae) with parthenogenetic metacercariae: diversity, distribution and host specificity in the palaearctic
    Kirill V. Galaktionov, Anna Gonchar, Daria Postanogova, Aleksei Miroliubov, Semen Yu. Bodrov
    International Journal for Parasitology.2024;[Epub]     CrossRef
  • Parvatrema duboisi (Digenea: Gymnophallidae) Life Cycle Stages in Manila Clams, Ruditapes philippinarum, from Aphae-do (Island), Shinan-gun, Korea
    Bong-Kwang Jung, Taehee Chang, Hyejoo Shin, Seungwan Ryoo, Sooji Hong, Jeonggyu Lee, Hyemi Song, Jaeeun Cho, Deok-Gyu Kim, Hojong Jun, Min-Jae Kim, Eun Jeong Won, Eun-Taek Han, Eun-Hee Shin, Jong-Yil Chai
    The Korean Journal of Parasitology.2021; 59(1): 83.     CrossRef
  • Molecular data reshape our understanding of the life cycles of three digeneans (Monorchiidae and Gymnophallidae) infecting the bivalve, Donax variabilis: it’s just a facultative host!
    Kristina M. Hill-Spanik, Claudia Sams, Vincent A. Connors, Tessa Bricker, Isaure de Buron
    Parasite.2021; 28: 34.     CrossRef
  • Morphological and Molecular Confirmation of Parvatrema duboisi Metacercariae in the Manila Clam Ruditapes philippinarum from Gochang-gun, Korea
    Taehee Chang, Bong-Kwang Jung, Hyejoo Shin, Sooji Hong, Jeonggyu Lee, Deok-Gyu Kim, Laddawan Patarwut, Woon-Mok Sohn, Jong-Yil Chai
    The Korean Journal of Parasitology.2020; 58(1): 87.     CrossRef
  • Infections with Digenetic Trematode Metacercariae in Freshwater Fishes from Two Visiting Sites of Migratory Birds in Gyeongsangnam-do, Republic of Korea
    Woon-Mok Sohn, Byoung-Kuk Na
    The Korean Journal of Parasitology.2019; 57(3): 273.     CrossRef
  • Fossils of parasites: what can the fossil record tell us about the evolution of parasitism?
    Tommy L. F. Leung
    Biological Reviews.2017; 92(1): 410.     CrossRef
  • New Record of Schistorophus cirripedesmi (Nematoda: Acuariidae) from a Bar-Tailed Godwit, Limosa lapponica baueri (Charadriformes: Scolopacidae) in Korea
    Seongjun Choe, Hyun Kim, Junsik Lim, Dongmin Lee, Hansol Park, Hyeong-Kyu Jeon, Heejong Kim, Youngjun Kim, Keeseon S. Eom
    The Korean Journal of Parasitology.2016; 54(3): 349.     CrossRef
  • Seasonality and host–parasite interrelationship of Mytilus galloprovincialis parasites in Turkish Black Sea coasts
    Ahmet Özer, Sevilay Güneydağ
    Journal of the Marine Biological Association of the United Kingdom.2015; 95(8): 1591.     CrossRef
  • First report of Urosporidium sp., a haplosporidian hyperparasite infecting digenean trematode Parvatrema duboisi in Manila clam, Ruditapes philippinarum on the west coast of Korea
    Thanh Cuong Le, Hyun-Sil Kang, Hyun-Ki Hong, Kwang-Jae Park, Kwang-Sik Choi
    Journal of Invertebrate Pathology.2015; 130: 141.     CrossRef
  • Discovery ofMaritrema obstipum(Digenea: Microphallidae) from Migratory Birds in Korea
    Ok-Sik Chung, Woon-Mok Sohn, Jong-Yil Chai, Min Seo, Hye-Jung Lee
    The Korean Journal of Parasitology.2011; 49(4): 457.     CrossRef
  • 9,201 View
  • 78 Download
  • Crossref

Original Article

Extraintestinal Migration of Centrorhynchus sp. (Acanthocephala: Centrorhynchidae) in Experimentally Infected Rats
Chang-Jin Choi, Hye-Jung Lee, Jai-Hyang Go, Yun-Kyu Park, Jong-Yil Chai, Min Seo
Korean J Parasitol 2010;48(2):139-143.
Published online June 17, 2010
DOI: https://doi.org/10.3347/kjp.2010.48.2.139

Reptiles were known to serve as paratenic hosts for Centrorhynchus (Acanthocephala: Centrorhynchidae) in Korea, but the infection course in experimental animals was not elucidated yet. In this study, the tiger keelback snakes (Rhabdophis tigrinus) were collected and digested with artificial pepsin solution, and the larvae of Centrorhynchus were recovered from them. Then, the collected larvae were orally infected to rats for developmental observations. In rats, all the larvae were observed outside the intestine on day 3 post-infection (PI), including the mesentery and abdominal muscles. As for the development in rats, the ovary of Centrorhynchus sp. was observed at day 15 PI, and the cement glands were 3 in number. Based on the morphological characteristics, including the arrangement of proboscis hooks, these larvae proved to be a species of Centrorhynchus, and more studies were needed for species identification.

Citations

Citations to this article as recorded by  Crossref logo
  • Ectoparasites and Endoparasites of the Clark’s Lizard, Darevskia clarkorum (Squamata, Lacertidae), Collected from Different Provinces of the Black Sea Region of Türkiye
    Y. CIVIL, H. S. YILDIRIMHAN, A. M. REDHWAN, U. BÜLBÜL, S. SARIKURT, A. A. HASSAN
    Helminthologia.2026; 63(1): 21.     CrossRef
  • Morphological variety and mechanisms of formation of acanthocephalan cysts in intermediate host
    V.P. Nikishin, T.V. Davydenko, E.M. Skorobrekhova
    Journal of Helminthology.2025;[Epub]     CrossRef
  • Helminth Fauna of Anatolian Rock Lizard Anatololacerta anatolica (Werner, 1902) from Western Anatolia, Türkiye
    E. B. Hastürk, S. Birlik, Ç. Ilgaz, A. G. Korkmaz, K. Candan, E. Yıldırım Caynak, Y. Kumlutaş
    Biology Bulletin.2025;[Epub]     CrossRef
  • Helminth Parasites of European Glass Lizard, Pseudopus apodus (Pallas, 1775) (Squamata: Anguidae), Collected from Northern Turkey
    Serdar Düşen, Sibel Hayretdağ, Yunus Emre Dinçaslan, Cemal Varol Tok
    Biology Bulletin.2025;[Epub]     CrossRef
  • Helminths of reptiles from Southern Uzbekistan
    E. B. Shakarboev, S. N. Turgunov, U. J. Тоshоv, A. S. Berdibaev, O. A. Abduganiyev, I. I. Pirnazarov
    Biosystems Diversity.2025; 33(4): e2557.     CrossRef
  • Pathological and incidental findings in anurans from Ceará, northeastern Brazil
    Roberta da Rocha Braga, Deborah Praciano de Castro, Daniel Cassiano Lima, Cícero Ricardo de Oliveira, Robson Waldemar Ávila
    Ciência Animal Brasileira.2024;[Epub]     CrossRef
  • Achados patológicos e incidentais em anuros do Ceará, nordeste brasileiro
    Roberta da Rocha Braga, Deborah Praciano de Castro, Daniel Cassiano Lima, Cícero Ricardo de Oliveira, Robson Waldemar Ávila
    Ciência Animal Brasileira.2024;[Epub]     CrossRef
  • First report of acanthocephalan parasite in wild-caught Asian vine snake (Ahaetulla prasina) in Indonesia
    Aditya Yudhana, Ratih Novita Praja, Ryanka Edila
    Veterinary World.2023; : 317.     CrossRef
  • Identification of antiparasitic drug targets using a multi-omics workflow in the acanthocephalan model
    Hanno Schmidt, Katharina Mauer, Manuel Glaser, Bahram Sayyaf Dezfuli, Sören Lukas Hellmann, Ana Lúcia Silva Gomes, Falk Butter, Rebecca C. Wade, Thomas Hankeln, Holger Herlyn
    BMC Genomics.2022;[Epub]     CrossRef
  • Histopathology of lesions caused byPseudocorynosoma constrictum(Acanthocephala: Polymorphidae) in the ileum of blue-winged teal
    C. Caballero-Viñas, P. Sánchez-Nava
    Journal of Helminthology.2020;[Epub]     CrossRef
  • The genome, transcriptome, and proteome of the fish parasite Pomphorhynchus laevis (Acanthocephala)
    Katharina Mauer, Sören Lukas Hellmann, Marco Groth, Andreas C. Fröbius, Hans Zischler, Thomas Hankeln, Holger Herlyn, Zhong-Hua Chen
    PLOS ONE.2020; 15(6): e0232973.     CrossRef
  • Evolutionary anatomy of the muscular apparatus involved in the anchoring of Acanthocephala to the intestinal wall of their vertebrate hosts
    Holger Herlyn, Horst Taraschewski
    Parasitology Research.2017; 116(4): 1207.     CrossRef
  • Organization and evolution of the proboscis musculature in avian parasites of the genus Apororhynchus (Acanthocephala: Apororhynchida)
    Holger Herlyn
    Parasitology Research.2017; 116(7): 1801.     CrossRef
  • The helminth fauna of Apathya cappadocica (Werner, 1902) (Anatolian Lizard) (Squamata: Lacertidae) from Turkey
    S. Birlik, H. S. Yildirimhan, N. Sümer, Ç. Ilgaz, Kumlutaş, Ö. Güçlü, S. H. Durmuş
    Helminthologia.2015; 52(4): 310.     CrossRef
  • 16,004 View
  • 100 Download
  • Crossref

Case Report

A Nasal Myiasis in a 76-Year-Old Female in Korea
Jae-Soo Kim, Pil-Won Seo, Jong-Wan Kim, Jai-Hyang Go, Soon-Cheol Jang, Hye-Jung Lee, Min Seo
Korean J Parasitol 2009;47(4):405-407.
Published online December 2, 2009
DOI: https://doi.org/10.3347/kjp.2009.47.4.405

On July 2009, 5 fly larvae were discovered inside the nose of a 76-year-old female. She was living in Cheonan-si, and in a state of coma due to rupture of an aortic aneurysm. Surgery was performed on the day of admission, and the larvae were found 4 days later. By observing their posterior spiracle, the larvae were identified as Lucilia sericata. Considering the rapid development of this species, the infection was likely acquired during hospitalization. Further investigation on the hospital environment should be needed to know the origin of the infection.

Citations

Citations to this article as recorded by  Crossref logo
  • Myiasis Associated with Frostbite-Induced Tissue Necrosis: A Case Report Highlighting Diagnostic Consideration during Postmortem Inspection
    Tae Mo Kang, Kyungmin Lee, Wooyoung Jang, Geom Su Park, Young Cho, Kwang Soo Ko, Jinhyuk Choi, Seong Hwan Park
    Korean Journal of Legal Medicine.2026; 50(1): 26.     CrossRef
  • Imported parasitic diseases in the Republic of Korea: status and issues
    Jong-Yil Chai
    Journal of the Korean Medical Association.2025; 68(1): 52.     CrossRef
  • Oral and Paranasal Myiasis: Two Case Reports
    Koray Keskin
    SN Comprehensive Clinical Medicine.2025;[Epub]     CrossRef
  • Nasal Myiasis in an Immunocompetent Child With Cerebral Palsy: A Case Report
    Mohamed Bouallou, Mohammed Amine Rabhi, Achraf Sbai, Drissia Benfadil, Azzedine Lachkar, Fahd El Ayoubi
    Cureus.2025;[Epub]     CrossRef
  • A case report on use of ivermectin as nasal drop in a case of nasal myiasis
    Sudhakar Vaidya, Vartika Paliwal
    IP Journal of Otorhinolaryngology and Allied Science.2024; 7(1): 12.     CrossRef
  • Myiasis of wounds caused by Lucilia sericata: first report in Tunisia and literature review
    Mtibaa Latifa, Boufares Siwar, Baccouchi Nawel, Rebai Aicha, Hannechi Souha, Abid Rym, Battikh Riadh, Labbene Iheb, Jemli Boutheina
    MOJ Clinical & Medical Case Reports.2021; 11(6): 146.     CrossRef
  • Insecticidal Activity of Hyoscyamus niger L. on Lucilia sericata Causing Myiasis
    Esra Küpeli Akkol, Mert Ilhan, Esma Kozan, Fatma Tuğçe Gürağaç Dereli, Mustafa Sak, Eduardo Sobarzo-Sánchez
    Plants.2020; 9(5): 655.     CrossRef
  • Report of a rare case of severe allergic reaction due to nasal myiasis and a brief review of the literature in Turkey
    Ali Kemal Erenler, Ahu Pınar Turan, Özlem Oymak Ay, Ayşegül Taylan Özkan
    SAGE Open Medical Case Reports.2019;[Epub]     CrossRef
  • Treatment of nasal myiasis with ivermectin irrigation
    Sze Yen Tay, Barathy Rani Ramasamy, Donald Ashley Watson, Manuel Montoya
    BMJ Case Reports.2018; 2018: bcr-2017-224142.     CrossRef
  • Canine Wound Myiasis Caused by Lucilia sericata (Diptera: Calliphoridae) in Korea
    Seongjun Choe, Dongmin Lee, Hansol Park, Hyeong-Kyu Jeon, Hakhyun Kim, Ji-Houn Kang, Cha-Ho Jee, Keeseon S. Eom
    The Korean Journal of Parasitology.2016; 54(5): 667.     CrossRef
  • Incidence of myiasis among humans—a review
    Amandeep Singh, Zorawar Singh
    Parasitology Research.2015; 114(9): 3183.     CrossRef
  • A Case of Endoscopic Removal of Nasal Myiasis in Cerebral Infarction Patient
    Jung-Uk Han, Sang Hyok Suk, Jun Sick Im, Bo Young Kim
    Journal of Rhinology.2015; 22(1): 51.     CrossRef
  • A Case of Nosocomial Nasal Myiasis in Comatose Patient
    Sung Jae Heo, Mi Jin Lee, Chang Mook Park, Jung Soo Kim
    Korean Journal of Otorhinolaryngology-Head and Neck Surgery.2013; 56(10): 664.     CrossRef
  • A Case of Oral Myiasis Caused by Lucilia sericata (Diptera: Calliphoridae) in Korea
    Mun Jang, Seung-Min Ryu, Sang-Chang Kwon, Jun-Ouk Ha, Young-Hoon Kim, Dong-Hyun Kim, Soon-Myung Jung, Soon-Il Lee, Woon-Mok Sohn, Hee-Jae Cha, Meesun Ock
    The Korean Journal of Parasitology.2013; 51(1): 119.     CrossRef
  • Life-threatening endobronchial myiasis
    Jérôme Cecchini, Nicolas de Prost, Armand Mekontso-Dessap, Françoise Foulet, Caroline Jannière-Nartey, Christian Brun-Buisson, Bernard Maître
    Intensive Care Medicine.2012; 38(10): 1727.     CrossRef
  • La biologie des insectes nécrophages et leur utilisation pour dater le décès en entomologie médico-légale
    Damien Charabidze
    Annales de la Société entomologique de France (N.S.).2012; 48(3-4): 239.     CrossRef
  • Myiasis
    Fabio Francesconi, Omar Lupi
    Clinical Microbiology Reviews.2012; 25(1): 79.     CrossRef
  • Ophthalmomyiasis Caused by aPhormiasp. (Diptera: Calliphoridae) Larva in an Enucleated Patient
    Jae-Soo Kim, Jong-Wan Kim, Hye-Jung Lee, In-Yong Lee, Sang-Ah Oh, Min Seo
    The Korean Journal of Parasitology.2011; 49(2): 173.     CrossRef
  • Orofacial Myiasis of the Gingiva and Nasal Cavity: A Report of Two Cases and General Review
    Jaya Kumar Avula, Haritha Avula, Nupur Arora, Udaya Kumar Manchukonda, Nalla VivekaVardhan Reddy
    Journal of Periodontology.2011; 82(9): 1383.     CrossRef
  • 12,179 View
  • 79 Download
  • Crossref

Original Articles

Microphallus koreana n. sp. (Trematoda: Microphallidae) Transmitted by a Marine Crab, Macrophthalmus dilatatus
Sang-Mee Guk, Jong-Yil Chai, Woon-Mok Sohn, You-Me Kim, Seobo Sim, Min Seo
Korean J Parasitol 2008;46(3):165-169.
Published online September 20, 2008
DOI: https://doi.org/10.3347/kjp.2008.46.3.165

Microphallus species occur primarily as intestinal parasites of birds and mammals, and metacercariae of a new species belonging to this genus have been discovered from the crab, Macrophthalmus dilatatus, in the Republic of Korea. The metacercaria of this fluke was round with 2 thick walls, and the excysted one had mature genital organs. The adult flukes recovered from experimentally infected chicks had numerous intrauterine eggs, well-developed pars prostatica, widely bifurcating ceca, and prominent uterine bulge. After observing internal structures, it was concluded that this species is different from any other known Microphallus spp. Based on the morphology of metacercariae and adult flukes, we describe this specimen as a new species, Microphallus koreana n. sp.

Citations

Citations to this article as recorded by  Crossref logo
  • Molecular characterization of Microphallus sp. (Digenea: Microphallidae) parasitic in freshwater crabs of Manipur, India
    Voleentina Devi Athokpam, Lalit Mohan Goswami, Veena Tandon
    Journal of Parasitic Diseases.2024; 48(3): 570.     CrossRef
  • Parasites differentially impact crayfish personality in different contexts
    Rebecca Noel MacKay, Paul A. Moore
    Behaviour.2021; 158(10): 921.     CrossRef
  • A preliminary study on some larval trematodes parasites of marine snail Cerithidea cingulata (Gmelin, 1791) in Al- faw Bay, South of Iraq

    International Journal of Biosciences (IJB).2020; : 464.     CrossRef
  • Infections with Digenetic Trematode Metacercariae in Freshwater Fishes from Two Visiting Sites of Migratory Birds in Gyeongsangnam-do, Republic of Korea
    Woon-Mok Sohn, Byoung-Kuk Na
    The Korean Journal of Parasitology.2019; 57(3): 273.     CrossRef
  • A preliminary study on some larval trematodes parasites of marine snail Cerithidea cingulata (Gmelin, 1791) in Al-Faw Bay, South of Iraq

    International Journal of Biosciences (IJB).2019; : 378.     CrossRef
  • Morphology and histology of the adultParamphistomum gracileFischoeder, 1901
    Busaba Panyarachun, Arin Ngamniyom, Prasert Sobhon, Panat Anuracpreeda
    Journal of Veterinary Science.2013; 14(4): 425.     CrossRef
  • Discovery ofMaritrema obstipum(Digenea: Microphallidae) from Migratory Birds in Korea
    Ok-Sik Chung, Woon-Mok Sohn, Jong-Yil Chai, Min Seo, Hye-Jung Lee
    The Korean Journal of Parasitology.2011; 49(4): 457.     CrossRef
  • Surveys of Gynaecotyla squatarolae and Microphallus koreana (Digenea: Microphallidae) Metacercariae in Two Species of Estuarine Crabs in Western Coastal Areas, Korea
    Hye Jung Lee, Jong-Yil Chai, Jin-Woo Lee, Ho Jin, Kwan-Hong Min, Yong-Jun Cho, Min Seo
    The Korean Journal of Parasitology.2010; 48(1): 81.     CrossRef
  • Discovery ofMaritrema jebuensisn. sp. (Digenea: Microphallidae) from the Asian Shore Crab,Hemigrapsus sanguineus, in Korea
    Ok-Sik Chung, Hye-Jung Lee, Woon-Mok Sohn, Seung-Ha Lee, Il-Yong Park, Sang-Ah Oh, Jong-Yil Chai, Min Seo
    The Korean Journal of Parasitology.2010; 48(4): 335.     CrossRef
  • 12,508 View
  • 146 Download
  • Crossref
Tegumental Ultrastructure of Adult Gynaecotyla squatarolae (Digenea: Microphallidae)
Do-Seon Lim, Ki-Ju Choi, Sang-Mee Guk, Jong-Yil Chai, Il-Yong Park, Yun-Kyu Park, Min Seo
Korean J Parasitol 2008;46(2):87-90.
Published online June 20, 2008
DOI: https://doi.org/10.3347/kjp.2008.46.2.87

Gynaecotyla squatarolae (Digenea: Microphallidae) adult flukes were recovered from experimental chicks at day 4-6 post-infection and their tegumental ultrastructure was observed with a scanning electron microscopy. They were pyriform in shape, and their anterior halves were concaved ventrally. The whole body surface was covered with tegumental spines, which were wide and 16-17 digitated between oral and ventral suckers. The density of spines and number of digits decreased posteriorly. The oral sucker was subterminal and the excretory pore was at the posterior end of the worm. Two ventral suckers were similar in appearance and protruded near midline of the worm. The genital atrium was dextral to the small ventral sucker. The dorsal surface was covered with tegumental spines, but the spines were sparser than on the ventral surface. On the middle portion of the dorsal surface, a small opening presumed to be the Laurer's canal was seen. From these findings, it has been confirmed that the adult G. squatarolae has unique characteristics in the surface ultrastructure.

Citations

Citations to this article as recorded by  Crossref logo
  • Two new species of Parspina Pearse, 1920 (Digenea: Cryptogonimidae) from freshwater fishes (Gymnotiformes) of the Paraná River basin in Argentina
    Margarita C. Ostrowski de Núñez, Nathalia J. Arredondo, Alicia A. Gil de Pertierra
    Systematic Parasitology.2011; 80(1): 67.     CrossRef
  • Ultrastructural features of the tegumental surface of a new metacercaria, Nematostrigea sp. (Trematoda: Strigeidae), with a search for potential taxonomically informative characters
    Larisa G. Poddubnaya, Elena Mishina, Alexander E. Zhokhov, David I. Gibson
    Systematic Parasitology.2010; 75(1): 59.     CrossRef
  • 8,519 View
  • 70 Download
  • Crossref
Holostephanus metorchis (Digenea: Cyathocotylidae) from Chicks Experimentally Infected with Metacercariae from a Fish, Pseudorasbora parva, in the Republic of Korea
Min Seo, Sang-Mee Guk, Jong-Yil Chai, Seobo Sim, Woon-Mok Sohn
Korean J Parasitol 2008;46(2):83-86.
Published online June 20, 2008
DOI: https://doi.org/10.3347/kjp.2008.46.2.83

Holostephanus metorchis(Digenea: Cyathocotylidae) is a parasite of birds, transmitted by freshwater fishes. H. metorchis adults were recovered from chicks experimentally infected with metacercariae collected from freshwater fishes, Pseudorasbora parva. The metacercariae were oval, surrounded with thick fibrous capsules. In adult flukes, the holdfast organ occupied the ventral concavity, and the anterior testis did not reach the level of the ventral sucker. Based on these morphological characteristics, these flukes were identified as H. metorchis.

Citations

Citations to this article as recorded by  Crossref logo
  • Identification and prevalence investigation of cyathocotylid trematode (Trematoda: Digenea: Cyathocotylidae) in Carassius auratus in Wuhu, China
    Feng Jiang, Wanyu Zhang, Yang Pan, Xudong Yu, Jiacheng Cao, Ningning Du, Mengyi Zhu, Shengli Gu, Xiaodong Zhan
    Veterinary Research Communications.2023; 47(3): 1185.     CrossRef
  • Digenean Holostephanus (Trematoda: Digenea: Cyathocotylidae) metacercariae in common carp (Cyprinus carpio Linnaeus, 1758) muscle: zoonotic potential and sensitivity to physico-chemical treatments
    D. Sándor, M. Gyöngy, K. Nyeste, I. Czeglédi, C. Székely, K. Buchmann, G. Cech
    Journal of Helminthology.2020;[Epub]     CrossRef
  • Infections of Digenetic Trematode Metacercariae in Wrestling Halfbeak, Dermogenys pusilla from Bangkok Metropolitan Region in Thailand
    Laddawan Patarwut, Thapana Chontananarth, Jong-Yil Chai, Watchariya Purivirojkul
    The Korean Journal of Parasitology.2020; 58(1): 27.     CrossRef
  • Pan‐continental invasion ofPseudorasbora parva: towards a better understanding of freshwater fish invasions
    Rodolphe E Gozlan, Demetra Andreou, Takashi Asaeda, Kathleen Beyer, Rachid Bouhadad, Dean Burnard, Nuno Caiola, Predrag Cakic, Vesna Djikanovic, Hamid R Esmaeili, Istvan Falka, Duncan Golicher, Akos Harka, Galina Jeney, Vladimír Kováč, Jiří Musil, Annamar
    Fish and Fisheries.2010; 11(4): 315.     CrossRef
  • 10,526 View
  • 87 Download
  • Crossref
Antibody Responses to Cryptosporidium Antigen in HIV-positive Patients in the Republic of Korea
Sang-Mee Guk, Jong-Yil Chai, Yung-Oh Shin, Min Seo
Korean J Parasitol 2008;46(2):71-75.
Published online June 20, 2008
DOI: https://doi.org/10.3347/kjp.2008.46.2.71

The diagnosis of cryptosporidiosis has been carried out using coprologic techniques in the Republic of Korea. However, antibody responses to Cryptosporidium have rarely been studied. Serum antibodies from HIV-positive/oocyst-positive Korean patients recognized significantly 31 and 27 kDa antigens, and HIV-negative/oocyst-positive individuals clearly reacted to 15/17 kDa antigens. Compared with oocyst-positive cases, 18.7% and 75.8% of sera from HIV-positive patients reacted to 31 and 27 kDa antigens. Only 11.1% of HIV-negative individuals reacted to 15/17 kDa. Based on these findings, serum antibody responses were different between HIV-positive and HIV-negative individuals infected with Cryptosporidium, and it is suggested that HIV-positive patients are more frequently exposed to C. parvum compared to HIV-negative individuals.

Citations

Citations to this article as recorded by  Crossref logo
  • Review of Successful Control of Parasitic Infections in Korea
    Sung-Tae Hong, Tai-Soon Yong
    Infection & Chemotherapy.2020; 52(3): 427.     CrossRef
  • Systemic Antibody Responses to the Immunodominant p23 Antigen and p23 Polymorphisms in Children with Cryptosporidiosis in Bangladesh
    Edward T. Ryan, Elena Naumova, Mohammad M. Karim, Anoli J. Borad, Sitara Swarna Rao Ajjampur, Honorine D. Ward, Gagandeep Kang, Joy Moy, Geneve M. Allison, Stephen B. Calderwood, Sabeena Ahmed, Patricia L. Hibberd, Anne V. Kane, Wasif A. Khan, David Wang
    The American Journal of Tropical Medicine and Hygiene.2012; 86(2): 214.     CrossRef
  • 8,063 View
  • 82 Download
  • Crossref

Brief Communication

The Ruddy Turnstone, Arenaria interpres interpres, a New Definitive Host for Gynaecotyla squatarolae (Digenea: Microphallidae)
Min Seo, Sang-Mee Guk, Jong-Yil Chai
Korean J Parasitol 2008;46(1):41-43.
Published online March 20, 2008
DOI: https://doi.org/10.3347/kjp.2008.46.1.41

The ruddy turnstone, Arenaria interpres interpres, a migratory Korean bird, was proved to be a natural definitive host for Gynaecotyla squatarolae (Digenea: Microphallidae). The ruddy turnstone was found dead at the seashore of Okgu-eup, Gunsan-si, Jeollabuk-do. The intestinal tract was examined, and 98 unknown flukes were recovered. The worms were 600 × 284 ?m in size, and had 2 ventral suckers. The seminal vesicle was large, the genital atrium was prominent, and the average egg size was 20 × 12.5 ?m. Based on these results, the worms were identified as G. squatarolae. This is the first report on the ruddy turnstone as a natural definitive host of G. squatarolae in the Republic of Korea.

Citations

Citations to this article as recorded by  Crossref logo
  • A preliminary study on some larval trematodes parasites of marine snail Cerithidea cingulata (Gmelin, 1791) in Al- faw Bay, South of Iraq

    International Journal of Biosciences (IJB).2020; : 464.     CrossRef
  • Infections with Digenetic Trematode Metacercariae in Freshwater Fishes from Two Visiting Sites of Migratory Birds in Gyeongsangnam-do, Republic of Korea
    Woon-Mok Sohn, Byoung-Kuk Na
    The Korean Journal of Parasitology.2019; 57(3): 273.     CrossRef
  • A preliminary study on some larval trematodes parasites of marine snail Cerithidea cingulata (Gmelin, 1791) in Al-Faw Bay, South of Iraq

    International Journal of Biosciences (IJB).2019; : 378.     CrossRef
  • New Record of Schistorophus cirripedesmi (Nematoda: Acuariidae) from a Bar-Tailed Godwit, Limosa lapponica baueri (Charadriformes: Scolopacidae) in Korea
    Seongjun Choe, Hyun Kim, Junsik Lim, Dongmin Lee, Hansol Park, Hyeong-Kyu Jeon, Heejong Kim, Youngjun Kim, Keeseon S. Eom
    The Korean Journal of Parasitology.2016; 54(3): 349.     CrossRef
  • Recovery of Oswaldotrema nacinovici from Whimbrels (Aves) in Korea
    Young-Il Lee, Ok-Sik Chung, Min Seo
    The Korean Journal of Parasitology.2016; 54(6): 809.     CrossRef
  • Discovery of Endocotyle incana and Spelotrema pseudogonotyla (Digenea: Microphallidae) from Scolopacid Migratory Birds in Korea
    Ho-Jin Yoo, Ok-Sik Chung, Min Seo
    The Korean Journal of Parasitology.2012; 50(3): 273.     CrossRef
  • Discovery ofMaritrema obstipum(Digenea: Microphallidae) from Migratory Birds in Korea
    Ok-Sik Chung, Woon-Mok Sohn, Jong-Yil Chai, Min Seo, Hye-Jung Lee
    The Korean Journal of Parasitology.2011; 49(4): 457.     CrossRef
  • First report of human infection with Gynaecotyla squatarolae and first Korean record of Haplorchis pumilio in a patient
    Ok-Sik Chung, Hye-Jung Lee, Yoo-Me Kim, Woon-Mok Sohn, Sahng-June Kwak, Min Seo
    Parasitology International.2011; 60(2): 227.     CrossRef
  • Surveys of Gynaecotyla squatarolae and Microphallus koreana (Digenea: Microphallidae) Metacercariae in Two Species of Estuarine Crabs in Western Coastal Areas, Korea
    Hye Jung Lee, Jong-Yil Chai, Jin-Woo Lee, Ho Jin, Kwan-Hong Min, Yong-Jun Cho, Min Seo
    The Korean Journal of Parasitology.2010; 48(1): 81.     CrossRef
  • Molecular identification of Probolocoryphe uca (Sarkisian, 1957; Digenea: Microphallidae) from Kuwait Bay using ITS1 and ITS2 sequences
    Wafa Y. Al-Kandari, Suzanne A. Al-Bustan
    Parasitology Research.2010; 106(5): 1189.     CrossRef
  • Tegumental Ultrastructure of Adult Gynaecotyla squatarolae (Digenea: Microphallidae)
    Do-Seon Lim, Ki-Ju Choi, Sang-Mee Guk, Jong-Yil Chai, Il-Yong Park, Yun-Kyu Park, Min Seo
    The Korean Journal of Parasitology.2008; 46(2): 87.     CrossRef
  • 8,641 View
  • 63 Download
  • Crossref
Original Article
Gynaecotyla squatarolae (Digenea: Microphallidae) from rats experimentally infected with metacercariae from the shore crab, Macrophthalmus dilatatus
Min Seo, Sang-Mee Guk, Seung-Ha Lee, Jong-Yil Chai
Korean J Parasitol 2007;45(3):199-204.
Published online September 20, 2007
DOI: https://doi.org/10.3347/kjp.2007.45.3.199

Metacercariae of Gynaecotyla squatarolae (Digenea: Microphallidae) were discovered from the shore crab, Macrophthalmus dilatatus, purchased at a market in a coastal town of Taean-Eup, Chungcheongnam-do, Republic of Korea. Their adult flukes were confirmed by experimental infection of rats. The metacercariae of G. squatarolae were elliptical (391.1 x 362.5 ?m), and the excysted metacercariae had progenetic genital organs, including the ovary and testes. To obtain adult flukes, 6 Sprague-Dawley rats were fed 500 metacercariae each, and killed at days 2, 4, and 6 post-infection. The adult flukes were identified as G. squatarolae (Yamaguti, 1934) Yamaguti, 1939, based on morphological characters, including 2 ventral suckers (1 large and 1 small), a large genital atrium equipped with the cirrus and the metraterm, separated male and female genital pores, a transversely long cirrus pouch, and extensive vitelline follicles. In the present study, it has been first proven that the shore crab M. dilatatus is a second intermediate host for G. squatarolae in the Republic of Korea.

Citations

Citations to this article as recorded by  Crossref logo
  • Foodborne intestinal flukes: A brief review of epidemiology and geographical distribution
    Jong-Yil Chai, Bong-Kwang Jung
    Acta Tropica.2020; 201: 105210.     CrossRef
  • A preliminary study on some larval trematodes parasites of marine snail Cerithidea cingulata (Gmelin, 1791) in Al- faw Bay, South of Iraq

    International Journal of Biosciences (IJB).2020; : 464.     CrossRef
  • A preliminary study on some larval trematodes parasites of marine snail Cerithidea cingulata (Gmelin, 1791) in Al-Faw Bay, South of Iraq

    International Journal of Biosciences (IJB).2019; : 378.     CrossRef
  • Discovery ofMaritrema obstipum(Digenea: Microphallidae) from Migratory Birds in Korea
    Ok-Sik Chung, Woon-Mok Sohn, Jong-Yil Chai, Min Seo, Hye-Jung Lee
    The Korean Journal of Parasitology.2011; 49(4): 457.     CrossRef
  • First report of human infection with Gynaecotyla squatarolae and first Korean record of Haplorchis pumilio in a patient
    Ok-Sik Chung, Hye-Jung Lee, Yoo-Me Kim, Woon-Mok Sohn, Sahng-June Kwak, Min Seo
    Parasitology International.2011; 60(2): 227.     CrossRef
  • Discovery ofMaritrema jebuensisn. sp. (Digenea: Microphallidae) from the Asian Shore Crab,Hemigrapsus sanguineus, in Korea
    Ok-Sik Chung, Hye-Jung Lee, Woon-Mok Sohn, Seung-Ha Lee, Il-Yong Park, Sang-Ah Oh, Jong-Yil Chai, Min Seo
    The Korean Journal of Parasitology.2010; 48(4): 335.     CrossRef
  • Molecular identification of Probolocoryphe uca (Sarkisian, 1957; Digenea: Microphallidae) from Kuwait Bay using ITS1 and ITS2 sequences
    Wafa Y. Al-Kandari, Suzanne A. Al-Bustan
    Parasitology Research.2010; 106(5): 1189.     CrossRef
  • Surveys of Gynaecotyla squatarolae and Microphallus koreana (Digenea: Microphallidae) Metacercariae in Two Species of Estuarine Crabs in Western Coastal Areas, Korea
    Hye Jung Lee, Jong-Yil Chai, Jin-Woo Lee, Ho Jin, Kwan-Hong Min, Yong-Jun Cho, Min Seo
    The Korean Journal of Parasitology.2010; 48(1): 81.     CrossRef
  • Tegumental Ultrastructure of Adult Gynaecotyla squatarolae (Digenea: Microphallidae)
    Do-Seon Lim, Ki-Ju Choi, Sang-Mee Guk, Jong-Yil Chai, Il-Yong Park, Yun-Kyu Park, Min Seo
    The Korean Journal of Parasitology.2008; 46(2): 87.     CrossRef
  • The Ruddy Turnstone, Arenaria interpres interpres, a New Definitive Host for Gynaecotyla squatarolae (Digenea: Microphallidae)
    Min Seo, Sang-Mee Guk, Jong-Yil Chai
    The Korean Journal of Parasitology.2008; 46(1): 41.     CrossRef
  • 8,586 View
  • 78 Download
  • Crossref