Warning: fopen(/home/virtual/parasitol/journal/upload/ip_log/ip_log_2025-12.txt): failed to open stream: Permission denied in /home/virtual/lib/view_data.php on line 83

Warning: fwrite() expects parameter 1 to be resource, boolean given in /home/virtual/lib/view_data.php on line 84
Enterobius vermicularis Infection among Preschool Children: A 12-Year (2008-2019) Survey in Large Cities and Provinces of the Republic of Korea
Skip to main navigation Skip to main content
  • KSPTM
  • E-Submission

PHD : Parasites, Hosts and Diseases

OPEN ACCESS
ABOUT
BROWSE ARTICLES
FOR CONTRIBUTORS

Articles

Brief Communication

Enterobius vermicularis Infection among Preschool Children: A 12-Year (2008-2019) Survey in Large Cities and Provinces of the Republic of Korea

The Korean Journal of Parasitology 2021;59(4):421-426.
Published online: August 18, 2021

1Institute of Parasitic Diseases, Seoul 07649, Korea

2Head Office, Korea Association of Health Promotion (KAHP), Seoul 07649, Korea

3Department of Tropical Medicine and Parasitology, Seoul National University College of Medicine, Seoul 03080, Korea

*Corresponding author (cjy@snu.ac.kr)

These authors contributed equally to this article.

• Received: August 2, 2021   • Revised: August 3, 2021   • Accepted: August 3, 2021

© 2021, Korean Society for Parasitology and Tropical Medicine

This is an Open Access article distributed under the terms of the Creative Commons Attribution Non-Commercial License (https://creativecommons.org/licenses/by-nc/4.0) which permits unrestricted non-commercial use, distribution, and reproduction in any medium, provided the original work is properly cited.

  • 9,527 Views
  • 124 Download
  • 5 Web of Science
  • 9 Crossref
  • 4 Scopus
prev next
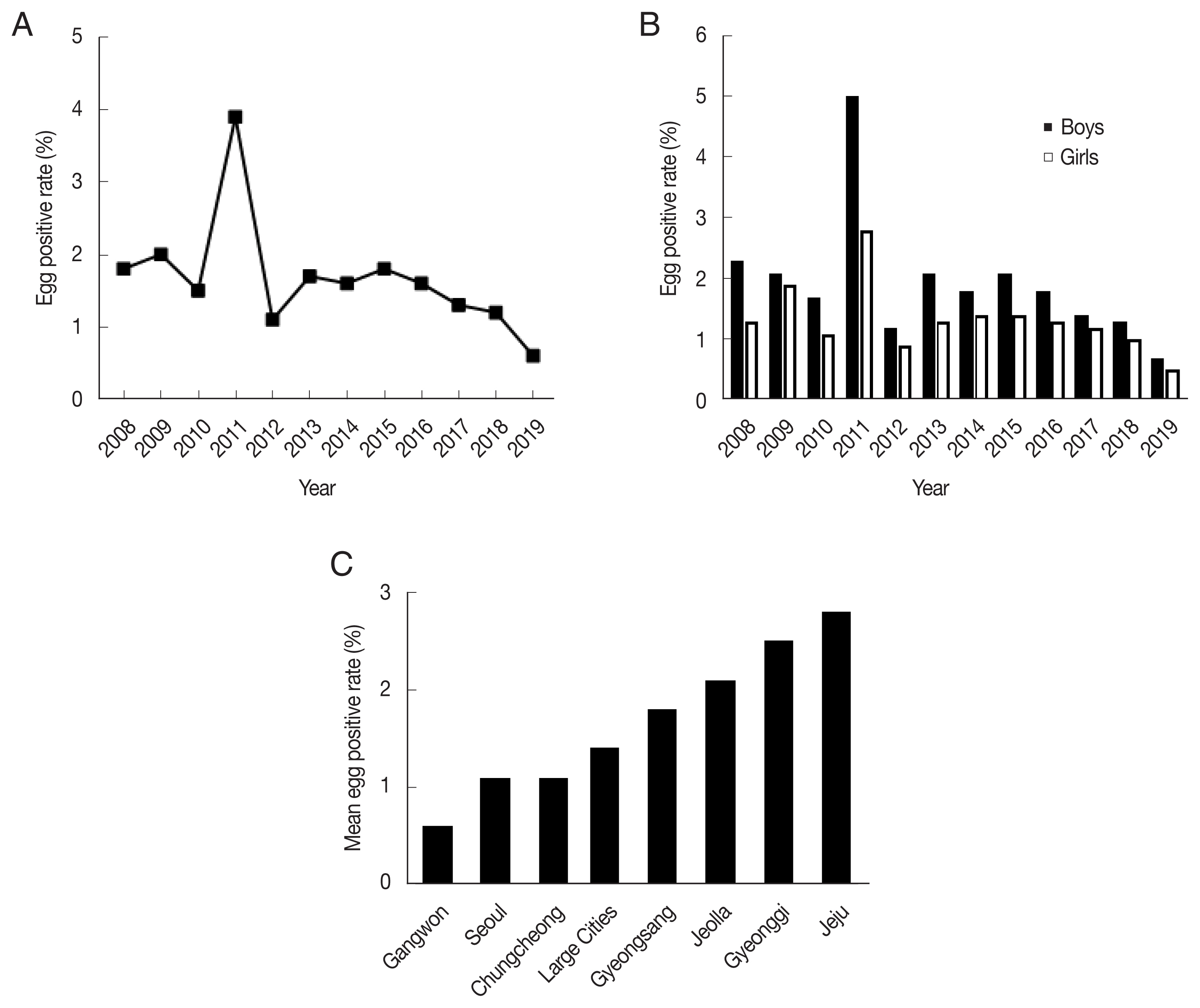
  • A 12-year nationwide survey (2008–2019) was performed to investigate the prevalence of Enterobius vermicularis infection among preschool children in Seoul, 4 large cites (Busan, Incheon, Daegu, and Ulsan), and 9 provinces (grouped into 5 localities) in the Republic of Korea (=Korea). The survey was carried out once a year by 16 regional offices of the Korea Association of Health Promotion. The cello-tape perianal swab method (1 smear per child) was applied to detect eggs of E. vermicularis and other helminths. According to the results, the egg positive rate of E. vermicularis infection in 2008–2009 was 1.8–2.0%, but it decreased gradually to 0.6% in 2019 (P<0.05). The prevalence was significantly higher in boys (0.7–5.0%, mean 1.8%) than in girls (0.5–2.8%, mean 1.3%) (P<0.05). The 2 most southern localities, Jeju-do (Province) and Jeolla-do (inclusive of Jeollabuk-do and Jeollanam-do) and a mid-western province, Gyeonggi-do, revealed higher prevalences, whereas Seoul and Gangwon-do showed lower prevalences. The results indicate that a low-grade prevalence of E. vermicularis infection (less than 4%) has been maintained for the recent 12 years among preschool children in Korea. Continuous monitoring of enterobiasis in the child age group is necessary in Korea.
Enterobius vermicularis is the most common intestinal nematode worldwide infecting predominantly the children age group (5–14 years) [1,2]. E. vermicularis infection occurs by ingesting the eggs of infectious stage through contact with contaminated objects or air transmission [1,3]. Enterobiasis is generally asymptomatic but can cause anal pruritus, discomfort, insomnia, or anxiety especially in young children [4]. Although it is not considered a serious illness, it can sometimes cause serious morbidity such as appendicitis and perianal dermatitis [2]. The infection is diagnosed by microscopic examinations of eggs using the cello-tape perianal swab method [5]. The presence of eggs in perianal swabs does not necessarily mean an actual adult pinworm infection in the intestinal tract [6]. However, the egg positive rate in perianal swabs can be used to estimate the prevalence and endemicity of E. vermicularis infection in a community [5,6].
For treatment and control of E. vermicularis infection, it is recommended to take albendazole 400 mg or pyrantel pamoate 10 mg/kg in a single dose at 20-day interval at least 3 times [6]. However, it is quite difficult to manage and control the infection because of frequent and rapid reinfection and incomplete anthelmintic efficacy [2]. For this reason, it is recommended that all members of the family and classmate should be medicated at the same time. It is also important to keep the body clean and improve the environment through washing or disinfection of bedding and underwear [6].
In the Republic of Korea (= Korea), surveys of E. vermicularis infection have been continuously conducted, and it has been shown that its prevalence is decreasing gradually over time [14, 726]. However, most of the previous surveys were conducted under limited conditions, i.e., in local regions and targeting specific group during a short period of time [14, 726]. Thus, it is insufficient to understand the nationwide status of pinworm infection. In this study, we performed a 12-year nationwide survey to investigate the status of E. vermicularis infection among preschool children in Seoul, 4 large cities, and 9 provinces in Korea.
The survey was conducted once a year using the cello-tape perianal swab method during 2008–2019 targeting preschool children (aged 1–6) selected by 16 regional branches of the Korea Association of Health Promotion (KAHP). The total number of subjected preschool children during the 12 years was 638,354. The participants were randomly selected from children attending preschools (1–234 preschools each year in each regional branch) under permissions of parents, guardians, and/or director of the preschools which are located in Seoul, 4 large cities (Busan, Daegu, Incheon, and Ulsan), and 9 provinces (grouped into 5, namely, Gyeonggi-do, Gangwon-do, Chungcheongbuk-do, Chungcheongnam-do, Jeollabuk-do, Jeollanam-do, Gyeongsangbuk-do, and Gyeongsangnam-do). The study protocol was approved by the Ethics Committee for Health Research, the Korea Association of Health Promotion (IRB no. 130750-202009-HR-020). The perianal swab samples were prepared by the parent according to the instructions provided by the survey staff and collected from the parent or the guardian. The samples were transported to the laboratories of 16 branches of the Korea Association of Health Promotion (KAHP) and examined using a light microscope. The egg positive children were prescribed with albendazole 400 mg in a single dose 3 times at 20-day intervals. All statistical analyses were conducted using the Excel program (Microsoft, Redmond, Washington, USA), and P values of <0.05 were considered statistically significant.
According to the results, the egg positive rate of E. vermicularis decreased gradually within the period of investigation from 1.8% in 2008 and 2.0% in 2009 to 0.6% in 2019 (Table 1; Fig. 1A) (P<0.05). The egg positive rate was significantly higher in boys (0.7–5.0%, mean 1.8%) than in girls (0.5–2.8%, mean 1.3%) at any time except in 2017 (Fig. 1B) (P<0.05). The mean egg positive rate of E. vermicularis according to geographical regions during the 12 years was highest in Jeju-do, followed by Gyeonggi-do and Jeolla-do (including Jeollabuk-do and Jeollanam-do) and lowest in Gangwon-do, Seoul, and Chungcheong-do (Fig. 1C).
Enterobiasis is the most common human parasitic disease worldwide, including developed and developing countries [5,6,2729]. In Korea, the survey of the prevalence of E. vermicularis has been continuously performed in most cases targeting preschool and primary school children in various regions [14,726] (Table 2). According to the reports, the prevalence of E. vermicularis has been decreasing over time in Korea. The prevalence in 2019 was 0.6%, considerably lower than other countries. Even in developed countries, the prevalence of E. vermicularis infection was quite high [2729]. For example, in Berlin, Germany, the prevalence of E. vermicularis was 17.4% from 2007 to 2017 [27]. In the Sivas region of Turkey, the prevalence of E. vermicularis was 17.0% (365/3,569) co-infected with other parasites [28]. In northeastern Poland, the prevalence of E. vermicularis was 10.1% between 2013 and 2015 [29].
In our study, the prevalence of E. vermicularis infection tended to decrease over the surveyed period from 2008 to 2019. One of the reasons for the decrease seems to be the continued hygiene education and preventive chemotherapy. In fact, Kim and Yu [3] reported that it was sharply reduced in the experimental group trained for preventive education about E. vermicularis infection than in the control group after 3 months of treatment. In addition, the prevalence of E. vermicularis was relatively lower in orphanage children than in preschool and primary school children, because the orphanage children were regularly educated about personal healthcare and infectious diseases and received medication with anthelmintics [26]. According to Kim et al. [23], parent’s knowledge about enterobiasis was correlated with E. vermicularis infection of their children. For this reason, it was recommended that children and their parents be consistently provided with health education for their knowledge and prevention of enterobiasis [3,23]. The second reason infers from the decrease in the number of students in each class and preschool followed by the decrease in the frequency of contact and transmission rate. Actually, the average number of children per class of preschools reported by the Korean Educational Statistics Service was 26.3 in 2000, 21.0 in 2010, and 17.0 in 2019 [30]. Therefore, it is considered that the possibility of E. vermicularis infection would be increased proportionally to the number of students in a class.
In our study, the egg positive rate in 2011 was exceptionally high compared to other years (Fig. 1A). Two factors were suggested to be the reasons. One was the high prevalence in large cities (6.6%) and Jeolla-do (including Jeollabuk-do and Jeollanam-do) (7.2%) compared to lower prevalences in other areas (0–3.0%). The other was the much smaller number of examinees in 2011 (1,626 children) compared with other years (34,866–113,610 children each year). We consider that there may have an outbreak of E. vermicularis infection at that time in a few preschools subjected in this study. However, thereafter, sudden rising of the prevalence was not seen throughout the survey period.
In previous papers, the prevalence of E. vermicularis infection was higher in girls than in boys by 1980s, but the pattern of pinworm infection changed since the 1990s in Korea [15,17, 1921,2325]. Our study showed a significantly higher prevalence among boys than in girls, except in 2017 (P<0.05) (Fig. 1). The precise reason why boys are more highly infected with E. vermicularis than girls is unknown. However, it is considered that inadequate personal hygiene, particularly among boys, could be a risk factor for E. vermicularis infection [19].
Our study has a few strong points and a few weak points. One of the strong points is the large subjected population, from around 35,000 to 114,000 subjects each year except in 2011, totaling 638,354 children during the total 12 years. Another strong point is that our study covered nationwide localities, including Seoul, 4 large cities, and 9 provinces, thus, it was fairly good to see the national trend of E. vermicularis prevalence among preschool children. One of the weak points is that our study was not based on strictly randomized selection of participants in each branch of the Korea Association of Health Promotion. Another weak point is that the cello-tape perianal swabs were prepared by the parents of children, not by experienced technologists.
In conclusion, the prevalence of E. vermicularis seems to be decreasing in Korea when compared with previous results, but a low-grade infection is still maintained. Therefore, monitoring and control programs of enterobiasis should be implemented consistently in preschools in Korea. In addition, it is necessary to provide health education on enterobiasis against children as well as their parents.

We have no conflict of interest related to this study.

We would like to thank all of the preschool children participated in this study and also their parents, guardians, and directors of preschools who kindly consented to this study. We are grateful to the staff of 16 regional offices of the Korea Association of Health Promotion who helped in collection and microscopic examinations of the cello-tape perianal swab smears.
Fig. 1
The egg positive rate of Enterobius vermicularis among preschool children in various localities of the Republic of Korea, during 2008–2019 by year (A), sex (B), and geographical regions (C).
kjp-59-4-421f1.jpg
Table 1
Yearly prevalence of Enterobius vermicularis infection among preschool children in various localities of the Republic of Korea (2008–2019)
Table 1
Survey area No. egg positive / No. examined (%)
2008 2009 2010 2011 2012 2013
Seoul 55/2,545 (2.2) 23/3,128 (0.7) 8/222 (3.6) 7/273 (2.6) 43/2,676 (1.6) 26/1,527 (1.7)
Large citiesa 342/25,200 (1.4) 402/17,610 (2.3) 140/13,223 (1.1) 28/427 (6.6) 56/7,977 (0.7) 56/2,937 (1.9)
Gyeonggi - - - 1/110 (0.9) 38/2,574 (1.5) 203/4,453 (4.6)
Gangwon 41/1,890 (2.2) 27/6,635 (0.4) 213/20,866 (1.0) 2/100 (2.0) 101/20,136 (0.5) 77/16,339 (0.5)
Chungcheong 169/15,209 (1.1) 211/16,617 (1.3) 45/4,174 (1.1) 6/201 (3.0) 33/4,246 (0.8) 37/3,061 (1.2)
Jeolla 120/4,571 (2.6) 453/26,107 (1.7) 178/6,674 (2.7) 15/209 (7.2) 140/5,339 (2.6) 22/813 (2.7)
Gyeongsang 430/16,949 (2.5) 292/14,368 (2.0) 46/2,339 (2.0) 5/200 (2.5) 116/7,934 (1.5) 205/15,032 (1.4)
Jeju 339/15,043 (2.3) 859/29,145 (2.9) 91/2,213 (4.1) 0/106 (0) 22/483 (4.6) 383/14,504 (2.6)
Total 1,496/81,407 (1.8) 2,267/113,610 (2.0) 721/49,711 (1.5) 64/1,626 (3.9) 549/51,365 (1.1) 1,009/58,666 (1.7)
Survey area No. egg positive / No. examined (%)
2014 2015 2016 2017 2018 2019
Seoul 30/1,713 (1.8) 30/2,135 (1.4) 37/2,381 (1.6) 28/2,887 (1.0) 13/1,880 (0.7) 39/10,765 (0.4)
Large citiesa 9/1,275 (0.7) 8/846 (0.9) 7/1,224 (0.6) 3/279 (1.1) 13/957 (1.4) 19/3,980 (0.5)
Gyeonggi 120/3,318 (3.6) 71/2,667 (2.7) 56/2,216 (2.5) 13/2,446 (0.5) 12/1,470 (0.8) 9/1,311 (0.7)
Gangwon 87/17,785 (0.5) 83/18,356 (0.5) 152/18,024 (0.8) 101/16,769 (0.6) 84/16,043 (0.5) 37/15,035 (0.2)
Chungcheong 56/3,793 (1.5) 9/2,211 (0.4) 1/1,214 (0.1) 41/2,153 (1.9) 1/556 (0.2) 3/1,093 (0.3)
Jeolla 23/1,518 (1.5) 4/428 (0.9) 16/836 (1.9) 79/2,213 (3.6) 38/1,394 (2.7) 38/2,537 (1.5)
Gyeongsang 236/15,903 (1.5) 297/16,720 (1.8) 245/12,119 (2.0) 204/10,397 (2.0) 136/7,922 (1.7) 21/2,188 (1.0)
Jeju 388/12,482 (3.1) 477/11,774 (4.1) 272/12,247 (2.2) 79/4,895 (1.6) 105/4,644 (2.3) 95/4,970 (1.9)
Total 949/57,787 (1.6) 979/55,137 (1.8) 786/50,261 (1.6) 548/42,039 (1.3) 402/34,866 (1.2) 261/41,879 (0.6)

aLarge cities included Busan, Daegu, Incheon, and Ulsan.

Table 2
Summary of previous surveys on the prevalence of Enterobius vermicularis infection among children or general people in Korea
Table 2
Year Area Target Prevalence (%) Reference
1976 North of Seoul Primary school children (aged 8–9) 73/107 (68.2) Chai et al. [7]
1983 Daegu, Gyeongsangbuk-do Residents (all age) 118/1,697 (7.0) Joo [8]
1983 Yeongyang-gun, Gyeongsangbuk-do Preschool children and primary school children 1,428/2,227 (64.1) Ho and Park [9]
1985 Cheongyang-gun, Chungchongnam-do; Wando-gun, Jeollanam-do; Incheon Primary school children (grade 1–6) 316/860 (36.7) Im et al. [10]
1986–1988 Dobong-gu, Seoul; Uijeongbu and Yangju, Gyeonggi-do Primary school children (grade 1–6) 345/2,156 (16.0) Ryang [11]
1987 Jongno-gu and Nanjido Seoul; Okku-gun, Jeollabuk-do Primary school children (aged 6–11) 217/1,336 (16.2) Choi et al. [12]
1991 Wonju, Gangwon-do Preschool and primary school children (aged 4–12) 251/1,262 (19.9) Kim et al. [13]
1994–1995 Chunchon, Gangwon-do Primary school children 138/789 (17.5) Yang et al. [14]
1997 Chorwon-gun, Gangwon-do Handicapped people (aged 1–59) 34/165 (20.6) Lee et al. [15]
1998 Tangjin-gun, Chungcheongnam-do Preschool and primary school children (grade 1–5) 28/189 (14.8) Lee et al. [16]
1999 Chunchon, Gangwon-do Preschool children 434/4,711 (9.2) Yoon et al. [17]
1999 Seongbuk-gu, Seoul Preschool children (aged 2–7) 113/1,191 (9.5) Song et al. [2]
2000 Hamyang-gun, Gyeongsangnam-do Primary school children (grade 1–6) 88/654 (13.4) Kim et al. [18]
2000 Gyeonggi-do, Incheon, Chungcheongnam-do, Jeollabuk-do, Jeollanam-do, Gyeongsangnam-do, Busan, Jeju-do Preschool and primary children school (aged 3–10) 307/1,661 (18.5) Park et al. [19]
2001 Goseong-gun and Wonju, Gangwon-do Primary school children (grade 1–6) 39/398 (9.8) Lee et al. [20]
2002 Geoje Island, Gyeongsangnam-do Preschool and primary school children (grade 1–6) 74/754 (9.8) Kim et al. [21]
2004–2005 Cheongju, Chungcheongbuk-do Preschool children (aged 3–7) 119/1,512 (7.9) Kang et al. [1]
2008 Chuncheon and Inje-gun, Gangwon-do and Paju, Gyeonggi-do Preschool children (aged 1–7) 285/7,048 (4.0) Hong et al. [4]
2008–2009 Muan-gun, Jeollanam-do Preschool children (aged 1–7) 102/2,347 (4.3) Hong et al. [22]
2010a Busan, Gyeongsangnam-do Preschool children (aged 1–7) 179/1,674 (10.7) Kim et al. [23]
2011a Gimhae, Gyeongsangnam-do Preschool children (under aged 7) 729/6,921 (10.5) Lee et al. [24]
2011a Southeast area of Korea Preschool children 205/3,422 (6.0) Kim et al. [25]
2012–2013 Industrial city, urban, and suburban areas Primary school children (aged 7–9) 163/3,840 (4.2) Kim and Yu [3]
2014 Busan and Ulsan, Gyeongsangnam-do Orphanage children (aged 4–13) 1/117 (0.85) Kim et al. [26]

aReported year.

Download Citation

Download a citation file in RIS format that can be imported by all major citation management software, including EndNote, ProCite, RefWorks, and Reference Manager.

Format:

Include:

Enterobius vermicularis Infection among Preschool Children: A 12-Year (2008-2019) Survey in Large Cities and Provinces of the Republic of Korea
Korean J Parasitol. 2021;59(4):421-426.   Published online August 18, 2021
Download Citation

Download a citation file in RIS format that can be imported by all major citation management software, including EndNote, ProCite, RefWorks, and Reference Manager.

Format:
Include:
Enterobius vermicularis Infection among Preschool Children: A 12-Year (2008-2019) Survey in Large Cities and Provinces of the Republic of Korea
Korean J Parasitol. 2021;59(4):421-426.   Published online August 18, 2021
Close

Figure

  • 0
Enterobius vermicularis Infection among Preschool Children: A 12-Year (2008-2019) Survey in Large Cities and Provinces of the Republic of Korea
Image
Fig. 1 The egg positive rate of Enterobius vermicularis among preschool children in various localities of the Republic of Korea, during 2008–2019 by year (A), sex (B), and geographical regions (C).
Enterobius vermicularis Infection among Preschool Children: A 12-Year (2008-2019) Survey in Large Cities and Provinces of the Republic of Korea

Yearly prevalence of Enterobius vermicularis infection among preschool children in various localities of the Republic of Korea (2008–2019)

Survey area No. egg positive / No. examined (%)
2008 2009 2010 2011 2012 2013
Seoul 55/2,545 (2.2) 23/3,128 (0.7) 8/222 (3.6) 7/273 (2.6) 43/2,676 (1.6) 26/1,527 (1.7)
Large citiesa 342/25,200 (1.4) 402/17,610 (2.3) 140/13,223 (1.1) 28/427 (6.6) 56/7,977 (0.7) 56/2,937 (1.9)
Gyeonggi - - - 1/110 (0.9) 38/2,574 (1.5) 203/4,453 (4.6)
Gangwon 41/1,890 (2.2) 27/6,635 (0.4) 213/20,866 (1.0) 2/100 (2.0) 101/20,136 (0.5) 77/16,339 (0.5)
Chungcheong 169/15,209 (1.1) 211/16,617 (1.3) 45/4,174 (1.1) 6/201 (3.0) 33/4,246 (0.8) 37/3,061 (1.2)
Jeolla 120/4,571 (2.6) 453/26,107 (1.7) 178/6,674 (2.7) 15/209 (7.2) 140/5,339 (2.6) 22/813 (2.7)
Gyeongsang 430/16,949 (2.5) 292/14,368 (2.0) 46/2,339 (2.0) 5/200 (2.5) 116/7,934 (1.5) 205/15,032 (1.4)
Jeju 339/15,043 (2.3) 859/29,145 (2.9) 91/2,213 (4.1) 0/106 (0) 22/483 (4.6) 383/14,504 (2.6)
Total 1,496/81,407 (1.8) 2,267/113,610 (2.0) 721/49,711 (1.5) 64/1,626 (3.9) 549/51,365 (1.1) 1,009/58,666 (1.7)
Survey area No. egg positive / No. examined (%)
2014 2015 2016 2017 2018 2019
Seoul 30/1,713 (1.8) 30/2,135 (1.4) 37/2,381 (1.6) 28/2,887 (1.0) 13/1,880 (0.7) 39/10,765 (0.4)
Large citiesa 9/1,275 (0.7) 8/846 (0.9) 7/1,224 (0.6) 3/279 (1.1) 13/957 (1.4) 19/3,980 (0.5)
Gyeonggi 120/3,318 (3.6) 71/2,667 (2.7) 56/2,216 (2.5) 13/2,446 (0.5) 12/1,470 (0.8) 9/1,311 (0.7)
Gangwon 87/17,785 (0.5) 83/18,356 (0.5) 152/18,024 (0.8) 101/16,769 (0.6) 84/16,043 (0.5) 37/15,035 (0.2)
Chungcheong 56/3,793 (1.5) 9/2,211 (0.4) 1/1,214 (0.1) 41/2,153 (1.9) 1/556 (0.2) 3/1,093 (0.3)
Jeolla 23/1,518 (1.5) 4/428 (0.9) 16/836 (1.9) 79/2,213 (3.6) 38/1,394 (2.7) 38/2,537 (1.5)
Gyeongsang 236/15,903 (1.5) 297/16,720 (1.8) 245/12,119 (2.0) 204/10,397 (2.0) 136/7,922 (1.7) 21/2,188 (1.0)
Jeju 388/12,482 (3.1) 477/11,774 (4.1) 272/12,247 (2.2) 79/4,895 (1.6) 105/4,644 (2.3) 95/4,970 (1.9)
Total 949/57,787 (1.6) 979/55,137 (1.8) 786/50,261 (1.6) 548/42,039 (1.3) 402/34,866 (1.2) 261/41,879 (0.6)

aLarge cities included Busan, Daegu, Incheon, and Ulsan.

Summary of previous surveys on the prevalence of Enterobius vermicularis infection among children or general people in Korea

Year Area Target Prevalence (%) Reference
1976 North of Seoul Primary school children (aged 8–9) 73/107 (68.2) Chai et al. [7]
1983 Daegu, Gyeongsangbuk-do Residents (all age) 118/1,697 (7.0) Joo [8]
1983 Yeongyang-gun, Gyeongsangbuk-do Preschool children and primary school children 1,428/2,227 (64.1) Ho and Park [9]
1985 Cheongyang-gun, Chungchongnam-do; Wando-gun, Jeollanam-do; Incheon Primary school children (grade 1–6) 316/860 (36.7) Im et al. [10]
1986–1988 Dobong-gu, Seoul; Uijeongbu and Yangju, Gyeonggi-do Primary school children (grade 1–6) 345/2,156 (16.0) Ryang [11]
1987 Jongno-gu and Nanjido Seoul; Okku-gun, Jeollabuk-do Primary school children (aged 6–11) 217/1,336 (16.2) Choi et al. [12]
1991 Wonju, Gangwon-do Preschool and primary school children (aged 4–12) 251/1,262 (19.9) Kim et al. [13]
1994–1995 Chunchon, Gangwon-do Primary school children 138/789 (17.5) Yang et al. [14]
1997 Chorwon-gun, Gangwon-do Handicapped people (aged 1–59) 34/165 (20.6) Lee et al. [15]
1998 Tangjin-gun, Chungcheongnam-do Preschool and primary school children (grade 1–5) 28/189 (14.8) Lee et al. [16]
1999 Chunchon, Gangwon-do Preschool children 434/4,711 (9.2) Yoon et al. [17]
1999 Seongbuk-gu, Seoul Preschool children (aged 2–7) 113/1,191 (9.5) Song et al. [2]
2000 Hamyang-gun, Gyeongsangnam-do Primary school children (grade 1–6) 88/654 (13.4) Kim et al. [18]
2000 Gyeonggi-do, Incheon, Chungcheongnam-do, Jeollabuk-do, Jeollanam-do, Gyeongsangnam-do, Busan, Jeju-do Preschool and primary children school (aged 3–10) 307/1,661 (18.5) Park et al. [19]
2001 Goseong-gun and Wonju, Gangwon-do Primary school children (grade 1–6) 39/398 (9.8) Lee et al. [20]
2002 Geoje Island, Gyeongsangnam-do Preschool and primary school children (grade 1–6) 74/754 (9.8) Kim et al. [21]
2004–2005 Cheongju, Chungcheongbuk-do Preschool children (aged 3–7) 119/1,512 (7.9) Kang et al. [1]
2008 Chuncheon and Inje-gun, Gangwon-do and Paju, Gyeonggi-do Preschool children (aged 1–7) 285/7,048 (4.0) Hong et al. [4]
2008–2009 Muan-gun, Jeollanam-do Preschool children (aged 1–7) 102/2,347 (4.3) Hong et al. [22]
2010a Busan, Gyeongsangnam-do Preschool children (aged 1–7) 179/1,674 (10.7) Kim et al. [23]
2011a Gimhae, Gyeongsangnam-do Preschool children (under aged 7) 729/6,921 (10.5) Lee et al. [24]
2011a Southeast area of Korea Preschool children 205/3,422 (6.0) Kim et al. [25]
2012–2013 Industrial city, urban, and suburban areas Primary school children (aged 7–9) 163/3,840 (4.2) Kim and Yu [3]
2014 Busan and Ulsan, Gyeongsangnam-do Orphanage children (aged 4–13) 1/117 (0.85) Kim et al. [26]

aReported year.

Table 1 Yearly prevalence of Enterobius vermicularis infection among preschool children in various localities of the Republic of Korea (2008–2019)

Large cities included Busan, Daegu, Incheon, and Ulsan.

Table 2 Summary of previous surveys on the prevalence of Enterobius vermicularis infection among children or general people in Korea

Reported year.