Skip to main navigation Skip to main content
  • KSPTM
  • E-Submission

PHD : Parasites, Hosts and Diseases

OPEN ACCESS
ABOUT
BROWSE ARTICLES
FOR CONTRIBUTORS

Articles

Original Article

A Ten-year Survey of Giardia Cysts in Drinking Water Supplies of Seoul, the Republic of Korea

The Korean Journal of Parasitology 2011;49(1):9-15.
Published online: March 18, 2011

Seoul Waterworks Research Institute, Seoul 143-202, Korea.JFIFddDuckydqhttp://ns.adobe.com/xap/1.0/ Adobed     ! 1AQa"q 2#w8B36v7XRr$9bCt%u&Ws'(xy4T5fH  !1AQaq"2B Rbr#u67Ѳ3sTt5v8Sc$4ĂCÔ%UӅFV ?_Aנj- H>>,m*>fzp"TrKkr^r.|_&]|*vPuܶvoQ1mwVJUhu-I"=LniAƕ8"۲ k*ҿ[yu:.vUQ+)%F DHyVBk>Hy8jݹ q~9D4KRmzQ)^ʔ.J%k_tVi5NTjg!'ky|5asOȻ)R۸ߩFMԿ3L4j6dڜ#NIwUF]JqB/(FafJRzq3\G՛ ?~\ 6)6W4m[O^L0E&rRMض*C .]Unl-1 1r#Rj/&QɈ׉˩s6Rj=5Tg.y.·Pӡ:JJS:C8-2u]d&vUz;7p9 5VnL֢"y)">iי(IDDd| Yj0; LRfS:ktYK%*N2^m|&dğth":ey)uPQZW)gcC3Pv&MMWd&Ŵ۲mvTRoժM03*F3Yd6\8,\hݻ kߔi<k NTwSԪmljj[>->ptU%'LR>&EBH$MQAUx[$Z6vi&_a.KIQ{hyƒ j"JOC9eFҝfj;˚Ω<[3_m% lQ@4g=5$(J]Yc-OMq<Ǎ wSzڗ)k$7VIP붾ͯnV+卵*t]iЎD31~SA1éC2u)ʼnQn-Uoi3:grI8ؓWm*G zܕ)ZקJ}Y YlGeJ6cB2I NS3Q>k=KTBT]W6+SOXQgGR? telˊ%-Re\hѯ2TF"C/OJΩ6r[N.0{SpljjX1“jOsӥ;ҭhe}xu`Ք&.)yO̒ Fߑ.$Qw;9Iw2o+RVJMSOj[SoҌZ%;`d$blQ{Ro{Imڌ>3egf\O֝Uzx"䢸g+mv%Gʆ:|V[N'&ס-ޝ'kfE|K,G&˳98Juin/\\Qݿ̋v~Ǩ!rtWU d|E߫R4d}.qPw*Ӭv5YEcn~f5c%MTMkb-F>5JT,})QHg%{("ӔȸWMsYyWNRrkkJr0XドnͫT}r-jj,Ŕʍ\Q2Ri>v$5!]"JB2WɅ)]VԜUc8i|.jeRO6^V.¸ Q&#|ܶ-*uOG%JAtRZRr]FFG\۩w+?'zչSѧt jz>KW&ot{7P&2D;&\\>Q2JzܗAKSfeNn[jRrԕf6,q,F1tRfԗ>vֶևj-&R'Zi2=xv~Elbsvm8=ӛ"ū񕜈BȩlWau[]ٷBߨF~J!|Ipr3R̴#Yp)={7:G{+:\W}n|Q#%)7^-h"Ƒq:M*%J&$T軨I333׎g_- ucBwwjp[6i25$̏bU’ٱRv?G\~#Iͪb7<<}Ezt" q_Inw,7-d,G÷%T* Wg1"䥱kq/A.,_KhqŒxwvo u2ۥۧ.bQ}XκA$֣ +K״ZUNmڸII{.v{5z5ѮRme[moyƾd~cRݾK'j.\i&/S6f|b=5: p!6i_ 4j6=.si˧eƾtS^c.Y^RJVS-Vi3,esi08?H$GvZgg?gi䤟2adw릿:"۪lkSN>q-4kI܋ێe̊qۅgDoѨ9; #T.Q;7#~_Ufstb_'w~Xw1Xk,vcOt._}v}8"(4Z\ۘgk?J?bm_c!g{HZV]Fkk%~gEt)b秴vΰB|꽸}mp~E6ݹv;7P٤v+ri*3Ԣ|'O14_~7nP{7ZU\Vű[ +7󖱅o#:ǥŬ\|3r%TJX]V7ez¨Y]lc|O3V! R zbJ'PnGqVJ"19WVeOF埜EaEJωqCN5Z g-9[S<$sUK5b|7sn\7x qmv##FF\ w[=-43$^ooVSiXօv7iB۴yg>]Vf"r$J3""32!Zh[K%7GvNLs+4nB/B{vlsobJaҺJR:0g%&zR\ S3T[&ִor*ⷳc3ʊO[iozW٨%$gn:ܶWwFBԹjHP&z u&F2\f;ipW73 [; '_̽b;vib!oec dC-tS__$Xs]l9&z$2/N>%'[}b{h/{`{Ji׉׏ YJB/X%}.|+{(S:qz]4_Kѵo`^tY_4S#* ^zvݾMr+TrkQ g.8Ͽ^i>ӈǙvix>$o( ^qt*&t1oJVu-ql5U6jCЉmĻ*"?JT=K'O/|=Vo}l0b}}f?X[?/\JSBe,kP8ETJ==?.p5ފgbU9}ǶdNKk—_$8̸͓ۍ8Di\BԿ-1v{FF]|.^ۅ{vl12׏z7-R7wE?\nh\jN/Kձr_oBw"N QMBZqe-m:ӨSn6j4%!hQ;sv'm4kcM=!8\m[M4{SMliۇ%eֽR&N:{2A8)THLK3Zj[jPBx#BگMf:G1\`edcʮ?|w(-̮vXt,bW2;.ιNHRR#YwTM"<;mk\.foIDjmlJ;vxy7o7i\,KQŊ9d^Mmgc L*.T6tLeIuOH3SJQ3=F/ʿ<9\JM6mN6=<{xkP!F1QR[I$6ُimXu2An2yԒMU q f[IB-'䤯jYm52&JG\zд\~vdg QtHGXw&1Lw+nDEdC1w|YJmvP)HZ>i0BPβә?R:QO["]I_Jʏۍ>QKyu^bycBq4lXF~l [\*N>-J6,Gq(Zr5h]CwYӤU~ʶߑ u*SIv%ZfJ7)! FS*s_\|IŸZ)J ]ܜi4"z[+Z,MOZ))}|Ʀ(RUNIII.S'ˍO~˨rn}M)xxӕ0 eyҵ7YMAB]ӣU:/ѭ*6bcwP͵ "+qēVjŹO|GtY4V j[mLV M -m>",B$ GD1~j6O4|LxnNmqATNR3ε|DŽa[fmn-ڭ+FiK7Pcm;r5 l8r{#-]'nrFh2ruycb;pW=njRqRJ(d mnpckNnʹ+6]tz~E=ʕ l ZZ5jSi3#47.Lcfe`9؏v囜.F\-UZ:*0_<Νu9Lӵm&)_3\^ҹ3"1n1v_|uRʞͫr'iȧN_kH׺8xXrj=\МH)V\ˬ.Xʸ oVRC}ySU9/OBY먌5 ٿwޞ)rw8Ӫi5*5ZΗcGƱ !ZۄlmpjJ -l <R̵/JAպZuq\IdUS 48wXJJtcg4cI~aqߓwŷrm-v)G7yS^7H^-\mŌAq|"m9IBnF㏉9[N+mmy/!KKۉ%n +BdddfFF6FQRN-U5;Sv'm4kcM=Mn)\qιqUd9F%",6MGdT%-+~ f%+y֛^3SrF>6lc(֪vۊN;g._0Sѧ]ETWرkQKzGe9ʨsKA"yC y2\[5 rԭ7Gk5Mzw_4sM3hxЊ'oÍ5jsub )ͪ~tR2H]R͍>̋m6=%(˿(Wrr-܅y5(ܔJ޺YunW̹븹NsqK ]/QR#"ZMDfD|43Qw|._ԡSqTZBg??O Ϥ)/E_U|i}2 9Z?¹0:x'3,whǣ?C y-A~=daJј&M?D1_PS+Oi&;a @;Dž7[ zZC"bv:jjMQk$M RԸ3uA\=wI.AwC"^.{?-\NSiˏ"b}T/}q/ o.1M}R%:-ZniʒL$SgrBW*,Mw'N\ɇ{s\j]VryG'8f`}'N<*/`U숻z CwHq18J+vԕKss4R53/&XTt1bZƟo\=%nO)h$rBi-nKĪ^ ջڜlwkYm[̑+/QrZo%TQ;TLs($2C:s.%+eoNttq۰kK7O0m_t_pZ1SsSM7"mevFZ[w -FJ*T*jФQRg BSu|]g:ɵzjqwmltL.e3sRMچkSmjkmWœިm++¦'tILk*բQ D,PB\lI[9{%Gb R6öۍmX-MaʉA931cs..G4CujQտ[9 }G-xwl)IQz j Ó"rqe&=]꾧֎c)<kӳ+0JrRR3'TnXi^xMF Bު*tIL.[h"2"nKzZe'ZV/RrNYz]8죝n]Ķܩ>^Ժ]u-7^\mZjܣ9+Rmn ߑv?oꋘ?&ƪy^N4o=3-ؔ̿*`}V݁ ƒPu8%$ ݗ]wt;\y\>='OjPIp/nJU8{϶FNMsf"ίNqƹ(+ ݮF2Km |jܴZs%zf*eȫ?]4)I۵nR&FX + [jDh(#哑9q9Eծj8noǕZf\J-l&Z˫}`ӎhyrΉn\űn]9pʌӣ"׮Wt?N4_I_~54#/my1Xr*척aS#DT >q ssΛW;3oUaJSRMDgQnt:Ql,/ ܷfRqiM Ȼ>Cob;A>ڦWقM9X~/!'MW.}Vrߔꔵ!5|iB(0-zF=}okڢE$^wW~nokY߮\6՜̌{i-AF*9)\t9IV6۸5ZUF6R$ŨQIq砳YUZ]eyv >hI櫥N )&l JulwE1GDOuFN2| }馥uC1rޫV+^gdb&W[4<^e4YW,d|htͮsUM)۸8:{3d{AѢ)~ \#J=NdƮꮓ90 |1K$v*?мS ]i$J,C,SG?/_՜pMSƯM|mG1V1$~K>CSvkuj=&) -,yLjuFHK{c駗.SOua;BrSqj-ۍZ#'Jys7[g2z/.u4+XV2VQ.ޕ)$"(%)#Z7suZ%j }BǬݕe)Jvz8zJf:hIN|svO1O#IEcۍjݽ:SdὮvu^@:o^5cs>i/VqmVm]ؔܢn6'vޑ̗J4Wn@OlKbX ;n:hgJ9ŻyǑz8f܌q&Y fN0N;[69 rbׅC2/#kE l&2~èMR.*%g=Ft.%؝e8<.e=Uv{~㻏"EˑnvDѭ͜Lu3u0:U֝$[M5<:oi+V4V9 6nXvx&_ q Qqw3W:uϔ2yb/(ɳ|5zQiJ#r|Hw#.W?4aDŲ\ugWG;Cw鐢K|xg)##=O.dF˟jMUvWĻsr.z]kPc9"]R)mkfOd*uYf١RsB Aîh=k]ʳUrrZsq`d#r$/Ը3o^&lRWȍyuW̦Y4QDUMJ65ƒ[+ygk XK_±k#y:8(TJOSQhJt2.DR}"5[) r)6V6u5k:eXZmv𭤔!푊Q[qQ}ҹLE- 8qIZG|UM4j}Mܕ[Vwm{} Naqµ"ԈM zOpKѰ?IAD3Ir0'/q1itoB5{%wkOBn-ۜduqIzYK60{+DʕܞqIt";r1mG/\/ym[6JƫR \L=S=OT@Ix[TMm{>ݾտ֒ݸӉLYIx>+"JVNzx||5rI?C{oz8۹e\R-^\A2F R+N9 vlT]"ۭ d)t֞i #E2jB@׵=#/N+!ĕhx}I!cM`ąZ*ŻɄҒ߮Y.Z}='/oۙ3IpW̮hT7cTSuz9>B}΄&h!>lӵn~j˅IvU.'v'CSZw8QK3G> ,J59ٷ+HSg䧎hJdzvwv-cvxS5[̊n~ؿ%ַX?O0\6ne 6kn9.ϯ} *h 8_QhLݣ7q +=XBҲ5?[[)+F`=4 }B,sNg==u*Nj9k_GJ)+R~GSPBȒZ:(K]heL=vKPӢwq(NrG^ثϣ?#tC?.ͼ[ۅo؞y#%ǛjVyLSw%T*s92JTM%"YkQО.q)gCͲn8cgi6j1MѾ[{9h^vƘǚםidfi.^RHmg&rׇz:}݃}xT$ضk'5s-狶,\vpbPD،=Okf.c#cdz2FK5T!&)|ntD<+OŹU i-G[EE*FDfeaf2QƤM\UG_{ǹm%\yrGy:.\4wjPGUJޕUV7Do\7Vy_13w;[?c]H\$IJ,*L]3b%L{y.JRKG2sq,B6T}(#nW|km+q5] r㪍bJ@y{byz,b踊3ϻJ,'^xd،)JVw#.Vټc''ÝպWtbRؒJz۠8!o9IۄS95E9ؔ-e9JR{dmnッ<[~n${~Њ$W?&ՐY_? #a.ߑv?oꋘ?&ơ|y^N4o=3t=~7!/M3>n8W홎2M`Qx+ z qy8%]7_~540ۦ彷]Wq CѡwkďyF5Dum_}~P(5.(X,K9vᯐ?leB9;Jhm#3{CxGE-S{;@Fz˙]=O'!ɿ]' r`:7'2bЖ>Iy,/eTy/V<.H?UYY{\^#ѣr9^7?xoRȆ7EoS_&??zϾM?(~Q-K&>"~aߨ t7Emsϛ+?;fCr)fY+>z$tIkjn_>vnrֳki-˹l= t;'EyC¥|/BLwBJdgjۛ$s S1|ɍV%JI6KvəhzIlBYɒ|0"Sy0F>eo5W)O+X˻u';v)2vVq۳kۮws?UʑBǴYO漪e2MIjPAک\b1)DDؚKm6ZWΨgȕ۶yjڳ 2ضN[C[|r@9Jfo<_eI7q.|cÊV߷:i.:$ȋ)1%%)ADZCEBxJ0MJۥy(bNsKM9k43IwNt.\%N簤I'.j|ƃ2$grBEٌ\}9:v*!n7M(ɽ]7c@XxƱԨ37īf62cTTfFK]9wntQHͮvٱI/f|j=7}\_V5U^+:uljSȃY(XI.ȱmo1甅jڎIZ2>#\*:gY|4k\8ZwSqtyA!+];бޞKծË¥e)#5ap.QK^8VdU{*ѽL\=qmjnB5>{ Ӟ`v±5 ^k&O~Oshɷ,;6nOW>u6{RqS`)S%jp\ipdEBLfTWy$GIYw~䲭J.1vSY5z.V>^+Ǎvc.I[R{QsNR3ӎfhd>y?UJ*}~[e\i5U^͛E]G_FS(Iɿ]i8:4zj~շsW,ˆsy:%O}iur]iF5~3M:Ӟ#N06)4ߧgdawIotiz:1r5YDZLHBSi;NQc44la=Y kQIT*ըl:tq2(է9VO4뒳܂~2rq'nrVZŦ[t7\oլfb/mlpc.I8콚q^1iE~䰳mi[dۧw֤ICfdFeCsg:i| 6擣׋* 96lust^{%99UNRvaMܽo ammi$em4D6DD\nA%$$#}۷/ݕr99JMն[oT޲E"KTaP+HGkŴj5TM5xƱOS-k`ۛkٝWz;{kS}F;~q|~^_|euwnE'pSupUP)V]vE+t =ZRaVdG6= *.ϼnj9:UɷbېmF_tޫgHjVS'śǕًdkkѻ_]Kv?nT>)^e=Ar1'3ԔILyD?:-^in):{7.؂\.:V }#뺾.3r̸*xbFM aȵz 6SQ:ײj[ 8nn iFMw rR"5M5I旘35f^j='j:nNW.ʭocZvZKV^ɚJ.cM1ZI7E'6rg탸5oZ=[m Z`\hbMUR١Ȗĉ):Jin!_7Dй+f̷eKҷvͨBPR(V`y6tw*MRΝcB.ڭTnc;P$8nFvm4(D(R#R-L -2:FP lxZKQc6I("Km%$E, 78uXIFA$RQI$JbInG]c[ֹ:ZM+n^')JmJMJRu{e)7jQDw~%yQl}BZujSSf۩QZ+Dzhd5o%BIc'GZ?}΍:>Ɵivז-%݌J5MqGWTVʦh݇ܟ~Օ_6 n'{3~mϬj'J11OȻn߃r Qr\3y٘+WӍ'WxEs^O3 o~[|7>]]H9݇ZomT@]?5B:Z߂'`V_+/MSKX߆ޠk3?o7y:4R/7þ] iG߬aBRU&?r&/} cQߥGj2?C5Yśe7hU=?+ x龳f-܈czW^7p%-(\D4h{UK&ӡn^m]Fݢ:`δvj俜F+) y[{{ 7 tu>gvrěOj'5 iRg[ͶFjGe n~qT$ci ۚ0oԹc*jL[sVWqj\ݻ&6"WoK:cnWmrv)o>66(F>=W^bf#c zzʞtپy%mՉPël e}J.\Zk4ttt>oEM=q)hJjI=ͥ(%]脼_88ф;͛gWG;Cw~˘$4=uWdĜTثNDkiQL9U*O"4XP`02,Ge-k5$h>ܼ]3vr6!9RQPIVSnM(ۓ{>;/Qͱv{3&-[rc)ܚI$n{Sv3[j00)-D3z}MRzVQпj,T[uVs0\}Sid;r(ݝJ>æʺL&c[jPK0~d(FKÝW\m]GTcF|Iׁ)I3~#oX%vҦEݑؼ5Żv2qAZTE^..M{ʐfȏ2##.R}*KʛZz^ӞN*lPťLf\G6[WVQquV]XAi)5J!,$iJ6o$tPZc;Kjx_n3`qIelV~vLy{fn匋Ѿn%;zV.n'-ұdd2߽1bZksPe3TI9)$ԩIN9Vơ\=2885N\ p)/a柛w9g_lױo8ݷ iixJV& ғRi{N^_oAŮE6Y7I$Nk$|Q)-*4Z)^¸%4Qm [I%.c-OV+C֧R#%ѨCe3i;w$G+_dy| Fzj$DI(=OA gj%v/]8qԯNIS*֩',Q%\44ZZ%D|Ǧʴ6&vֵI$%8(ԬƾS&#Z. }6z?b/|Jl{ץv&mpx4Z$”ڝ4-H%dGKfM:sKSRWeJAn]>s6应-W9'H]'uȫYvgK^\czp|My\鏩w/ËQ.)]\QiS`8uL뚛̸=J"ܻi\å'-)54Ue]:K\퓡vK xwBqrH\*֕TnzC.mT=t-H]SČ~Nu╏NÅ3f|͡G~B+Xm[Q7U{9"~jgK Zoʰ7"qJ,ekSeNGgϳ] ^.6:s}_,%eRg<5⿨z{ZPun#jRІ.6g T.!]xa c#jN$Zpl̋H WZu8WmMRýsĮ?Mco~sx TU҆Q :KDG4n42.<3/'^?6/ܠڒ^yrrÿr2\D}}B]^E~^T cɛ7϶Y[<֞[7d}2%QPqOLEQR\CIsj1?\}%tJ0e~ *sk"*)&ۓEi#{1J8Hrt|'ܝRr8)=ƔN'RVz:cf]F7bZyZUȘ4x8,#JG̒?.W9XnO]KO]%]ƻ O5Γ/3qÓj؍/r̺rƵ 5\&m6h.xoeX[=<3%< lZ"2h\Z[&jW3ejm?k&[]ųj+{N{66leu_+lj]q* 7g*knأYv= q ەdxЬZ|%GUrQ3jLŒqET]1% qkXYūYc[7Ś]QY\jko\</Lc7+'hMSUc6qXyؙ~6#ѯv.0$BQi5YyIhɍiy=KD!n3Vm[V%W-B%swa97ajۗ m+9~]fKq|Ddaˑ0A]_v޺mM5* F-BYHJ5}q>ʉ.6hyDmpD׬'-_v5;5[8K[viJ.3dR:oYHHh9I7:۽fi+wm^ [)odPѱ52CZUJicSw\&_s0uBȍh32džzQflcd^m|7GѹE!fO5]]H9݇ZomT@]?5B:Z߂'`V_+/MSKX߆ޠk3?o7y:4R/7þ] iG߬aBRU&?r&/} cQߥGj2?C5Yśe7hU=?+ x龳f-܈czW^7p%5|Y:SJE\U-(a_cƣUǽXXKiȞNlmۊڭڄR!**ܤMeȽ$|X5(Ź\rJ~ܮ]>'HB0cp XFr_c?f?7<ukSgov¥iG>>䙗i.+t+bOjIܶ . i^:nm}s}(3>NZ$2Qg([".>i.ƾ)B̋M8+"- >eE6DݥJnJˣt׻ 5.˅nJGwZD~!i۶a,Db3ZQ3O#KO5/֍ozuK'GbRi᝘NV_ҝcvם ZoX}F6z 7e5_e:ۓj=AB+iܔERadMBq*ԯ DwI/Gy*mĥiRKg6skY/#SN4e$-yXM YL?^ĸNNӪ{$r1JJRSLO]Aqm>V/s[~i/j+m>z}eI"Qvp]{ZԼ:{vPAG2=T͡@ڐ#u"E*>C;o$~C#_d/HBq^YRٽzIKbOm\~żjFFGdiQ(*/i*#.FF]©m=BmpQQQSP&Ҫ!T&^>:y)$ˑÐFčI Bӡ-t!bM WҦŶ'UZ=}zvn~oT/\ǒ'nr8 AJIӆz<^uߖ4eFC1i+v!3qNyߕni?4JZlmYFXFۼO0B\m[ tʄU3s"Sr(NJ;SKW72L4̏BVdf^Ҹj\]ȱ۪(ӷm?J-KEmWڽ^4<8qu%9pŹW~877ܾeVгS(յe^C]yX͹! םm4FGȋ\y'Z FX7e)|Gjt߹#gb\ŧq_([R8[qU$Z (ʻezV2V!iQ,i$JE˂٩ a(GK'O{vnBvryRd-RK4=qxZJMl_CuuIz @Rt㮽޳!|68\-l[џ84-2Pu" RJ_^OL>G1~XnBŬw6J0*Uvlږ1N G1q9IUm*'oWu][&UyYZbBZRZNfEJf"+2nF~Eû7n1xv.RUM$6 lAxSQJ&n5ܞwlEói"#>4׿Q.nEq7Oko[1wg8ZQwZYiqtm&~">Bo?w͡ni2峋NCEy Ҕ+%ZJ ʩq*fpˤl,~^Mχk1+:ݕ z&Y`KLӪУDr3[*Z :(SL&ݻ۬Vqsyԭs x|iI߽zZrg.:mp%6ԜvgmpIUt;QbS.Է) ǨKSV,*lڌ|5Jt3#NP.=+OZ~/G سIgbꥹJnl_DUM\iM!֔wVZuԺ,yV.Q>f v:݇WiaŸN5Ҕ[M7SsrvǣrMW= \8ZW-jsnڕ.ZnF2qt ً[ٻޘY۷Zm"Jxr&NAfA-݌to9s359݆mZ+N1-qS$D=17 x׵+%_ ve4ir6Z$FDڗnFtOr'7'{9C˨ꤡaYoace{Refnft RR"4%ʌm:Sj3)OdInTO>X'vxV#jܮw9Fog;5.~Y5\~18YQܹvj4+~t7S ﬕs %^۵ڴDZV69R^Y+rj$ԇoJKR5wB9C>Y:l+EǎS{ʲ{T6Wi* ^^9k/y/Cs\g*qڵgn4T8mERr|Ti+iPe;;.i\EBEJ 丬i9ɧM-ԼsGDrZ>r#R>~X9y4b棇9JwV۔%m(b[Tjvl}۩~nDԺ{Zo-YuK1vx.nWuO+jN [ٮ0%"΢CdTJK-RަH"$I(*ve &҉FzB,_Vpqp9m8werv')E;o&QE׵^d9˦j\_,ڵugZȻ̧8k+jK{wmr@3ӭ2 wFkzFVqs1؛.v'I%$[iT]D5Dl2 nk7qUxԫLS+sا3/ΖeZYK<["%-g/kRs:f3;*E ت wJ%)5&+&rw*霣i|sMҴ|;R+fm䡩.!**dӶ-6s6,]zAXMWjmnz%SJߴm2UXw7MQ%<!tKys#P,W>s;3IYwx<+i_\\\U6 u7P|xbn_k&ӓVOe䦒 VUr,-㘘"-LZeOSҠթrEvq8Kf%5%&K"#%vD/.ZYYŏ+p$nZkvއuW9㓱Z G wYIFyf)?ƎUm5ԉ/'k84{KO:rQI}XRuԪ|*lu)3qZ[mSm5R3".Xcَ5c®ࢫI*۳~wRϿQWޝ(EJrri&ۥ^ʶ齲Im|[yb;mnm֩uiܘq>E+Ikx߄3r33-5𹻖09ϖ9[Tz~mr5NsWl$oPusޛ^{Z;);sڹf\3oٹZmԉ/'k84{NO:rQIBø8Bݱ3n֤DiK4u& ofSȒܩx<˘|N0Fչ]qsp"}! QWw@t4ӭ+cO5%]'*{eM߲DRO1y*q8w++e!c߶ܪlZWّM欼 CQ̼빶lX{vib/V/ ai;x6~]+z]MWB>re-:lgk}պ!#9?%܋V-c[z!W?c7YNm/jRr[HOzԻefճ0q15Zp#rkQQ0tU-AmڵP/cȕ?0cZYj;:0ZM=D6g ?'UN+ձ[K ܖB2'xq9{|۫N0ku 7xaj;n\ 2[VznMlWiKbSk))f..)Km)&bGZ=>OR܍W:j'rM'wYz&/鶧{Sʵb"vջq[I-ՌZH._x*BagC'T(Q:$ͳQcMCKy?3g'ߝqnT);qs #ؤZ}OOI:cfnc8W~qy.;^pVl]Hԓ>^H^@7-AA܃nmL(uWܻS߿ Td95Bdh4t6*dDh!EhI[iŨ\L.&Nc ܮf^;$R)\rip9I|ٺ?#R.ZDZ;/]nݻqs\QE9M&Bd ]N mN*D>tgbK>+ˏ.!23]BȔR1ɝ^j'k2ƮqBQq[$di]icV/e`޵B.FIIJqbi>Ӥ|p; 6${)RU>_e}^dzdfzi %ekRVUS?6'hׂ)5.\+qUgzE2C˷ecŏ^֔ibk shesFWJ#~> Wk~ݨ}ڶ>ơǚ)׽ZƉo~B-ڼrvoE:Ʃ3ۣK7+Y`WirS):{>ڛ}:wԨ(J_";6R%[u&ƫdZ_\'np| RJwNeTW,=rrbnkڄ[M3ܴz)3- R.?:okۼ0TU'w{6&w7j1z3ON'fGoO?)S_bQ_¿R(^ԴԴG.EtMڇ&RUiW uQjU> Kiu1d<ѥIQ'RQ1:O/lŗᏩiʂv&Jc{D5 Tt)1.n[n۶X}RjqnOʽ(~[Ns{ސ⛌uO,kgo֢dRNQȄ .'6W!׌P朼tdZjFGE"]K@'i۪N;sI[{SOzk>`rRR+!σj8&TjlvA̷Q?HyjyLHNտJMjܶT۽lG?SnKN%<‘ nq[N0Sq[Ta(&t(|HGO~gvkݻTR4&Z$#ViOY1r$6YF?e4U/Mvxų:zbU^gQQ+NW_'4jfz^c'#`rvrڡ(IJ/J ݦ6 ]-CW |_{v*_q3^DZ}Ic6Uڌ8p7{crZq5ki`)mU6|-Z5^iEz3P=:Cu7DF'k%}<C-޹ֲ̱#\,(f88%X-N(ck0VLR~} G"-8ӏ/ϰKq?(#nrVTmZ;zióM4 m |UT'C^_1X.gXM{%ʤd 4\ovN":"y-,T)fLQgۢr=/CƹǨJVr[a+!rT|%Y\ٱzsS>jͱ.oOc6f$q% ǒGo;n[];ߎjrk{~\VۓNIGn:iqxo |~t5)Rxעri{Vi&NUOl_ѮMfsޕkЄay.0P{7N((BaIP$ K"U6Gl ݙqJRu+qN$ m#*p<|{:>-Ev=86N*MM긭U*uѾ?/^o7;'u,h4݌xښRM:5.(/ \իU.{F^rmF-Jɷ.>Q"[4xT^OZ~mK}T0ݛ^SAo9u?lX(' qj%=X}"^e4wˠ|rܫ 6I\Ķ;Ӻw!'ڍWg{ i U_9Avhۣƾ+:vs/MK[ɭīe{`Zgb}r[i'GE2J7Nez579wRq+Un ]J.cJ4M:h箽Wxxm^ pc\wcN%'My $$| :$Fqɏ¾^қP9J6Wxvu}ݵP>Z'FFdg"-; [¢cmWkÎT8nG%ݣ7*\խCLRYZͤiD&J#'ehbSyXK|y*ӞpS̍R`[pTr/Eg)K+92{_ n3zwz'oŸۤ+sOj J:`T>Cf*lwd\fYOP"R E֢̔L4ɥ :;.b(B02rJ蠟9>V'9M%)IqnhP<%,r'P/vNSwr#w"ݨaqc(|{kd=^0jTMR2ULNz|.<|^PfY22##!,K~E BEJۜ&jRNsHަޛg\r,v؜.jK3)[EJ2ii{KEiHP^&]Gn8x=K}Wx/KI9-ϵwQ%spܾ[^R}S3$qvq8M[ ozKxcqmJ/ӿ{_}7&ݨ\f6ZSyQz& 7ۉ[8~UNn|nkiTB+4RI8'Nc%tn{!]Ȋo.nEmʱn𵵥J A+wy#+ikǒڂ;՛s85'KmE:Ђu""Iģ5p=БbTY-ͽڔ詻ngL2Q}$de# fs^o{DUUsfwӶ;s1T,ǤtޒQ\෼J=.tKU,7čJ5 N$y3kdSMQU~mO[03 $zAڟsF5^뜞"Կ QHmrR"ӳηer+ҔZ]hE-6Jmt'ޒ=O[sQj)6K}?e4v_KfZheޓ=BV[bY}lݒTTЬ{ȫvO_qpRApVŗ 6ju=*BR)g "O1yhb=tqJ gtm\b3RY+JQ^Ō֍\յ\>+uSi{=x ^w;uӘ#ĸzLn*$anok߷CBӷ}5Yqvdž<( "_OWit5:EZj2 B ρ1̊fi[n!HQF82q1牙nqnEpT(2RMoM4ϳOu ':֧_Xjsg jP^(ڙ{2%E͖j^}ZU[Q$'U) <܂%!s"m R'G5M0<+zM6qYm$ڕ$3ǧH]?o2N<8F1̻r_my[Rf59NjpzBnl7*{.QP 3N&^BLJPjAHCK2Q}$#~YMq8 k(MFMU)8MEqTy+Tʞ-ar5yܕOXw!e;q-Jqܶ䓊Y:LC UE{/t>r"lI9)3KJjϤA 6SEE$d߇3KG*En|P\ԭTn6I-ƍKTj<1H_zwGr19wF N8ݝ+a9ɫM6mhePi%mmD! """"""*1bRKrD"vnrM۫mmĽm]ӡiG~e"˩ lhRTMk^MX["Jݱk7_ޕ*DqĒ&flՒ}`W}~SմZ{ĕ~wm*/{{ѹ_-0ط#P]xlڱ~Tn5wi*lڪ (JxioϏbqKYR|!|KN53 OS222$jzww%i}>N)E+rۥ7c$Ofl/LNث\6H9: FY󡈾I)fB֔JI_ ֣^: 9mY{66㒢7Uj]:.-os[R&gMF3˸#໹kmjq^8W"PΦURjʄWa˧T!͋ lW48JB2ko+ /Nw QwQzQ ے%$ޓ7^YL|r7!v%Trܥ &|M8~ybrn[RV gSn{{*#2#ԽᢏӴHak" ӌcwҜw&RJ07ױ>Ļ =^ BɆ)v32.M1=#6%̠tҤnzqMwԣ~s*%-j|_m*.Yx9Sz=)qE4 3pk+,`=kNRڥ=B=nŔNAx)Q$ԩȧ4z3t#Z2lҮYn$S%y- JzGpu|LBV7ZW#;Wwipܷ%(6jFG5#{$D"uۭ~]֫SrD܃fҎӾ+Tu>-ZTQ& N|$沸ii>eRWݳu'[O̻j8JۻEѩ[]vni= ڒ,[_%kC7I3Nv$4ɎЈeٸoUu:[}Do5|zNq=Tre%ɧ6&~DȍF]ƞG5q m]/w/ \ʲr8=oʔe9U(W"|S]uZd#?Se[W"ֿh][-7Nu:T=)R}.;ml*5Dlf $fF(̏T hiIUU4Szɕ t(%_|2 ~6eM;TƗK[f&]LK^CE2[ȏBOd;Mi|cx,^6;sیGpQ\NuJIFTJ~đArh* B"$H쉩eXPRj?sl"ԥ)su]xpԴY%VESH"ЋJǰ K&5^Ukzׄ8kEgS2h&Se\ Yl]WҶp-ZUvi7QS:4byqOo+[̺腋[6-_Fo.6[7$p&^ _GZԸߍkc.qqoI[9m߸YxOZЦ1uoiSH)P9Uʄjcq= S>֙NeR><;+ڌk%_qT].srNO?s[=vH[]RZHRMtᩗVؾ:/~u)ԍdg%=edVrISb{6vSu=(ܥ)mTv/J}̇8 S3ad:^hBSf؉OɔLhI_1d8,L><_A0y3rXq"'(۱;mFNII.v5_(^q~X>y{3צ I*Vܛv/jW' T'NR'j%ꔩ:mJ3SB}΋!-H-RJBТQoedi9tjENenPpke.%4]#{:>mkEɱdYWl\\\'nRM4&U>?Ќˉk÷!𴪛]]5}UqG~ݏI"O~s6(Ļ)qO~h}uԕd}Q~G,oE!&G&/]_H-O=o{k\̭bkv.Ô܈+;arZx)m?M\3lU$mk-CFXjTv6u' g:Vn_*qk:VC A%'4JV%EY)#BғO4<e׿jQQ]yUr4=wm[K1r׵%Iũ-O}|kC;/VcݩWZ)EHdžTru]8hgĵ-;=>U_ InvTm_jBM+QiF"9*{DI/iuo(=TzϖmPQl_v4z>T*ȴ>YF;ε\t]EH4ꌇ[VrLzef 2T^V>g2~kg5~Nק;{~Z~W}&ŒBӿS2$J?~(Yœ"˲ߩ\O]: J׉ښT{mmIѩn3˧)4LdFZ/zUG>U> n 5& ϴ-KJi2o]uKljvK3$bԔҚV旧iY5.ίfi96v7!v))FJM4{jG~Jt/lUE%pTAFe4qQk\ve۽/u/Im+W')v{\-E|Pms7߮DZRr۞/mu*1ՙaB܆ -xg3#6ۥtRogʌU)׎]ZҞNnŞr}F1Nnޞ;cZ{N}ۿMiuxʉ*3qi'9KHQ$WJxXyرŔe~[v5~/jN9Q4o6rJv FrdxM*iRjMzUinHdн7ᾞS=S'7 } ̽zt7K|_g J=Lq+/Bw_\ۧx\HJUPzQ<hqF[V0x==CsU7q|^ {)Iq38$_A(VgcKu06Ƅ"%i~_ˉk QCܣB8Ku/񋇵u([w}$F|8TՠI.E !;RJ^}MɒD_q2];Ɖ{5}*n7nEInO{Mwv}&q+v [V}Ĝ@%>#dXQ$f;iep.GquixVt x6bj͵mlKقQ[T]zs/&yەnM'W}!Fp_d^Tu N{ɻ'l{խ2.sTu{W^H&;1s)Pӛ6>$mě;Łnj= fLT)>׸+qReɴ[UR\L*P/!$Ӊ3Q 'K=m~6XqW3^W+ųO_[F$rR*u"T%@O +%# ]˽!aܽz{ͷvQh쩎]hGތ5ɇ*DzJDRNLi 4:{~2FmXY-zzĽ^f=]uū{/+&c:Ma{ĝDp2m܍kHș/(--m_vݮK(V{R}.k&yƴ7i^4@3f sK3^Ř˸B=]?gt5KbZB<e;kQLpxuWC}n 5ҴepB##~q= `x]KWF {GfŲ}?G.I9pjWkU]>={7q{kO/^I3==f1ɏ%nnʫ/Zu_yXN<57ۍ'vy/"8넭M2eԷ&Y,в33%IkjMr7xf nmQkX4踼>a-GcIeތw&U=-:qnW)z¥j :WqSZvԒ#j"KrIU)%qrmRoDGQ~SYRsu*V)  ,/x)MFD6O#]z 96[Ui(JRfw'y$GeUީkdMF-ݻ98F2d[o{Rn0n-xsV6Dh|Eb2E:KCOӪv4SJCr"J!!m,hRLD| ZYFm/X~ΧfrN&4Ƒ=Z9Mh.Mܵw/BdrܥniŪ8ɧ|y%œ[M=_tj?F!z5\evM:\ ~F-sg钬OWq“iiȍ<Gi%%n2rqͻllƑ)okw7}\Uk-:&fj솘XerV9yZuʼşdFC=rmo%~ZN78X(N)_7.Εn1MpJ}62jjJdI";R5&iLԸc:jmqiQj$ujp\{;v5B񥍪Xn Ą4qOERjzN(Ga٠䌡)p*v(J7#ZۻZ8O W uONb+^Qipv9GvֽƼϯrYƖKGJQDNPhRJjᡧC"21"9ѓS1;R_O7/WGz)8fE%F2ukmvSov/iZ&/]~KmI[:^~ͤ\kMi稜\ywJt3W7 8Ʒ~ݥeFgѼw"8VVSج\뻆}ݭ/J6Q)d|)zU3>k\L=;ow֯gN3pKѫ|wmkZ$z^2R:E)f>ς нd|#׆?\ǔpV{;\$ƵE%-ͪm0S6[n< kE[}mvE4DDZ^$OZ0*$~XUv҅B@^?]so#%ojw;Y#SxxueBگy v^i-)s)zV jC{7Gt.w3v,ygg8s]aE_,*E tY5k٨h=o"m泏:\6w噓aiL׎n^c\75AGkЯ0Lf46َ`egZ˓p/k;̛]kq!ݸzpԭG"}R9Ve>ˏHUjJ-&7nrnwG*Xv\˱/vN}O)ʼn&CV͍f̵]r\PMB-6Du-#RͰtRN^)mT _}nSȕC*_xBuTkJW[`ɩ`ejvsngP ڻ.-WUtܑqԹQj)t;vN&RNũT+8%IXӃ5fK՛-d9 ]CƑm|nZ-6=Hz,*aEm W3VzRšdY~Xf׀Xx"]s;)5u*ُHB BRGS6bݶؿ 9j[1*jױga7oX CUI%0v#~\-O-Ꙛuɷ쏪&5mY٦M`LJ2qK~HZbr =N'YobI. (^ ׾{_ ?OJ`S`3BN[}5w6:ǵ/iSlt=4F*d&T4y/#. ɵim5Uֲf 眕6Y7 fơ=3dϕq뚩$qTM-%r!$@A? ޾V0c~{[{;򥧅a~ڵ»&ڄv1ek=wb MLkNAԬw-x>~/r=e73VeVN)K%Sښe"+3uXuچrn ֺVzscJ峻m}vb㶓n\YbIUBT%*,0nov=;z꣓S/nSXSpl##k9mXGrZv^Gde!ŷRԠzQyjC]`gToPov{j~KRBMY}i[߶9KL2ԉO0K#m>wB[ٍ+n[[b٦DX ݲpo] [\m5qdT()mo4Oy9Ie b][wղmM~vmi۱~t \}$яimRk(L c Cvk7r9_r1 ;zv|F@KyZ[&jEji/"6$69ml#e]9s\{ScL}Ȣؿ0q/nZ*t,CLoD߉Njǚy=Pgmu6^]l-["çUʖMlʍp-"qmU>۷uFOJ%Ǔkx 'g=睋k[3u,{³WɘݪF]ՍeFX"Oy\,cچ=w/gn Ļ]#2? vqy-gXnR.^}ݺFs{ŝG]}e|#0mjx"ƬWكm?rgU^xVB":Dt>@LRbun~ݭ,w+v⪕;\U(RYa61>#Jm˞Μ9g9XKaG='u8gf}'qy#ɉw J]We.ʲ-<+&q%s?2dњztҼn`cΤmmqMdz O[-ߩӲ&;[tmܝVnr">{x<8U+p:Ig]zjGkt,uzf}dؠoJaکqEq -(:d<պ=eKy[˗^%ZXkX[C2߱\ITTLGzANM￵i]K>UsOGDDD.ZF6* ҃V Zhz{'xp^`wo8r0h ZmJ5"jb[l=yUu7-;7IT%:jFjߖm0tzU'K)څNۧYJ)4IQ}^KWm7kSP>q;ނ#)'n7&׊r?óM{IwR\j2Qn[v pe#/tAF\ϵ225q֒om6z})6҅*oqDsMf CNIN=T S2t,_ѧ}kveMF0J\Rnnݙܹy[rUc-j{yGtkQ%s]5qB.Nw.JN1LvR Ui5J ZESQԙr):MJ+g}χ!2;q([jAud][ljVK3$ײSJI=/|&tl'*n۽f.frܥ jQO8>&Z];.|7T/C}$ڋUmP2Reҭ8hFF\L 3~e v\۫]ݝNmrnB%*]Z«hKc=BTLG :V74$=Ǘy+EX'4tn(I:Ѝ;Df8c,k1%dJ6.j6ź{N~l6&*fœI7 WAlGOu-ҢH,,(ǔe뿋쩨kM܍ZſgRvQ' 9)?n|er˭|I|-fGK.rΛp8XV1%K6mvG+tc+qE&ǸC_Nm:l=_/m5^[dߌڇ.c<%:)tQ$Ow~-aY;UJ>=F)2[nk؆?훐M=l6[4(O.]2#-H^n#->&mp5~Fӛ+|| S,xag%qkEUzUgæBhߕP(7]kFnq?֖CpruZ6*rEڊtS|*tI*E}7R<,nUU֫^I7Q*mSly%rdȓd8hE<9oHhMfNSRj[i7D[Rj݊+kდq{"$$H?p\̅S?㭻;t~R߁)^/>Qj`yt[w ԛ;²~+ߔ_ YW~|o]?x^ᯛ `ʼn;g)T@vWn]>&4lp+$D̢1l|ȨF%-}.9[}w~ ԠLM9hСablfe&QoW!s?wjLK?s7yO>(=C~_nyǜu?v3vyo oI@qV-jeES^[9WoSܝh"l2C1a͔CiJ@3:Pճw=/7ovuk+\V;lDgն<[A+rX~d;m!_s8ݖ׷;;.0llUC+?i#_crʙ1~C.\–q ul8Hܶ2m`ܻM3Tov|Bs rɵ"oLS- DКw=Tv@f'6|YlD͓Y%׵-#Ѯo%:&!3o%\J<02;K87>^vgƓ# ;ݝmz^Y6=PS39U%~ &f# }o!muH;ʲŇ˷yvP+&.7e[3'vR4Yj̗IZ`e˽3o[WU{ m[sUbۋZǾۆl6~9'V*.\S2<Sd*zY[aŶ`]C$n.v^Ʌ dng>ەZ,Mmϑ :n6nϦezWqUJ4! ۇ4R! =>>Fn|Q[{pRO17ƕ~._I''00k=b՛o}Osðc2'o\3}ݭQ^2 . R1yKȣtAݿ-uܾw!`?1Whn|gzUo[ECWwjUIן)^h#1ɭ!/Z np;o;ΗŻkXs."6E`Z1 עӐ9Kl8qd q} 2Stt;#j>;խabONŗ=fwP1j)l6J̶|gV2`y/0E˛6+ԫ1? 6}KW c\KoKͨ2ۅFw–s*TԞLיuDx .kCzWXhy۶gLu|%TnupǺl-S* PRaLnT+c+*xl.v!.U=|; !_L̎뱚U=4hm:ٯ"y)$:>%(n}X'p[ȴ ^˒4kƓmzDx \ 'NqamP7nyN݅=j7%McSڵj%STy qXymvCg{w/w=wSW5r̹u erծˊsOm=DhEҚRb#n)QOxtվQwe]I}wCa'"[ۂ-z}2UuKP$㜉ԧ:mc<Ý>RoL?wu|%ҷ&K y_!y9 ??:tq3(UU-lkS'ɸ@jdzQˬR] EVPW1DJq2n:,c|ǻ̑;y{X,ۂ.u.b˕u.tKBjQ"[S園S`ٮdNبeJ&9Ơ ~0a(Vm٘L+Jr*vڑE( x0+tp˕ n';wm-ޜMOxX>{#2%jgb2M[`K*\5@8l'e=0u+w ֘鳾{y܀:R*Ya]"Ӧ%ktynlۣ65,3gU}{GYrb;ge'TKwǘ.,rpܚV]Tr,!dp /ԺU,xՉ>s׽~W5oTh yx?xrrx?)?ilbT׬,z$Ԏ.UH٠\U1pU:]JwSrGZq8àd驐,N67QYBӢD㏙W!Q25ϸo9ms-7-%3CihO.J鯽-;MZM8ku-7k9S$8]q2E(}bۏI[DKOK}3KUB^u %Y,u.-&f#]'܆o$x`Yu,dzwM;#oKxn;\[d7}Rb+*Y䛂ZuBӱl{j0O̓}LhK;[aֶaGL{Cb#S.T[>߃F]NK"u^LUʐ_ykW?!GRj29͖qa'0[npcDvV)qz9R)PۨM^aJx W] r>];eN3vxdmĘ(5W2K1䪖weF{mE/QP6\u54x5[hۮ-Nk”i[lUgL]J}5 S:EhiUrgHl!ŒJ$pe=q^b͵Q' ?6|R\,JA ڵ"TDꈭ:ymg`B5t%M] <N_zv2_Ortٵ/i/ReӮ*7[qүqEG* m"[I:6e^p"I$jԴęh!m)]GZkcjS!{e^z}+Cѥ9;R|/ֱeiUԏCNu2Zhcٗg$ݭwvr P8*7/Lk~I'Km1+MW%Bk|oOm>-#qj*|Dbѱkn|n{v#jĮqNpMIUm(7Liz;{ҜݞڝVƚVϬ+sO!OstGvxӉ']uӎ4g_ 1^-8ۦ k!)Ύ5O;YSB#2Zzχ;<.ֵOtge~.(RC#wFZeGZٸ6FFJ4e2ˇpJT$[wgV)q6muDGJ56q\I!̗ y/I~RtJ9kJ]Iy*'FN0s.[l!fw'y(7$œ WƫgyΙdMEU JQJv̋vmrۖ.jWR_M֨djYgSj0^\y'EoECjm$ IƩK>Z28J2TiJ2N#}.s cArl嫶nB.FIJ.)۔\ZiM>/hLĸ=C1s[?YMqp|94- 鮝𦔽/k^#NT(Y LS$6˩}{;5 )B۷W$qpN)qqoot}ZDVә;7TiK|6f3h$dԄ}fqݡ>Nb򗉉+ͶO]>ߡ_VtYf79ڰիF sq~prս|QM)g%l0ocJȨHz V;Bb/kLAcfPJ,ԭ{ƍgpjNR6VSI*$!yV足jᇑ.](EܣqM\qJ2eZT).<9UB/(B0j)mtKEj#׿fDI-=rZړj|'Nڤ]k*i$5qt"ݙPM6E4ke^Z8ۏhz$Q(R Ay2zfRñnpnkbkI:=j &ΝșW?׵d{+ύM'??XqeeĽ.[o=UxFS=ӷdZwenՄ]_X=ĭVa* pKs0ބۍfJ3 gz̚i|wnxtjc¼5${(1fXQ65ȼb̶Zkn>%FQMJXӡ{TZEVNᖣimT/37cNJUPnP҂ZOE~"-Rc4^b- FEͧtf5[)S!OZIښݲ͑;tvܡ+N)AR=hCNn;wL16-:特7M$=Tҕ-.R[HٷnXk sn[ҞD-0WS9p9:-Ϸ-jѬNu{ҹfv)[Ľvwfg(ٷfe+0mYj8Q1\ݧg]Eǎvڿc!4#j5̋C2"}BRriFp7=ô\TZ:\BLfj#I22װ<;صZl j 6:l"6]۸ K'6RTѯ^ئOԓV\?$x7s#r:Oh{ց=MmuHԷd{pN /܅:UE#Yy+(SgQ(Щ)RHzw>^Ѿݻ>mK&^ '$Jۻ&w%F|xfz%˳ L~3N?Cy9 v w/{ƿ kz3x> sXv}vP"@WyC z`'톽Dw%-tt yVY\wmuPYQA0iG-2JP,6/gˢ]u.-n!Zw.N7Q]Df}Q0({a\@=i_X7gFǘ8^⻲}G MZ1)WEfO12G+=-B@z\`||w6ċj߬m}UwRox֢I &c~XGP6Qndpvܻul'V7^FJt^{b^B(L~sѣ6@߿^xqU!ڙ5|Vpvef-uӥ^3  FSDɯKD%0r}FF穛r7 +o"V8tv̖NQU!5uFd"bCr^bJ=֤fM#ʳԷP0O-9xRBm\=`r-:;~3Tl(nXtXi%2Vٛ#vwqƴ`L@"H‹qW.j,JM5B[)WܺUeZFqc'V˷1W7V̾-MHФwn8N;HPSdݷC7&2j.W\τGŎ'Vb]c.x+Rx1%C2T{myg[qU|+m:M:շ8҉yWd)ՋWS%%:iqlʹmGwݹ WnNŤѩ5(9hTٵDdGUi-)vSs2 2{OnT$Xck n:¶(lASLeȔBjμPpTb2~N2~%^k[ܗ[Jzs0ӓHBKq[}JَA-$dFQgjxxFv4r/x*Rm% `4J(&iv7SkԲmSH1YWmx 8n.k']:Z˭_W >ڃXЩ. jTq%Aā[E}amc]D:rmHRiu:uӚӢ\p(5-q%e)(۬ҖȽIf<߽pr&ݫVfY91q2ĭEQgYbTGQ&,yL+N$[q*RVۉQ=FuTܻ>f>f㋳8N6$܌n)9&»iˤsX,݅܍ȩv+sRTpO}d?Wn/Inpȸ%O]StQO|v5\}7Zwb.AIVK^:wb{[uݯcytO߶S<{8KSRׁH̏N7ۚ[xkwYy_'ZӵF+>쌛ZUĦreE9F[24De{}@:ExWs-\ǻ7K-\JNvEk%:s˙#κ].oͳ;լ7wB6nwu:$L; DkI#Wz.:Xp(˅v$Sq,wn\qIN-e<5Oe+vuYTpcojUI_ާP8 O 7&VL8z$_B-H-[uh]T{|8=qVRN-:Ij:7PUtXϷmy鉿:RIM~33ӸS2#׳GdŲ5+/Bx{(WzȨ5Y㞎#|˖+ ط.|e<o/rߔX>7s}VE.OVti׽ .5nNJO"95{#q}Ay9do]R"M6z\tnNS-D!@3N_jicWsy*5uٮRcWv/.,j}=S)j5C^> Ie =gu9ӛqjtz]۪TMoߧI!Ǧ¶m:,"[L!{qAv-o 3{"KʼnrIkfٶj2ƙ؄S`7` k6jzޞ?e5G&6uʷ2%ԒRKE*G\Npom F/V |C0.q_eenƣ<5Oh'67ɪn[SĽ{ڔjǘzs;~׌(ۂ`ܢ1ƣ` _l9Va6%UQWh~P~\F^ZHR@:ۧCJ{ôGeBh;~ۧnU J\O+n2 RҠ)ng}Kh{5+S×ܛ.1ZjG)iRȤIN 4%{oΜ/eO[Nffd ĹK?nnԼMqX'܌nZvq<ķbFnͪaQ`5 s,M_լ?-@_{w{ӺձJ}GF[%v\5[ŒGkOw/ΜM9rjË%2+rd~+󲕛C9U۳r[aJǭm|˒LAʨSCq[XMۺoubfp:t+ΤĻo ][ zt-*67kvS7D·MMCQXm;)܎n_h%]4ܙnRk!]ڵsDUF"`R, &#R_*[z*ZqFXɻ]7|۵w+'pFDەs=r./ᐚm3Hשy yD"jHCr':sA65نѮ^o1V/ f;nFr3VM)e*- s D'H݅fӧ\*޷[k<7u<-]֍Q8R h|p=WlW3s%Q %3l}@U-K6f-NϿu|ڴmWN׮[׸F*mW\%r! C78:޳vBG7ŵ.JթԚ2x)ST!řn~9 W:Wpܢ件{xf8ٳwKE ҰWxVB\qBZ 2wMb[lGSnyԚ~z9ZmያvoN2Afnݽjf>)j3 !;gOYʹK" Wftڎ+׭b*2ϻK>ۢӱeyԪXISUm[z+ugX%0lϏnvg!;t{BqPj>PyvR7Cj]O%+ݲ :qiMj6W}3vC/R=4Som]ŗ=ю, TF6U_-\6MyskwMr&Q\wjKܩyMϣUj0*}RZܷSdY3>Zjqj6TgzpA/M`/Cmл,޻feE[/+uk^Vs1W$G(JsW2ٰu*߻q*Y޵.Wi:ur5T),=0uRmho.twܖiYwrWHntvEj8qhf`Ͻpf(R&>Ki%I7$QӖm-2 ~yߗQ-앑/ x[k8nw.c㩵k}]FkbJl:{.(˩n0Hqvαp7 귎.Gupx[N`Yq'+ruU7[ү+>!xrȫoSo]OC# d^Q]\>!ƛGw^Mx"-+%vdX-:M2UR%d>%l ioSu6lsj7D P>XxHz Ukà(n^Q V>5cVtWj SEiJdznyej[lE' 3kuٌNn4JW)gB {4 j6&]' m-(ZMEz8cz>WZ6#7+[,MR-Z!4ܓtCyE|umj1ƽvƷV\;%>Q :#Le(iVz5 4ũۤUWxX ^(ҔsլB2w-V ^R+; ˂M\z+Uwr+RWY⺧~ Q*JcYSNSλUd8in=v K낫k\IRרSUaCFmϿ5̗P|u ZTԕ}>oYѲ1sfP+sQkX8Gb~6r,s>^\,mGL+7[n-E\.Fqḕcl*Jmjb5 ,m]c}NXfeVlǸJ5eˡ$4%g~N p4Y*WwW٧<8v#;qԩTut,m"#Y D\5V`\\Lȋ];LȇiS6ϝZ l>LruR\v=ǘϔDg=ԈdFZ+M{=|,[;0>RiSi4,S5}yxw&(E7&fݙ4UՕ! ~'Id)]ǽu2K-fޭ \08Vڅ쓬=Vy^^ IhyKR-B#Ըr=]mܻӾ'*Umkoy rTqT_i,/8Q^<ݤ|4ԻO(܄"'5N~#m.(Ҿ2i6Uev&I*<}҄$eNtÛzyWJubW^iBW.܅Wڮg]irO6Ve90sgv.+sV޿aޔ[p?3q*FutUo*eL\KM'EG*ZcAFfG5J 5jj=MJ3OK:k˝'NMB7m3uFҕ\-Ywg%PRqMIyZGY9|μvn߻5cWݷa^+X֥vnݘ\v7m>Fgzv"-;Ew֝}1|RjN𿊀7g#֟*GQQ|#/bo]p$>_Un9гUbn9׃ErQBU-^vDmVh'<R[fdHT]*~}3j;nvjc7s-rӳ Y8[n[1pJx kX[Jk9Mn!_Nю6x:iZ˦U |߉^Ԛ݃hYxk &U^bwKk.[jE+P(˞=9j@snCv7%c_7=xǁ<l {t'酚+1F‹l׭:ݻILruǶkL-L(K0L1&>wXB(pm;1fpnlp֓%Skidkt(U +xulo'/ڕeN r=^pZZ:Pnj8Hf"48ijY[ N[yZٻ+=  ø:3 ?^ܷ^Sr#YK[UF?CuhC b]GM')mڏsNrܗI]ljq6VB. W,UK"YX5{c >Iqā> T:n!,5l2VzCl|+I[*SrjnS6٨y+x,@>П.g+!rn9>N|W>OZT_ut Y""v7|sfި;Pclm EùN,{'fNT%U&LfH8~1v>Il}统u6P˗c(WV~H^bMU.o*oOF0N:_:6Smr_.b+|ݶYY غF,mwjv>f*>QM뭱Sd:`N{l/⎱;n-z~"Gze퇎J5S KG9!Gn;N1 ݎ h6m|S?ɂ5'WOÞ 7|7^ao @mxGmi^jϽ>01Mf0լD3-2T. VXR"ɥV Kl J O7|u?bvа;6.eߓ|[1bmRr,eRz`z 6܎-ͨku͹Fː dPhYgZUj}nvX;z=gVեTv_J }\1n7w2J?ޘγc\E 1Aޑzq;\r]]\Y&[nsNei\uURje*Qk2CSl*xJz-xٶlm+|UjUؓ`Ladqiĩ!Gd\W~fz;Tn*PdRM&T4`չSWq5k훶(N"Ӎ% V]֦wb.nUO!u*J&Oӕ2e|Z=eV쫚΅g#+/RW:طnbi*Wyo)p{:ETKؚR(RY+r웓r(IF) VmȵNB:h Q1ғ|u8E]{,'$-TR[j49l*3"I鯴zhd>Q+\BkNF=.$ZR4Nwհ(IpNi.(Gi33#33e$FXK*NdWrud[r{xnk$v2ıh+J1TQ[#JQl[tRO]LHKٮ NӍnF񨔤֞Em'MILB"ԋ%dBŋ+p̿_17jzT~4pc Vo\ƹb9Rq-'1j;8ܗ)hE%DZKS<璸Bu*%*Yw5ڻ9ۣ^z4U; Ñk\U(o~G?VUĎ:?P?_F_Kߤ~ᓾI |pr.Ok\SklRhҪz{­P .}SktZ7UQ4ڌIM8̈eaӊJZ%FFZu,KZvln廐SNFIVtuNi?CM5]+Ph,{jN JSR$IS^tSUVrORYu.9WyP6 [Kiu m!X|]Y79ӄ)\ģ)pbڳr%*&ꑶ_-H*dzk)1 V3')UAϹٶWRxe'պn۫h7AR9 EAJeGLms!%D| A 5]/Q3eb̄vnVn%za\m kZnv([emqrIҕij|""><hjJשvvǕ|Pޟs}V~2&Z?+2N&Z4w@)4iSڪ_>/JN9Hiۏuf8'It[ȲR.hZ$ȋ_Y ~U<UUO*6b)Ovzڜj\R̋.$FsQuҊj^נ䈈y<zZIuP[}Qm=C?zN(Exqu/kn S-FzKZzOסӽjJ\)F3b!r5ٝ|;6 o=-3*λ]αb\abqRi-w޵⦪~b8Kpo)Z=>)ғ"5/GTZLE-輵f7ݘ۹~+&+w/7GFI:l33fg.N~۲\2|*cnermnnM+Fq"ѪIz%j =YW8@~gc/~?N'?)«qȸs➟n=k" X“m֮VreMh2[uݖ] *FܖN)MȐ`f0 g,C9̑o;ddudJ=In13:ݒvvdMUEJLp^,6t-@͐9'{7m{-3,>hnF;ѰM)->>+Ěz!R* :`e--m7nB\u{b U>[8֪]6^ߤLʦ\DFNo$$dͶlgno8OrsQ\l̯hRo8tuNo+ CTxu!2[>ctFpeޓƻֶR"3QrQuOѳgwQr;S~)6HhZw/GgVTmUf_yt7%$];zLWF̰xy2Ʉu!MCmš_0[W6jf#a-KLi+3Q7c^qg%s<1aYIQeZf+}>;S6L0]Yu_h9߻<ƅpmiM$AVvŚ,*#t2.8Y)-Zhshü97/#Oro"u^/uFgWɺ,p:6a,^x%$Yve^3PƗMnTP&yS}OJ '덫MH^:rXԴJۋ/rI;S*,+yz1hv)Qw^ڍJ2oL׊q(\fDj:^T%vOadɂnS}ZO)N*λdaȜkG_PIEO}нa(^iQX᯦-7^)%g'SJx(.S9zVɴZ{E ))ۅi/s7 VIV-|sj0*UBTHIqRf>FP$KqN0 R̻8j\GcC}IUz\i 6F)Q{Gҧ3qSzKj-Az VЛS-zy:8*mNk|D鿓ND2u+0Yŝ7kqm·?8Ib]u>˗^_>(]vӋzv+ݩ){vZrJ2RQ몋C$z [,pp,8mڊbR]Il .f~d/ݓs㓓mͶ{mgjQwn=Oic9ܚm4Q/6ݨ[TƧ?nԶoytf{@AzT{e{[O'ZRZt~AGD?s3􌿂ՉIw'|~U\ w~di:Kޱ)U/sU%njѩ&GSP^ǝd)..!^U` 1wX[aԇSxoFV6_扐)T 2Mfd=ۖͭiZ7KK Bi9%7@<3<ճԻU,},a}FRqɛr i@ONJvK KLN M, ʖv0n-]DwlI-X6ܶ$Jʴh5O+mOI+Ra瞠\ MG7BفjYo1#͖0V`Ѱ2M?c8>-Crt*JkIGS:e#hPKx[鱼>{5m;wcն&>j-M֥^َ) 6yȜl_w{-ō̱r> U=]iw3)r*]:K]6BdCTZ|>gf}LW}[$'Y5 &c -j.z6R 67MԷFMnÌwI7w5E}o޽+K ֵy4܌ȥW"COyR[q5Ӱ͙f[v"_#q{MV6܍3"u9BK(41ӯqˇc${ߝCi6I(OmθzҜ5k^:>Jzw.>qV8{vU[ڶEm|DžBz].KHjI]x;Mɗ{m,qZXr忇2u^RO2Z}ZێS[2Jen!*NDcrBUً4<ǼMҲs1Zw57c3&ĖڻzmP*FuJG1-dN:|OU}ҵgi2t~F^^Z.VxjvŧnNNh<:]^~NN+ge^g.SԔGFe߯'[vn'(ScJ]kܗ7eJOlRrfziݮq̋S"\*U<*W]k$FջV}? 7g#֟*GQQ|#/bo]p$>_Un9;l S VvQU%OLU{οmU6bZ1MTx%!֙Q7, J=!3 ;Q,ڌ;6ͱ݅q^&ߔ·n #WbwӖX.HtG)N&d̵zpI,n cu ޖUj+VXUp[w]N o.J6Z8Ts&utxln;~HPHS/xw`G\ʡ¿rj Z^vt"[L:SD\h0sUwR,}[x^X,R2Vn< ]2YDr[SRKs8tXb̷G?Ps Tv 3be,zVz D[/I.KOEQrm'$7|[J>r S`5յwT#\w1FTz\Ԛ &"ׅhSHrD\'r]~/>p;:Piuu:"9ő=tTaS7V2rӷk7mb[^WmPp*[y.Þ6f]cizJCgRR@UVl큝.WJP1N{/\whZ ػϧӱE7|E֫Sί.x-Y&pi%v''-x6r'Ws*6=DwwUu]=C?MK [yrtܒG$!WGqJ*%SAz ED[^)/tė/g=#Omd.|^n/sl׉g DZqemqowݮRzUܜ=ڽ-o/Iۖ;qVʘgPp|mm;6zGl9.8pwWgsJ2qPbe}}UpNjٯ}7TMQKrؽtEx%v w߾8%|j;~|}pK]ơ/ w߾8%|j;~|}pK]ơ/ w&~e_H 8PL7:%ʭ5Kw&U2vwR_+rm'}C7#rWoO&HoG?M$UR7{FU]u ;# !Wk`|W>׹潇9Vn)6)*ҹ{%qV4q>W1vi#T"Qk&GwxcJBJ- Ϸ^ˁxkU}ԣ/3.;]J=<*)cS)ROK9H=,r zX @)cS)Da^ԽQ gxJI=w֣gf*TRj

Corresponding author (mylee9@seoul.go.kr)
• Received: October 13, 2010   • Revised: December 13, 2010   • Accepted: December 16, 2010

© 2011, Korean Society for Parasitology

This is an Open Access article distributed under the terms of the Creative Commons Attribution Non-Commercial License (http://creativecommons.org/licenses/by-nc/3.0) which permits unrestricted non-commercial use, distribution, and reproduction in any medium, provided the original work is properly cited.

  • 10,907 Views
  • 80 Download
  • 10 Crossref
  • 9 Scopus
prev next
  • To understand the distribution of Giardia cysts in drinking water supplies in Seoul, Korea, we collected water samples quarterly at 6 intakes in the Han River, its largest stream and 6 conventional water treatment plants (WTPs) serving drinking water, from 2000 to 2009. Giardia cysts in each of 10 L water were confirmed in 35.0% of intake water samples and the arithmetic mean was 1.65 cysts/10 L (range 0-35 cysts/10 L). The lowest cyst density was observed at Paldang and Kangbuk intakes, and the pollution level was higher at 4 intakes downstream. It seemed that these 4 intakes were under influence of Wangsuk stream at the end of which cysts were found in all samples with the mean of 140 cysts/10 L. The annual mean number of cysts was 0.21-4.21 cysts/10 L, and the cyst level at the second half of the 10 years was about 1/5 of that at first half on average. The cysts were more frequently found in winter, and their mean density was 3.74 cysts/10 L in winter and 0.80-1.08 cysts/10 L in other seasons. All finished water samples collected at 6 WTPs were negative for Giardia in each of 100 L sample for 10 years and cyst removal by physical process was average 2.9-log. It was concluded that conventional water treatment at 6 WTPs of Seoul appears to remove the cysts effectively under the present level of their source water. Domestic wastewater from the urban region could be an important source of Giardia pollution in the river.
Giardia lamblia (syn. G. duodenalis, G. intestinalis) is an intestinal flagellate that infects a wide range of vertebrate hosts, such as domestic and wild mammals, including humans. Theses flagellates have a simple 2-stage life cycle consisting of the reproductive trophozoite stage and the environmentally robust cyst stage. Cysts are shed by infected hosts into the environment and these cysts can survive in the environment for months without losing their infectivity [1]. Transmission occurs through various routes, such as person-to-person spread, animal contact, or ingestion of polluted food or water .
Especially, this protozoan parasite has been recognized as a frequent cause of waterborne disease [2,3], because of their strong resistance against chlorine disinfection [4] as well as the low minimum infectious dose [5]. Many of waterborne outbreaks in 1980s have been associated with the ingestion of un-treated surface water by hikers and campers in the USA, Canada, England, Sweden, but giardiasis outbreaks have not been limited only to these people. Some waterborne outbreaks were reported in some municipal drinking water systems, and then the United States Environmental Protection Agency (USEPA) have regulated treatment techniques for a sufficient removal of Giardia cysts at water treatment plants as one of the drinking water rules [4].
Although there have not been any documented giardiasis outbreaks associated with drinking water in South Korea, there have been some reports on the cases of giardiasis in humans and animals [6,7]. Huh et al. [8] reported that the most predominant protozoan was G. lamblia (2.5%) among gastroenteritis patients from 2004 to 2006 in Gyeonggi-do. Kim et al. [9] studied that G. lamblia infection among the habitants in the upper stream of Daechong Dam was 0.3%. Some studies [10,11] have reported the occurrence of G. lamblia cysts in the river and sewage water environment. However, there has been no long-term survey on Giardia cysts in drinking water supply system in South Korea, which was necessary to develop a long-term strategy for the safety of drinking water. The present study was conducted over a 10-year period to determine the occurrence of Giardia cysts in the Han River as source water of municipal drinking water in the Metropolitan area of South Korea, to estimate their pollution source and to evaluate the removal efficiency of oocysts by their 6 conventional Water Treatment Plants.
Surface water samples
From 2000 to 2009, surface water samples were collected quarterly at 6 intakes along the Han River that included an intake on the end of a reservoir and 5 intakes on the downriver (Fig. 1). The Han River is the only water supply source for 20 million people of the Seoul Metropolitan area. Six intakes in the Han River supply source water for 6 Water Treatment Plants (WTPs) of Seoul. We also collected water samples at the end of Wangsuk stream, coming to the middle of the Han River. About the half of this stream flow was made up of treated effluents from 2 adjacent Sewege Treatment Plants (STPs). Two STPs treated sum of 0.16×106 m3/day by activated sludge treatment and the secondary effluents were discharged without any dis-infection until 2004 and with ozone disinfection since 2005.
Drinking water samples and log removal by conventional water treatments
We collected treated water samples quarterly from 6 WTPs of Seoul for 10 years, which served total 3.27-4.34×106 m3/day. Physical treatment process included poly-aluminium chloride coagulation, flocculation, sedimentation, single-media rapid sand filtration, and then subsequently disinfection using chlo-rine gas. During the winter of first 1-year survey, the level of cysts in source water was the highest. We sampled settled and sand-filtered water at some plants and calculated the removal efficiency of Giardia cysts by each treatment process of full-scale plants as the following:
Log removal=Log ([concentration at the inlet of the process]/[concentration at the outlet of the process])
Pre-treatment of environmental water samples to detect Giardia cysts
We used USEPA Method 1623 to detect Giardia cysts in the large volume of water samples [12]. This method combined concentration and immunomagnetic separation (IMS) with immunofluorescence assay (IFA). First, capsule filtration technique (Envirochek™, Pall Corporation, Ann Arbor, MI, USA) was used for river water and stream water of 10 L and membrane filtration with 142 mm-diameter, 2 µm-pore disk for treated water samples of 100 L. Filta-Max™ filtration (IDEXX, Laboratories, Inc., Westbrook, Maine, USA) was used for evaluation of the removal efficiency and direct centrifugation for sewage effluents of 1 L. All materials on each filter were eluted and concentrated. For IMS, cysts in the pellets were magnetized by attachment of magnetic beads conjugated to anti-Giardia antibodies (Dynabead GC-Combo, Dynal., Oslo, Norway). The magnetized cysts were separated from the extraneous materials using a magnet (MPC-1, Dynal., Oslo, Norway), and the extraneous materials were discarded. The magnetic bead complex was then detached from the cysts by the change of pH.
Staining and examination of Giardia cysts
We stained purified samples on well slides with fluorescence labeled, anti-Giardia monoclonal antibodies (MeriFluor, Meridian Bioscience, Inc., Cincinnati, Ohio, USA) and 4,6-diamid-ino-2-phenylindole. Using fluorescence and differential interference contrast microscopy, we counted the objects with the size of 8-18 µm long by 5-15 µm wide, round to oval shape, and brilliant apple-green fluorescence characteristics of Giardia cysts by scanning each slide well.
Quality control of cyst detection and various water quality parameters
Routinely we analyzed the percent recoveries from spiked control samples (EasySeed™, BTF, Sidney, Australia) prepared by flow cytometer. Routine matrix spike recoveries were calculated from a pair of unspiked and spiked field samples, and then they were average 52% (range 17-84%) with a relative standard deviation of 37% for river water samples of this study. When samples were concentrated by other techniques, recoveries were similar and comparable, too. Matrix spike recoveries using Filta-Max™ filtration were average 49% (range 32-70%) and those using membrane filtration were average 63% (range 32-83%). Method blanks using reagent water were routinely analyzed and then all tested blanks were negative. We simultaneously tested various water physiochemical quality parameters, such as turbidity, particle counts, total nitrogen, pH, temperature, and indicator bacteria, such as total coliforms, fecal coliforms, aerobic spore formers with Giardia cysts. Microsoft Excel and Minitab program were used for statistical analysis.
Intake water samples
Cysts with internal structures, such as nuclei, median body, axonemes (Fig. 2), or amorphous structure, were confirmed in 35.0% of intake water samples and the arithmetic mean was 1.65 cysts/10 L with maximum of 35 cysts/10 L (Table 1). With their typical size, shape, brilliant apple-green fluorescing, ovoid, or spherical under a blue filter block of epifluorescence microscopy, they had up to 4 sky-blue nuclei or intense blue internal staining under a UV filter. There were many fluorescing empty cysts or cyst-like objects without internal structures in environmental water samples. When the empty cysts (Fig. 3) were added to the count of confirmed cysts, presumptive cysts were detected in 58.3% of intake water samples, and the mean was 4.75 cysts/10 L. Because empty cysts without internal structures might have already been unviable, and so, had no influence on human health or could be only cyst-like diatoms, such as Navicula minima, presumptive cysts might be the maximized possibility of cyst pollution [13]. Analyzing the source water of 80 WTPs by similar detection method, USEPA reported that Giardia cysts were detected in 83% of WTPs, and the mean concentration of total cysts was 0.27 cysts/L [14].
Geographical distribution of Giardia cysts in the Han River and its largest stream
The pollution level of each intake by Giardia cysts was a little different. The lowest concentration of confirmed cysts was observed in Paldang intake water samples (R1) with 0.13 cysts/10 L as the arithmetic mean and 10.0% as the positive percent. Cysts in Kangbuk (R2) intakes water samples were found in similar levels to R1 with 0.20 cysts/10 L and 15.0% (Table 1). However, the cyst pollution level increased at Amsa (R3), Kuui (R4), Jayang (R5), and Pungnap (R6) intakes, in which their means was 1.73-2.91 cysts/10 L, and their maximum values were higher with 23-35 cysts/10 L.
From 2000 to 2006, total 28 water samples were collected at the end of Wangsuk stream quarterly. As a result, confirmed cysts were found in all samples and the arithmetic mean was 140 cysts/10 L with the range 1-2,142 cysts/10 L (Table 2). Lee et al. [11] surveyed the cyst pollution level of Wangsuk stream and these 2 STPs at a distance of 1 kilometer from the end of the stream together in 1999 and reported that confirmed cysts were positive in all 1 L discharge of these STPs, and the mean at the discharges and Wangsuk stream water samples was 1.5-12.6 cysts/L and 46 cysts/10 L, respectively [11]. Year-round de-tection of cysts in the stream under the influence of sewage may reflect the chronic shedding of cysts by people. Although we did not investigate STPs in this study, it seemed that the pollution level of cysts at Wangsuk stream until 2003 was still similar to, or little higher than, that in 1999.
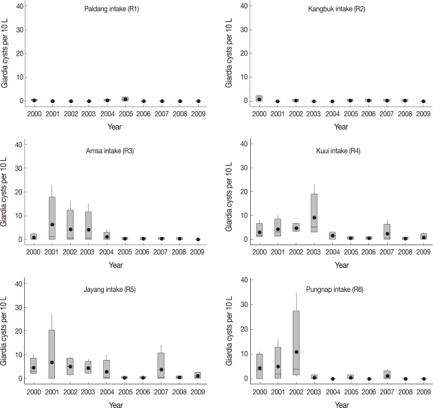
The cyst level of Wangsuk stream showed a decrease after the operation of ozone disinfection process at STPs and the installation of new STP in summer of 2004. This decrease at the end of Wangsuk stream was related with the low occurrence of cysts at R3 to R6 since 2004 (Fig. 4). This suggests that domestic wastewater from the urban region was a very important source of Giardia pollution in the river, and separating sewage system adjacent to intakes may be critical in the Metropolitan area of South Korea.
Giardia cysts and indicators
Computing Pearson's correlation coefficients (r) between cysts and various water quality parameters, occurrence of confirmed cysts in surface water showed the correlation with total nitrogen (r=0.434, P<0.0001), NH3-N (r=0.391, P<0.0001), total coliforms (r=0.246, P<0.0001), fecal coliforms (r=0.218, P<0.0001), which generally act as indicators for fecal pollution of water quality. Although previous studies suggested that coliforms were not a helpful indicator for parasite pollution [15,16], this result implied that coliforms could be used as an indicator in case that surface water was under the direct influence of sewage. Less than 5 cysts/10 L was detected in all surface water samples with less than 500 CFU/100 mL of total coliforms. Also the cyst level in all surface water samples with less than 50 CFU/100 mL of fecal coliforms was less than 10 cysts/10 L.
Drinking water samples from 6 water treatment plants
No Giardia cyst was found in each of 100 L of drinking water samples collected quarterly at 6 conventional WTPs from 2000 to 2009. Total coliforms were not detected in all 100 mL sam-ples. Wallis et al. [17] proposed less than 3-5 cysts/100 L of drinking water as the action level of Giardia to prevent waterborne outbreak, which was based on the epidemiological survey of giardiasis outbreaks. It means that 6 WTPs in the Metropolitan area of South Korea were estimated to have removed cysts effectively to prevent outbreak under the present level of pollution of source water and to have supplied safe drinking water against Giardia cysts during the period of this study.
Removal of Giardia cysts at full scale conventional water treatment plants
As a result of 8 full-scale tests to evaluate log removal of presumptive cysts, average 1.1-log removal was achieved by sedimentation process. The 13 full-scale tests resulted in average 2.9-log with exceeded 2.2-3.1-log removal by whole physical process. Considering that this evaluating on removal efficiency was performed in winter of 2001 and 2002, the removal efficiency might be improved a little more since the enforcement of the law for 3-log removal of Giardia cysts in 2004 of Korea. This results was similar to the previous studies, in which Hashimoto et al.[18] reported average 2.9-log removal of cysts by physical processes of a full scale WTP of Japan, and Niminski et al. [19] confirmed 2.8-3.7 log removal.
To understand the distribution of Giardia cysts in drinking water supplies in Seoul, the Republic of Korea, we performed a 10-year survey on 6 intakes of the Han River and their WTPs from 2000 to 2009. Although all finished water samples collected at 6 WTPs were negative for Giardia in each of 100 L sample for 10 years, the cysts were found frequently in intake water samples and the level of the cyst pollution depended on the intake sites.
Although the detection method applied for this study had a limitation to determine the species and viability of detected cysts, it seemed that a portion of the cysts would be viable G. lamblia cysts. In the past studies, we performed PCR analysis to determine the species and to estimate the viability [20]. We reported that 33% of the Han River water samples were positive for G. lamblia by amplification of β-giardin gene and a nested PCR, and 11% was estimated to contain some viable G. lamblia cysts by reverse transcription PCR [20].
From the result of this study that cysts with internal structures were confirmed in 35.0% of intake water samples and the arithmetic mean was 1.65 cysts/10 L with a maximum of 35 cysts/10 L, it seemed that the cyst level of the Han River water samples was higher than the level of Cryptosporidium, 1 of the 2 important waterborne protozoans causing frequent outbreaks. Lee et al. [21] reported that confirmed oocysts with internal structures or amorphous structure were found in 19.2% of intake water samples collected from the Han River, and the arithmetic mean was 0.52 oocysts/10 L (0-22 oocysts/10 L, n=240). Similarly, some surveys in the USA and Japan reported a tendency that the Giardia cyst level was higher than that of the Cryptosporidium oocysts. In the survey of 94 sources of water supply in Japan, the positive rate and detection range of cysts was 17.0% and 1-14 cysts/10 L, which was higher than that of Cryptosporidium oocysts with 6.4% and 1-4 oocysts/10 L.
During the 10 years, annual averages of cysts in intake water samples were variable as 0.21-4.21 cysts/10 L (Table 3). The mean of cysts at the first half of the 10 years was 2.82 cysts/10 L, and that at the second half was 0.48 cysts/10 L. The R3 to R6 intake water samples showed a little higher level until 2004 and the clearly lower level of cyst concentration since 2005, although most of R1 and R2 samples showed no cyst detection all the year round during this survey (Fig. 4). The significant decrease at the end of Wangsuk stream after the operation of ozone disinfection process at STPs and the installation of new STP in summer of 2004 seemed to have resulted in the low occurrence of cysts at R3 to R6 since 2004. As a result, the cyst level at the second half of the 10 years was significantly lower than the first half of the 10 years on average by 2-sample t-Test (P<0.0001).
The frequency and concentration of cysts in the river water were more frequent in winter (Table 4). The positive percent of 43.3% for confirmed cysts on first quartile was a little higher than 25.0-31.7% of the second, third, and fourth quartile. The mean density of cysts was 3.74 cysts/10 L in winter and 0.80-1.08 cysts/10 L in other seasons. This seasonal trend was found repeatedly every year. It seems to be related to the stronger resistance of cysts in low temperature [1] and the lowest rainfall during winter in South Korea. The range of temperature measured with sampling was 0-10℃ for the first quartile, 12-23℃ for the second, 20-27℃ for the third and 4-23℃ for the fourth.
It is concluded that conventional water treatment at 6 WTPs of Seoul appeared to have removed Giardia cysts effectively under the present level of their source water; however, water treat-ment should be performed more carefully in winter. The domestic wastewater from the urban region could be an important source of Giardia pollution in the river. Therefore, routine monitoring on human infections and water pollution by Giardia cysts is needed.
The authors thank Office of Waterworks, Seoul Metropolitan Government for long-term supports and Prof. Jong-Yil Chai, Department of Parasitology and Tropical Medicine, Seoul National University College of Medicine, for his careful and helpful advice on this study.
  • 1. deRegnier DP, Cole L, Schupp DG, Erlandsen SL. Viability of Giardia cysts suspended in lake, river, and tap water. Appl Environ Microbiol 1989;55:1223-1229.
  • 2. Craun GF. In Erlandsen SL, Meyer EA, editors. Waterborne outbreaks of giardiasis, current status. Giardia and Giardiasis: Biology, Pathogenesis, and Epidemiology. 1984. New York, USA. Plenum Publishing Corp; p. 243-261.
  • 3. Herwalt BL, Kramer HM, Craun GF, Calderon RL, Juranek DD. Waterborne diseases: 1993 and 1994. J Am Water Works Assoc 1996;88:66-79.
  • 4. USEPA. National Primary Drinking Water Regulations; Surface Water Treatment Rule. 1989. p. 141.70-141.80.
  • 5. Schaefer FW 3rd, Johnson CH, Hsu CH, Rice EW. Determination of Giardia lamblia cyst infective dose for the Mongolian gerbil (Meriones unguiculatus). Appl Environ Microbiol 1991;57:2408-2409.
  • 6. Cho SH, Lee KY, Lee BC, Cho PY, Cheun HI, Hong ST, Sohn WM, Kim TS. Prevalence of clonorchiasis in southern endemic areas of Korea in 2006. Korean J Parasitol 2008;46:133-137.
  • 7. Cheun HI, Cho SH, Lee JH, Lim YY, Jeon JH, Yu JR, Kim TS, Lee WJ, Cho SH, Lee DY, Park MS, Jeong HS, Chen DS, Ji YM, Kwon MH. Infection status of hospitalized diarrheal patients with gastrointestinal protozoa, bacteria, and viruses in the Republic of Korea. Korean J Parasitol 2010;48:113-120.
  • 8. Huh JW, Moon SG, Lim YH. A survey of intestinal protozoan infections among gastroenteritis patients during a 3-year period (2004-2006) in Gyeonggi-do (Province), South Korea. Korean J Parasitol 2009;47:303-305.
  • 9. Kim CH, Na YE, Kim NM, Shin DW, Chang DY. Intestinal parasite and Clonorchis sinensis infection among the inhabitants in the upper stream of Taechong Dam, Kumgang (River). Korean J Parasitol 1994;32:207-214.
  • 10. Lee MY, Kim DY, Cho EJ, Lee EK, Oh SJ. Detection of Giardia and Cryptosporidium in water supplies in Seoul using Method 1623. J Korean Soc Water Qual 2000;16:595-608.
  • 11. Lee MY, Kim DY, Cho EJ, Lee EK, Oh SJ. Occurrence and characteristics of Cryptosporidium, Giardia and indicator bacteria from sewage treatment plants. In Autumn Conference of Korean Society on Water Quality and Korean Society on Water and Wastewater. 2000. 73-76.
  • 12. USEPA. Method 1623: Cryptosporidium and Giardia in Water by Filtration/IMS/FA. 1999. EPA 821-R-97-023.
  • 13. Rodgers MR, Flanigan DJ, Jakubowski W. Identification of algae which interfere with the detection of Giardia cysts and Cryptosporidium oocysts and a method for alleviating this interference. Appl Environ Microbiol 1995;61:3759-3763.
  • 14. USEPA. National Primary Drinking Water Regulations; Long Term II Enhanced Surface Water Treatment Rule (Pre-proposal draft for stakeholder review). 2001.
  • 15. Chauret C, Armstrong N, Fisher J, Sharma R, Springthorpe S, Satter S. Correlating Cryptosporidium and Giardia with microbial indicators. J Am Water Works Assoc 1995;87:76-83.
  • 16. Hashimoto A, Hirata T. Cryptosporidium oocysts and Giardia cysts in Sagami river and its tributaries. J Jap Soc Water Environ 1998;21:119-122.
  • 17. Wallis PM, Erlandsen SL, Isaac-Renton JL, Olson ME, Robertson WJ, van Keulen H. Prevalence of Giardia cysts and Cryptosporidium oocysts and characterization of Giardia spp. isolated from drinking water in Canada. Appl Environ Microbiol 1996;62:2789-2797.
  • 18. Hashimoto A, Kunikane S, Hirata T. Prevalence of Cryptosporidium oocysts and Giardia cysts in the drinking water supply in Japan. Water Res 2002;36:519-526.
  • 19. Niminski EC, Ongerth JE. Removing Giardia and Cryptosporidium by conventional treatment and direct filtration. J Am Water Works Assoc 1995;87:96-106.
  • 20. Cho EJ, Lee MY, Byun SH, Han SH, Ahn SK. Detection of Giardia lamblia in river water samples using PCR and RT-PCR. J Korean Soc Environ Eng 2007;29:904-908.
  • 21. Lee MY, Cho EJ, Lee JH, Han SH, Park YS. A survey of Cryptosporidium oocysts in water supplies during a 10-year period (2000-2009) in Seoul. Korean J Parasitol 2010;48:219-224.
Fig. 1
Sampling sites in the Han River around Seoul, Republic of Korea.
kjp-49-9-g001.jpg
Fig. 2
Micrographs of typical Giardia cysts confirmed by fluorescence microscopy using differential interference contrast optics, found in 2 intake water samples (A, B) from the Han River. (Left) A brilliant apple-green fluorescing, ovoid cyst, 8-18 µm long by 5-15 µm under a blue filter, (Middle) 1-4 blue points by DAPI nuclei staining under a UV filter, (Right) Internal structures, such as nuclei, median body, and axonemes are seen by DIC.
kjp-49-9-g002.jpg
Fig. 3
Micrographs of empty Giardia cyst or cyst-like objects observed by fluorescence microscopy using DIC, found in 2 intake water samples (A, B) of the Han River.
kjp-49-9-g003.jpg
Fig. 4
Yearly distribution of Giardia cysts at 6 intakes of the Han River (2000-2009). ●: mean, □: range between the first quartile and the third quartile.
kjp-49-9-g004.jpg
Table 1.
Occurrence of Giardia cysts in river water samples selected periodically from various sites of the Han River in South Korea (2000-2009, n=240)
Table 1.
Sitesa P.Pb Confirmed no. cysts /10 L
P.Pb Presumptive no. cysts /10 L
A.Mc 90th Percentile Range A.Mc 90th Percentile Range
R1 10.0 0.13 0.1 0-2 37.5 0.65 2.1 0-5
R2 15.0 0.20 1.0 0-3 47.5 1.18 2.0 0-16
R3 30.0 1.73 3.1 0-23 60.0 4.10 8.5 0-46
R4 65.0 2.68 7.1 0-23 75.0 7.35 20.6 0-47
R5 42.5 2.91 9.1 0-27 72.5 7.36 18.1 0-69
R6 32.5 2.28 5.2 0-35 57.5 7.88 20.4 0-112
Total 35.0 1.65 7.0 0-35 58.3 4.75 18.1 0-112

aR1, Paldang; R2, Kangbuk; R3, Amsa; R4, Kuui; R5, Jayang; R6, Pungnap;

b% of positive samples;

carithmetic mean.

Table 2.
Yearly occurrence of Giardia cysts at the end of Wangsuk stream (2000-2006)
Table 2.
Year Confirmed no. cysts /10 L
Presumptive no. cysts /10 L
A.Ma G.Mb Range A.Ma G.Mb Range
2000 85 69 42-191 158 138 63-278
2001 553 55 5-2,142 827 130 30-3,162
2002 161 146 87-238 255 195 57-455
2003 118 85 22-240 241 179 48-470
2004 29 17 5-83 96 47 16-306
2005 11 6 1-26 18 12 3-41
2006 20 10 1-41 30 20 3-49
Total 140 34 1-2,142 232 69 3-3,162

aarithmetic mean;

bgeometric mean.

Table 3.
Yearly occurrence of Giardia cysts at 6 intakes of the Han River (2000-2009)
Table 3.
Year P.Pa Confirmed no. cysts /10 L
P.Pa Presumptive no. cysts /10 L
A.Mb 90th Percentile Range A.Mb 90th Percentile Range
2000 54.2 2.29 7.7 0-11 91.7 6.67 18.1 0-27
2001 41.7 3.71 14.2 0-27 87.5 11.29 40.0 0-69
2002 62.5 4.21 8.4 0-35 83.3 13.42 26.1 0-112
2003 45.8 2.98 7.7 0-23 79.2 8.06 23.6 0-47
2004 25.0 0.92 3.0 0-10 58.3 3.29 10.3 0-30
2005 33.3 0.42 1.0 0-2 33.3 0.67 2.7 0-3
2006 20.8 0.21 1.0 0-1 58.3 1.08 2.7 0-4
2007 33.3 1.29 3.1 0-14 37.5 1.75 4.8 0-17
2008 20.8 0.21 1.0 0-1 29.2 0.29 1.0 0-1
2009 12.5 0.29 0.7 0-3 33.3 1.00 1.7 0-10
Total 35.0 1.65 7.0 0-35 41.7 4.75 18.1 0-112

a% of positive samples;

barithmetic mean.

Table 4.
Seosonal trends of Giardia cysts at 6 intakes of the Han River (2000-2009)
Table 4.
Seoson P.Pa Confirmed no. cysts /10 L
P.Pa Presumptive no. cysts /10 L
A.Mb 90th Percentile Range A.Mb 90th Percentile Range
Winter 43.3 3.74 14.1 0-27 78.3 9.86 27.3 0-69
Spring 26.7 1.08 1.1 0-35 51.7 3.18 3.1 0-112
Summer 31.7 0.98 2.0 0-11 51.7 3.28 9.3 0-31
Autumn 25.0 0.80 3.0 0-8 51.7 2.68 10.0 0-19
Total 35.0 1.65 7.0 0-35 58.3 4.75 18.1 0-112

a% of positive samples;

barithmetic mean.

Download Citation

Download a citation file in RIS format that can be imported by all major citation management software, including EndNote, ProCite, RefWorks, and Reference Manager.

Format:

Include:

A Ten-year Survey of Giardia Cysts in Drinking Water Supplies of Seoul, the Republic of Korea
Korean J Parasitol. 2011;49(1):9-15.   Published online March 18, 2011
Download Citation

Download a citation file in RIS format that can be imported by all major citation management software, including EndNote, ProCite, RefWorks, and Reference Manager.

Format:
Include:
A Ten-year Survey of Giardia Cysts in Drinking Water Supplies of Seoul, the Republic of Korea
Korean J Parasitol. 2011;49(1):9-15.   Published online March 18, 2011
Close

Figure

  • 0
  • 1
  • 2
  • 3
A Ten-year Survey of Giardia Cysts in Drinking Water Supplies of Seoul, the Republic of Korea
Image Image Image Image
Fig. 1 Sampling sites in the Han River around Seoul, Republic of Korea.
Fig. 2 Micrographs of typical Giardia cysts confirmed by fluorescence microscopy using differential interference contrast optics, found in 2 intake water samples (A, B) from the Han River. (Left) A brilliant apple-green fluorescing, ovoid cyst, 8-18 µm long by 5-15 µm under a blue filter, (Middle) 1-4 blue points by DAPI nuclei staining under a UV filter, (Right) Internal structures, such as nuclei, median body, and axonemes are seen by DIC.
Fig. 3 Micrographs of empty Giardia cyst or cyst-like objects observed by fluorescence microscopy using DIC, found in 2 intake water samples (A, B) of the Han River.
Fig. 4 Yearly distribution of Giardia cysts at 6 intakes of the Han River (2000-2009). ●: mean, □: range between the first quartile and the third quartile.
A Ten-year Survey of Giardia Cysts in Drinking Water Supplies of Seoul, the Republic of Korea
Sitesa P.Pb Confirmed no. cysts /10 L
P.Pb Presumptive no. cysts /10 L
A.Mc 90th Percentile Range A.Mc 90th Percentile Range R1 10.0 0.13 0.1 0-2 37.5 0.65 2.1 0-5 R2 15.0 0.20 1.0 0-3 47.5 1.18 2.0 0-16 R3 30.0 1.73 3.1 0-23 60.0 4.10 8.5 0-46 R4 65.0 2.68 7.1 0-23 75.0 7.35 20.6 0-47 R5 42.5 2.91 9.1 0-27 72.5 7.36 18.1 0-69 R6 32.5 2.28 5.2 0-35 57.5 7.88 20.4 0-112 Total 35.0 1.65 7.0 0-35 58.3 4.75 18.1 0-112 Year Confirmed no. cysts /10 L
Presumptive no. cysts /10 L
A.Ma G.Mb Range A.Ma G.Mb Range 2000 85 69 42-191 158 138 63-278 2001 553 55 5-2,142 827 130 30-3,162 2002 161 146 87-238 255 195 57-455 2003 118 85 22-240 241 179 48-470 2004 29 17 5-83 96 47 16-306 2005 11 6 1-26 18 12 3-41 2006 20 10 1-41 30 20 3-49 Total 140 34 1-2,142 232 69 3-3,162 Year P.Pa Confirmed no. cysts /10 L
P.Pa Presumptive no. cysts /10 L
A.Mb 90th Percentile Range A.Mb 90th Percentile Range 2000 54.2 2.29 7.7 0-11 91.7 6.67 18.1 0-27 2001 41.7 3.71 14.2 0-27 87.5 11.29 40.0 0-69 2002 62.5 4.21 8.4 0-35 83.3 13.42 26.1 0-112 2003 45.8 2.98 7.7 0-23 79.2 8.06 23.6 0-47 2004 25.0 0.92 3.0 0-10 58.3 3.29 10.3 0-30 2005 33.3 0.42 1.0 0-2 33.3 0.67 2.7 0-3 2006 20.8 0.21 1.0 0-1 58.3 1.08 2.7 0-4 2007 33.3 1.29 3.1 0-14 37.5 1.75 4.8 0-17 2008 20.8 0.21 1.0 0-1 29.2 0.29 1.0 0-1 2009 12.5 0.29 0.7 0-3 33.3 1.00 1.7 0-10 Total 35.0 1.65 7.0 0-35 41.7 4.75 18.1 0-112 Seoson P.Pa Confirmed no. cysts /10 L
P.Pa Presumptive no. cysts /10 L
A.Mb 90th Percentile Range A.Mb 90th Percentile Range Winter 43.3 3.74 14.1 0-27 78.3 9.86 27.3 0-69 Spring 26.7 1.08 1.1 0-35 51.7 3.18 3.1 0-112 Summer 31.7 0.98 2.0 0-11 51.7 3.28 9.3 0-31 Autumn 25.0 0.80 3.0 0-8 51.7 2.68 10.0 0-19 Total 35.0 1.65 7.0 0-35 58.3 4.75 18.1 0-112
Table 1. Occurrence of Giardia cysts in river water samples selected periodically from various sites of the Han River in South Korea (2000-2009, n=240)

R1, Paldang; R2, Kangbuk; R3, Amsa; R4, Kuui; R5, Jayang; R6, Pungnap;

% of positive samples;

arithmetic mean.

Table 2. Yearly occurrence of Giardia cysts at the end of Wangsuk stream (2000-2006)

arithmetic mean;

geometric mean.

Table 3. Yearly occurrence of Giardia cysts at 6 intakes of the Han River (2000-2009)

% of positive samples;

arithmetic mean.

Table 4. Seosonal trends of Giardia cysts at 6 intakes of the Han River (2000-2009)

% of positive samples;

arithmetic mean.