Skip to main navigation Skip to main content
  • KSPTM
  • E-Submission

PHD : Parasites, Hosts and Diseases

OPEN ACCESS
ABOUT
BROWSE ARTICLES
FOR CONTRIBUTORS

Articles

Original Article

Quantitative PCR surveillance of Perkinsus marinus in Crassostrea virginica and Magallana gigas across the USA, Mexico, Brazil, and Korea

Parasites, Hosts and Diseases 2026;64(2):153-160.
Published online: March 11, 2026

1Pathology Division, National Institute of Fisheries Science (NIFS), Busan, Korea

2Department of Aquatic Life Medicine, College of Ocean and Biosciences, Kunsan National University, Gunsan, Korea

3Research Institute of Fisheries Science in Offshore Wind Farms (RIFO), Kunsan National University, Gunsan, Korea

4Department of Aquatic Life Medical Sciences, Sunmoon University, Asan, Korea

5Lab. de Ecología Molecular, Departamento de Investigaciones Científicas y Tecnológicas, Universidad de Sonora, Hermosillo, Mexico

6Laboratory of Immunology and Pathology of Marine Invertebrates (LABIPI), Department of Molecular Biology, Federal University of Paraíba (UFPB), João Pessoa, Brazil

*Correspondence: sdnkb, sanjayachem@gmail.com; kip, kipark@kunsan.ac.kr

Citation Kim SH, Lee HM, Lee D, Kim HJ, Bathige SDNK, Grijalva-Chon JM, da Silva PM, Park KI. Quantitative PCR surveillance of Perkinsus marinus in Crassostrea virginica and Magallana gigas across the USA, Mexico, Brazil, and Korea. Parasites Hosts Dis2026;64(2):153-160.

• Received: August 29, 2025   • Accepted: November 11, 2025

© 2026, Korean Society for Parasitology and Tropical Medicine

This is an Open Access article distributed under the terms of the Creative Commons Attribution Non-Commercial License (http://creativecommons.org/licenses/by-nc/4.0) which permits unrestricted non-commercial use, distribution, and reproduction in any medium, provided the original work is properly cited.

  • 436 Views
  • 23 Download
prev next
  • Perkinsus marinus is a significant pathogen in oyster aquaculture with expanding host and geographic ranges. This study evaluated the prevalence and infection intensity of P. marinus in major oyster farming regions across the USA, Mexico, Brazil, and Korea using a quantitative PCR (P. marinus–specific TaqMan quantitative PCR assay, Pm-qPCR) assay. Eastern oysters (Crassostrea virginica) were sampled from 7 USA sites, while Pacific oysters (Magallana gigas) were collected from Mexico, Brazil, and Korea. Compared to conventional PCR, the Pm-qPCR assay demonstrated significantly higher sensitivity, detecting P. marinus in >80.0% of samples at most sites and up to 100.0% in Port Norris, USA. Lower prevalence was found in Wellfleet, USA (58.0%) and Korean sites (63.0%–70.0%). The lowest infection intensities (<1,000 copies) were recorded at a high-energy open-water site in Buan, Korea. The assay’s specificity was confirmed using negative control oysters from Canada. These findings provide critical baseline data on P. marinus distribution and emphasize the superior diagnostic value of Pm-qPCR for early detection. As P. marinus spreads globally, sensitive and standardized tools like this assay are essential for disease surveillance and aquaculture biosecurity.
Oyster aquaculture provides both economic value and essential ecosystem services, such as water filtration and habitat formation [1]. The Pacific oyster (Magallana gigas, formerly Crassostrea gigas) and Eastern oyster (Crassostrea virginica) are widely farmed species with high commercial importance. However, protozoan parasites such as Perkinsus marinus pose serious threats due to their association with high oyster mortality and significant economic losses [2].
Historically, P. marinus primarily infected C. virginica along the Atlantic coast of North America [3,4], but in recent decades, its host and geographic range have expanded. Infections have been detected in M. gigas in Mexico and Brazil [5,6], as well as in native Brazilian species such as Crassostrea rhizophorae and Crassostrea gasar [7,8]. In Panama, infections have been reported in multiple oyster species from both the Caribbean and Pacific coasts. Affected oysters often show reduced growth, weakened immunity, and elevated summer mortality [9,10].
Recently, P. marinus was reported in wild M. gigas along the Korean coast (Hongseong-gun, Chungcheongnam-do), raising concerns about its potential impact on Korean oyster aquaculture [11]. Similarly, its detection in Brazil, although not linked to pathology [12], signals a wider geographic spread likely driven by global seed trade and climate change. Despite this, data on P. marinus prevalence and infection intensity remain limited in many regions.
Traditional diagnostic methods—such as Ray’s fluid thioglycollate medium assay, histology, and conventional PCR—have limitations in sensitivity, processing time, or quantification [13-15]. In contrast, quantitative PCR (qPCR) enables rapid, sensitive, and specific detection. Our laboratory recently developed a P. marinus-specific TaqMan qPCR assay (Pm-qPCR) with high efficiency and low detection limits [16].
In this study, we aimed to monitor P. marinus infections in major oyster farming regions using our Pm-qPCR assay to provide essential baseline data for understanding the distribution of P. marinus. These findings will contribute to the development of evidence-based disease monitoring programs and biosecurity strategies, especially in regions where P. marinus has been newly reported, such as Korea and Brazil. As global aquaculture faces increasing challenges from climate change and international trade, coordinated transboundary surveillance of pathogens like P. marinus will be essential to safeguard oyster production and ensure the sustainability of the oyster industry.
Ethics statement
No human participants or vertebrate animals were involved in this study; therefore, institutional review board and institutional animal care and use committee approvals were not applicable. All oysters (C. virginica and M. gigas) are invertebrates and were sampled from aquaculture facilities or wild populations with permission from site owners/managers and/or local authorities. Sampling did not involve protected areas or endangered species.
Study sites and sampling
C. virginica were purchased from 7 locations across 6 USA states: Wellfleet, Massachusetts; Port Norris, New Jersey; Wittman, Maryland; Mobjack Bay, Virginia; Charleston, South Carolina; New Orleans, Louisiana; and Galveston, Texas. M. gigas were sampled from Bahia Kino in Sonora, Mexico, São Francisco do Sul in Santa Catarina, Brazil, and 2 sites in Korea: a high-energy open water (HEO) site located off Buan, Jeollabuk-do (~15 km offshore, west coast), hereafter referred to as Buan (HEO, offshore), and a coastal site at Hongseong-gun, Chungcheongnam-do, hereafter referred to as Hongseong-gun (coastal). Uninfected oysters (C. virginica) were collected from Newfoundland, Canada, as a negative control. Sampling locations are shown in Fig. 1. At each location, 50 commercially sized animals were collected during a single sampling event between 2021 and 2022, as detailed in Table 1. Immediately after collection, oysters were dissected, and whole tissues were preserved in 99.0% ethanol for subsequent molecular analysis.
DNA extraction and conventional PCR
Total genomic DNA was extracted from 25 mg of oyster gill tissue using the DNeasy Blood & Tissue Kit (Qiagen) following the manufacturer’s protocol. Conventional PCR was performed using World Organization for Animal Health–recommended primers targeting P. marinus (Table 2) [15,16]. PCR reactions were carried out in a 20 μl reaction mixture, containing 1PCR buffer, 200 μM dNTPs, 0.5 μM of each primer, 1 U of Taq DNA polymerase (Thermo Fisher Scientific), and 50 ng of genomic DNA. The PCR conditions were as follows: initial denaturation at 95°C for 3 min, followed by 35 cycles of 95°C for 30 sec, 58°C for 30 sec, and 72°C for 1 min, with a final extension at 72°C for 5 min. Amplified products were analyzed using 2.0% agarose gel electrophoresis, stained with ethidium bromide, and visualized under UV light.
qPCR analysis
The Pm-qPCR assay was performed in a 25 μl reaction mixture, consisting of forward and reverse primers (0.6 μM each) and a probe targeting the gene encoding a hypothetical protein of P. marinus (GenBank accession No. XM_002773794) [16], and the movement protein of tobacco mosaic virus (GenBank accession No. AY300161.1) as an internal positive control (IPC) (0.4 μM each). The reaction also contained 5 μl of DNA template, 1 μl of IPC template, and 15 μl of Dual-HotStart RT-qPCR Master Mix (Bioneer). qPCR was performed on a CFX Opus 96 Real-Time PCR System (Bio-Rad), with the following thermocycling conditions: pre-denaturation at 95°C for 5 min, followed by 45 cycles at 95°C for 10 sec and 55°C for 20 sec. Fluorescence signals were acquired using the FAM channel for P. marinus-specific amplicons and the Cy5 channel for IPC-specific amplicons.
To determine assay efficiency, a standard curve was generated using serial dilutions of plasmid DNA containing the target sequence. Assays were considered valid if efficiency was 90.0%–110.0% and R² was >0.98 [16]. Each run included negative controls (no template controls) and an IPC to monitor for contamination and PCR inhibition, respectively. The limit of detection and limit of quantification were determined using serial dilutions of positive control DNA [16]. Infection intensity was assessed by comparing Ct values and converting them into copy numbers using the standard curve.
P. marinus prevalence detected by qPCR and conventional PCR
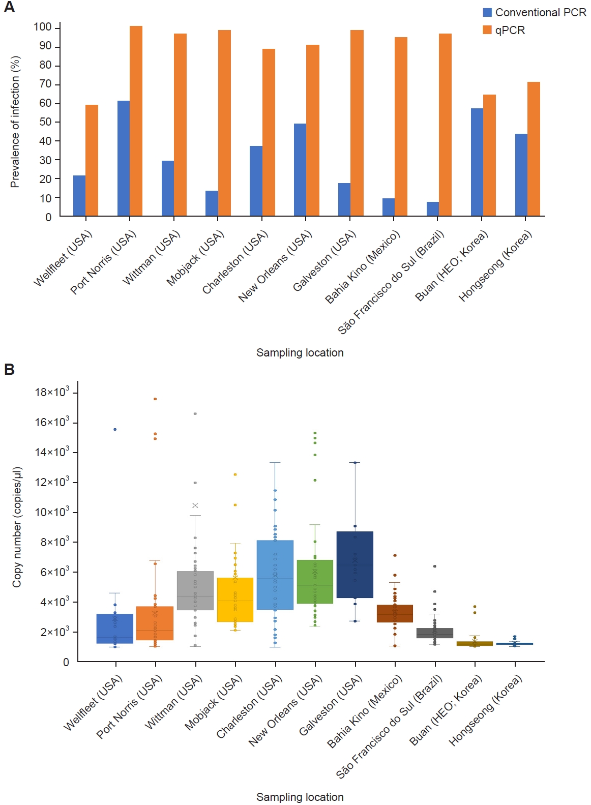
qPCR analysis revealed substantial variation in P. marinus prevalence across different sampling regions, with the Pm-qPCR assay consistently detecting higher prevalence than conventional PCR, demonstrating its greater sensitivity (Fig. 2A). Across all sampling sites, including the C. virginica populations in the USA and M. gigas populations in Mexico, Brazil, and Korea, the Pm-qPCR identified a significantly greater proportion of positive samples than conventional PCR. According to the qPCR results, the prevalence exceeded 80.0% at all sites except for Wellfleet (58.0%), Buan (HEO, offshore; 63.3%), and Hongseong-gun (coastal, 70.0%), with the highest prevalence (100.0%) detected at Port Norris. Conventional PCR showed considerably lower detection rates. For example, Port Norris exhibited the highest prevalence by conventional PCR (60.0%), while other sites, such as Wellfleet (20.0%), Mobjack (12.0%), Galveston (16.0%), Bahia Kino (8.0%), and São Francisco do Sul (6.0%), showed markedly lower rates. These differences underscore the enhanced diagnostic performance of the Pm-qPCR assay, particularly in detecting low-intensity infections. Negative control samples from Newfoundland, Canada, tested negative by both conventional PCR and Pm-qPCR, confirming the specificity of both assays.
Infection intensity of P. marinus across sampling locations
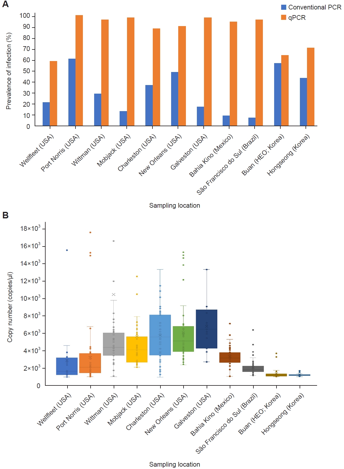
The infection intensity of P. marinus, measured by qPCR as copy numbers of amplified DNA fragments, varied considerably across sampling locations (Fig. 2B). Oysters from USA sites, particularly Wittman, Charleston, New Orleans, and Galveston, exhibited the highest infection intensities, with median copy numbers exceeding 4,000 and multiple individual samples surpassing 10,000 copies. These sites also displayed wide interquartile ranges and numerous outliers, reflecting substantial variability in infection burden. Moderate infection intensities were observed at Mobjack, Port Norris, Wellfleet, and Bahia Kino (Mexico) with narrower interquartile ranges and fewer high-copy outliers. Lower infection intensities were recorded at São Francisco do Sul (Brazil) and both Korean sites. Nearly all samples from the Buan (HEO, offshore) site in Korea exhibited copy numbers below 1,000, with only 2 individuals showing relatively higher values (2,940 and 2,514). This pattern suggests minimal P. marinus burden at the Buan (HEO, offshore) site compared to other regions. Similarly, samples from Hongseong-gun (coastal) also showed low infection intensities, with median values under 1,000 and minimal variation among individuals.
This study offers a comprehensive assessment of P. marinus infection in oysters across key aquaculture regions using a recently developed Pm-qPCR assay [16]. The assay consistently demonstrated higher sensitivity than conventional PCR, particularly in detecting low-intensity infections, emphasizing its value for early diagnosis and surveillance [17,18].
Across countries, qPCR revealed higher prevalence than conventional PCR, but infection intensity (copy numbers) varied widely. In the USA, where P. marinus is historically endemic, prevalence exceeded 80.0% at most sites and reached 100.0% at Port Norris. By contrast, Bahia Kino (Mexico), São Francisco do Sul (Brazil), and the 2 Korean sites Buan (HEO, offshore) and Hongseong-gun (coastal) showed comparatively low infection burdens despite moderate-to-high qPCR prevalence. In comparison, the 7 USA sites, sampled from C. virginica generally exhibited higher infection intensities. Because C. virginica is the recognized primary host for P. marinus, this 2-host comparison is consistent with host-species differences in susceptibility, with M. gigas tending to harbor lower-intensity infections even when prevalence is measurable [19-21].
The relatively small difference between conventional PCR and qPCR detection rates observed in M. gigas from Korea, compared with those from Mexico and Brazil, may be explained by several molecular and sample-related factors. First, the PmarITS-70F and PmarITS-600R primer–probe set used in this study [15] amplifies a ~509 bp fragment within the internal transcribed spacer region of P. marinus rDNA. These primers are degenerate by design and therefore not strictly species-specific, which can sometimes lead to non-specific amplification or reduced efficiency when parasite DNA is present at low concentrations. Nevertheless, the multicopy nature of the internal transcribed spacer region, combined with the high analytical sensitivity of the TaqMan chemistry, allows reliable quantification even when template DNA is partially degraded. In contrast, conventional PCR relies on endpoint detection without a probe, making it more susceptible to amplification failure when DNA quality is compromised. Secondly, the Korean samples were processed under controlled conditions, including immediate dissection and rapid DNA extraction, which minimized DNA degradation and the presence of inhibitory compounds such as polysaccharides and phenolics. In contrast, oysters collected from warmer tropical environments in Mexico and Brazil are more prone to oxidative DNA damage and inhibitor accumulation [6]. Collectively, these factors likely explain why the performance gap between conventional PCR and qPCR was smaller in Korean samples than in those from other regions.
Within Korea, the Buan (HEO, offshore) site (~15 km from shore) and the Hongseong-gun (coastal) site both showed low-burden profiles, with qPCR prevalence of 63.3% and 70.0%, respectively, and low copy numbers (<1,000 copies) at both locations. In this cross-sectional survey, we therefore treat Buan (HEO, offshore) as an offshore baseline and Hongseong-gun (coastal) as a coastal comparator, without inferring differences between them. The detection of P. marinus at both an offshore and a coastal site indicates its presence across distinct marine settings in Korean waters and supports continued surveillance in each environment. Although prior work suggests that offshore, high-energy settings, with enhanced water exchange and reduced pathogen retention, may lower transmission risk [22], longitudinal sampling with environmental metadata will be needed to test this mechanism.
The specificity of the Pm-qPCR assay was validated using uninfected oysters from Newfoundland, Canada, a region where P. marinus has not been reported. The absence of amplification in these negative controls strengthens confidence in the assay’s reliability and its applicability for pathogen surveillance in both endemic and emerging regions [23].
Host species context also influenced infection outcomes. Consistent with previous studies, C. virginica exhibited higher prevalence and infection intensities than M. gigas, likely due to differences in immune responses, physiological compatibility, or evolutionary history with the parasite [19-21]. Nevertheless, recent detection of P. marinus in M. gigas from Mexico, Brazil, and Korea [6,11] raises concerns about possible host adaptation or overlooked infections, warranting continued monitoring.
Geographic variation in P. marinus prevalence and infection intensity among populations of the same oyster species likely reflects differences in local environmental conditions, host genetics, and management practices. For C. virginica populations in the United States, the lower prevalence observed in Wellfleet, Massachusetts, compared with southern sites, may be related to lower mean water temperatures and salinities in the northeastern Atlantic, both of which are known to limit P. marinus proliferation and transmission [9]. In contrast, high-salinity and warmer conditions in mid-Atlantic and Gulf regions such as Wittman, Mobjack, Charleston, and Galveston favor parasite growth, resulting in higher infection intensities [9,19]. Although Port Norris oysters exhibited 100% prevalence, their infection intensity was moderate compared with those southern sites, possibly reflecting seasonal temperature fluctuation, variable exposure duration, or local adaptation of host populations. A similar pattern was evident in M. gigas, where oysters from Korea showed lower P. marinus prevalence and copy numbers than those from Mexico and Brazil. These differences likely arise from cooler seawater temperatures and greater hydrodynamic flushing in Korean coastal and offshore environments, which reduce parasite retention and transmission efficiency, whereas tropical and subtropical conditions in Mexico and Brazil support more persistent infection cycles [5,7,11,22]. Such regional contrasts emphasize that P. marinus epidemiology is shaped not only by host species but also by local climatic and ecological contexts, underlining the importance of site-specific monitoring for effective disease management.
Incorporating additional diagnostic tools, such as histopathology or in situ hybridization, will help confirm active infections and parasite localization. Future research integrating environmental parameters (e.g., temperature, salinity) and farming system characteristics (e.g., offshore vs coastal) would allow hypothesis-driven tests of the drivers underlying the site-to-site heterogeneity observed here [5,9].
In summary, the Pm-qPCR assay represents a robust and sensitive diagnostic tool for the detection of P. marinus. Its deployment across geographically and environmentally diverse aquaculture regions provides valuable baseline data, supports evidence-based biosecurity strategies, and contributes to the sustainable management of global oyster farming under changing environmental conditions.

Data availability

The data supporting the findings of this study will be made available from the author upon reasonable request.

Author contributions

Conceptualization: Kim SH, Bathige SDNK. Funding acquisition: Park KI. Methodology: Kim SH, Lee D, Bathige SDNK. Project administration: Grijalva-Chon JM, Park KI. Resources: Kim HJ. Supervision: Grijalva-Chon JM, Park KI. Writing – original draft: Kim SH. Writing – review & editing: Lee HM, Bathige SDNK, da Silva PM, Park KI.

Conflict of interest

The authors have no conflicts of interest to declare.

Funding

This study was supported by the Korea Institute of Marine Science & Technology Promotion (KIMST), funded by the Ministry of Oceans and Fisheries, Korea (grant No. RS-2022-KS221679). This study was also financially supported by the Univaersity of Sonora, Mexico (grant No. USO313007339). PMS was granted by a CNPq Productivity Fellowship (306721/2021-0).

Acknowledgments

We sincerely thank Professor Kimberly S. Reece (Ecosystem Health Section, Virginia Institute of Marine Science, College of William & Mary, USA) for her valuable support in reviewing this manuscript and for providing insightful suggestions that significantly improved its scientific quality. We also acknowledge the contributions of our collaborators and field assistants involved in sample collection and laboratory analysis.

Fig. 1.
Sampling locations and site insets. (a) Global map showing all oyster sampling locations. (b) Mexico—Bahia Kino (Magallana gigas). (c) North America—USA sites for Crassostrea virginica: Wellfleet, Massachusetts; Port Norris, New Jersey; Wittman, Maryland; Mobjack Bay, Virginia; Charleston, South Carolina; New Orleans, Louisiana; and Galveston, Texas; plus Newfoundland, Canada (negative-control C. virginica). (d) Brazil—São Francisco do Sul (M. gigas). (e) Korea—Buan (high-energy open water, HEO; ~15 km offshore) and Hongseong (M. gigas).
PHD-25075f1.jpg
Fig. 2.
Prevalence and infection intensity of Perkinsus marinus by site. (A) Prevalence (%) detected by conventional PCR (blue) and P. marinus–specific TaqMan quantitative PCR assay (Pm-qPCR, orange). Percentages are the proportion of positive oysters at each site. (B) Pm-qPCR infection intensity (copy number; copies µl⁻¹ of DNA extract) by site. Boxes show the interquartile range (Q1–Q3) with the median line; whiskers denote the 5th–95th percentiles; points are values outside this range. Site labels include country. Crassostrea virginica: Wellfleet (USA), Port Norris (USA), Wittman (USA), Mobjack (USA), Charleston (USA), New Orleans (USA), Galveston (USA). Magallana gigas: Bahia Kino (Mexico), São Francisco do Sul (Brazil), Buan (high-energy open water [HEO], Korea; offshore ~15 km), Hongseong (Korea, coastal).
PHD-25075f2.jpg
Table 1.
Oyster sampling locations and dates
Table 1.
Species Country State Location Date
Crassostrea virginica USA New Jersey Port Norris Jul 2021
Maryland Mobjack bay
Virginia Wittman
South Carolina Charleston
Louisiana New Orleans Dec 2021
Texas Galveston
Massachusetts Wellfleet
Canada Newfoundland Rocky harbor Sep 2022
Magallana gigas Mexico Sonora Bahía Kino Jul 2022
Brazil Santa Catarina São Francisco do Sul Aug 2022
Korea Jeollabuk-do Buan (high-energy open water) Aug 2024
Chungcheongnam-do Hongseong-gun Dec 2022, Jan 2023
Table 2.
Primers used in this study
Table 2.
Primer name Primer/probe sequence (5′→ 3′) Amplicon size (bp) Target gene Reference
PmarITS-70F CTTTTGYTWGAGWGTTGCGAGATG 509 ITS [15]
PmarITS-600R CGAGTTTGCGAGTACCTCKAGAG 509 ITS [15]
PmHP-F CCCAGTTCACAGTGCCTGTC 85 Hypothetical protein [16]
PmHP-R CATGGAATGCCGAGGGTACA 85 Hypothetical protein [16]
PmHP-P [FAM]AGCGTCAT[i-EBQ]CGGACCTCGTGCA[Phosphate] 85 Hypothetical protein [16]
  • 1. Food and Agriculture Organization. The state of world fisheries and aquaculture 2022: towards blue transformation. The organization; 2022.
  • 2. World Organization for Animal Health. Infection with Perkinsus marinus. In: Manual of diagnostic tests for aquatic animals. The organization; 2022.
  • 3. Bushek D, Allen SK Jr. Host-parasite interactions among broadly distributed populations of the eastern oyster Crassostrea virginica and the protozoan Perkinsus marinus. Mar Ecol Prog Ser 1996;139:127-41. https://doi.org/10.3354/meps139127
  • 4. Pagenkopp Lohan KM, Hill-Spanik KM, Torchin ME, et al. Richness and distribution of tropical oyster parasites in two oceans. Parasitology 2016;143:1119-32. https://doi.org/10.1017/S0031182015001900
  • 5. Enríquez-Espinoza TL, Grijalva-Chon JM, Castro-Longoria R, Ramos-Paredes J. Perkinsus marinus in Crassostrea gigas in the Gulf of California. Dis Aquat Organ 2010;89:269-73. https://doi.org/10.3354/dao02199
  • 6. da Silva PM, Scardua MP, Vianna RT, et al. Two Perkinsus spp. infect Crassostrea gasar oysters from cultured and wild populations of the Rio São Francisco estuary, Sergipe, northeastern Brazil. J Invertebr Pathol 2014;119:62-71. https://doi.org/10.1016/j.jip.2014.04.005
  • 7. da Silva PM, Vianna RT, Guertler C, et al. First report of the protozoan parasite Perkinsus marinus in South America, infecting mangrove oysters Crassostrea rhizophorae from the Paraíba River (NE, Brazil). J Invertebr Pathol 2013;113:96-103. https://doi.org/10.1016/j.jip.2013.02.002
  • 8. Dantas-Neto MP, Sabry RC, Ferreira LP, Romão LS, Maggioni R. Perkinsus sp. infecting the oyster Crassostrea rhizophorae from estuaries of the septentrional Northeast, Brazil. Braz J Biol 2015;75:1030-4. https://doi.org/10.1590/1519-6984.06314
  • 9. Ford SE, Chintala MM. Northward expansion of a marine parasite: testing the role of temperature adaptation. J Exp Mar Biol Ecol 2006;339:226-35. https://doi.org/10.1016/j.jembe.2006.08.004
  • 10. Queiroga FR, Marques-Santos LF, Hégaret H, et al. Immunological responses of the mangrove oysters Crassostrea gasar naturally infected by Perkinsus sp. in the Mamanguape Estuary, Paraíba State (Northeastern, Brazil). Fish Shellfish Immunol 2013;35:319-27. https://doi.org/10.1016/j.fsi.2013.04.034
  • 11. Kim SH, Bathige SDNK, Jeon HB, et al. First report of Perkinsus marinus occurrence associated with wild Pacific oysters Crassostrea gigas from the west coast of Korea. J Invertebr Pathol 2024;204:108119. https://doi.org/10.1016/j.jip.2024.108119
  • 12. Luz Cunha AC, Pontinha VA, de Castro MAM, et al. Two epizootic Perkinsus spp. events in commercial oyster farms at Santa Catarina, Brazil. J Fish Dis 2019;42:455-63. https://doi.org/10.1111/jfd.12958
  • 13. Ray SM. Biological studies of Dermocystidium marinum. Rice University; 1954.
  • 14. Bower SM, McGladdery SE, Price IM. Synopsis of infectious diseases and parasites of commercially exploited shellfish. Annu Rev Fish Dis 1994;4:1-199. https://doi.org/10.1016/0959-8030(94)90028-0
  • 15. Audemard C, Reece KS, Burreson EM. Real-time PCR for detection and quantification of the protistan parasite Perkinsus marinus in environmental waters. Appl Environ Microbiol 2004;70:6611-8. https://doi.org/10.1128/AEM.70.11.6611-6618.2004
  • 16. Kim SH, Bathige SDNK, Kim HJ, et al. A highly sensitive and specific real-time quantitative polymerase chain reaction assay for Perkinsus marinus detection in oysters. Sci Rep 2024;14:25475. https://doi.org/10.1038/s41598-024-76822-y
  • 17. Gauthier JD, Miller CR, Wilbur AE. TaqMan MGB real-time PCR approach to quantification of Perkinsus marinus and Perkinsus spp. in oysters. J Shellfish Res 2006;25:619-24. https://doi.org/10.2983/0730-8000(2006)25[619:TMRPAT]2.0.CO;2
  • 18. Castelli G, Bruno F, Reale S, et al. Molecular diagnosis of leishmaniasis: quantification of parasite load by a real-time PCR assay with high sensitivity. Pathogens 2021;10:865. https://doi.org/10.3390/pathogens10070865
  • 19. Chu FLE, Volety AK, Constantin G. A comparison of Crassostrea gigas and Crassostrea virginica: effects of temperature and salinity on susceptibility to the protozoan parasite, Perkinsus marinus. J Shellfish Res 1996;15:375-80.
  • 20. Allam B, Raftos D. Immune responses to infectious diseases in bivalves. J Invertebr Pathol 2015;131:121-36. https://doi.org/10.1016/j.jip.2015.05.005
  • 21. Goedken M, Morsey B, Sunila I, De Guise S. Immunomodulation of Crassostrea gigas and Crassostrea virginica cellular defense mechanisms by Perkinsus marinus. J Shellfish Res 2005;24:487-96. https://doi.org/10.2983/0730-8000(2005)24[487:IOCGAC]2.0.CO;2
  • 22. Buck BH, Krause G, Pogoda B, et al. The German case study: pioneer projects of aquaculture-wind farm multi-uses. In Buck BH, Langan R, et al, editors. Aquaculture perspective of multi-use sites in the open ocean. Springer; 2017. p. 253-354.
  • 23. Sonawane GG, Tripathi BN. Comparison of a quantitative real-time polymerase chain reaction (qPCR) with conventional PCR, bacterial culture and ELISA for detection of Mycobacterium avium subsp. paratuberculosis infection in sheep showing pathology of Johne's disease. Springerplus 2013;2:45. https://doi.org/10.1186/2193-1801-2-45

Download Citation

Download a citation file in RIS format that can be imported by all major citation management software, including EndNote, ProCite, RefWorks, and Reference Manager.

Format:

Include:

Quantitative PCR surveillance of Perkinsus marinus in Crassostrea virginica and Magallana gigas across the USA, Mexico, Brazil, and Korea
Parasites Hosts Dis. 2026;64(2):153-160.   Published online March 11, 2026
Download Citation

Download a citation file in RIS format that can be imported by all major citation management software, including EndNote, ProCite, RefWorks, and Reference Manager.

Format:
Include:
Quantitative PCR surveillance of Perkinsus marinus in Crassostrea virginica and Magallana gigas across the USA, Mexico, Brazil, and Korea
Parasites Hosts Dis. 2026;64(2):153-160.   Published online March 11, 2026
Close

Figure

  • 0
  • 1
Quantitative PCR surveillance of Perkinsus marinus in Crassostrea virginica and Magallana gigas across the USA, Mexico, Brazil, and Korea
Image Image
Fig. 1. Sampling locations and site insets. (a) Global map showing all oyster sampling locations. (b) Mexico—Bahia Kino (Magallana gigas). (c) North America—USA sites for Crassostrea virginica: Wellfleet, Massachusetts; Port Norris, New Jersey; Wittman, Maryland; Mobjack Bay, Virginia; Charleston, South Carolina; New Orleans, Louisiana; and Galveston, Texas; plus Newfoundland, Canada (negative-control C. virginica). (d) Brazil—São Francisco do Sul (M. gigas). (e) Korea—Buan (high-energy open water, HEO; ~15 km offshore) and Hongseong (M. gigas).
Fig. 2. Prevalence and infection intensity of Perkinsus marinus by site. (A) Prevalence (%) detected by conventional PCR (blue) and P. marinus–specific TaqMan quantitative PCR assay (Pm-qPCR, orange). Percentages are the proportion of positive oysters at each site. (B) Pm-qPCR infection intensity (copy number; copies µl⁻¹ of DNA extract) by site. Boxes show the interquartile range (Q1–Q3) with the median line; whiskers denote the 5th–95th percentiles; points are values outside this range. Site labels include country. Crassostrea virginica: Wellfleet (USA), Port Norris (USA), Wittman (USA), Mobjack (USA), Charleston (USA), New Orleans (USA), Galveston (USA). Magallana gigas: Bahia Kino (Mexico), São Francisco do Sul (Brazil), Buan (high-energy open water [HEO], Korea; offshore ~15 km), Hongseong (Korea, coastal).
Quantitative PCR surveillance of Perkinsus marinus in Crassostrea virginica and Magallana gigas across the USA, Mexico, Brazil, and Korea
Species Country State Location Date
Crassostrea virginica USA New Jersey Port Norris Jul 2021
Maryland Mobjack bay
Virginia Wittman
South Carolina Charleston
Louisiana New Orleans Dec 2021
Texas Galveston
Massachusetts Wellfleet
Canada Newfoundland Rocky harbor Sep 2022
Magallana gigas Mexico Sonora Bahía Kino Jul 2022
Brazil Santa Catarina São Francisco do Sul Aug 2022
Korea Jeollabuk-do Buan (high-energy open water) Aug 2024
Chungcheongnam-do Hongseong-gun Dec 2022, Jan 2023
Primer name Primer/probe sequence (5′→ 3′) Amplicon size (bp) Target gene Reference
PmarITS-70F CTTTTGYTWGAGWGTTGCGAGATG 509 ITS [15]
PmarITS-600R CGAGTTTGCGAGTACCTCKAGAG 509 ITS [15]
PmHP-F CCCAGTTCACAGTGCCTGTC 85 Hypothetical protein [16]
PmHP-R CATGGAATGCCGAGGGTACA 85 Hypothetical protein [16]
PmHP-P [FAM]AGCGTCAT[i-EBQ]CGGACCTCGTGCA[Phosphate] 85 Hypothetical protein [16]
Table 1. Oyster sampling locations and dates
Table 2. Primers used in this study