Skip to main navigation Skip to main content
  • KSPTM
  • E-Submission

PHD : Parasites, Hosts and Diseases

OPEN ACCESS
ABOUT
BROWSE ARTICLES
FOR CONTRIBUTORS

Page Path

10
results for

"Myung-Jo You"

Article category

Keywords

Publication year

Authors

Funded articles

"Myung-Jo You"

Original Articles

Molecular cloning, identification, transcriptional analysis, and silencing of enolase on the life cycle of Haemaphysalis longicornis (Acari, Ixodidae) tick
Md. Samiul Haque, Md. Khalesur Rahman, Mohammad Saiful Islam, Myung-Jo You
Parasites Hosts Dis 2024;62(2):226-237.
Published online May 27, 2024
DOI: https://doi.org/10.3347/PHD.24015
Ticks, blood-sucking ectoparasites, spread diseases to humans and animals. Haemaphysalis longicornis is a significant vector for tick-borne diseases in medical and veterinary contexts. Identifying protective antigens in H. longicornis for an anti-tick vaccine is a key tick control strategy. Enolase, a multifunctional protein, significantly converts D-2-phosphoglycerate and phosphoenolpyruvate in glycolysis and gluconeogenesis in cell cytoplasm. This study cloned a complete open reading frame (ORF) of enolase from the H. longicornis tick and characterized its transcriptional and silencing effect. We amplified the full-length cDNA of the enolase gene using rapid amplification of cDNA ends. The complete cDNA, with an ORF of 1,297 nucleotides, encoded a 432-amino acid polypeptide. Enolase of the Jeju strain H. longicornis exhibited the highest sequence similarity with H. flava (98%), followed by Dermacentor silvarum (82%). The enolase motifs identified included N-terminal and C-terminal regions, magnesium binding sites, and several phosphorylation sites. Reverse transcription-polymerase chain reaction (RT-PCR) analysis indicated that enolase mRNA transcripts were expressed across all developmental stages of ticks and organs such as salivary gland and midgut. RT-PCR showed higher transcript levels in syn-ganglia, suggesting that synganglion nerves influence enolase,s role in tick salivary glands. We injected enolase double-stranded RNA into adult unfed female ticks, after which they were subsequently fed with normal unfed males until they spontaneously dropped off. RNA interference significantly (P<0.05) reduced feeding and reproduction, along with abnormalities in eggs (no embryos) and hatching. These findings suggest enolase is a promising target for future tick control strategies.

Citations

Citations to this article as recorded by  Crossref logo
  • Comprehensive antigen identification and comparative analysis: significant approaches for controlling Haemaphysalis longicornis ticks
    Md. Samiul Haque, Bumseok Kim, Myung-Jo You
    Journal of Veterinary Science.2025;[Epub]     CrossRef
  • Microbiome Composition of Haemaphysalis flava in Korea and Diversity Analysis Based on Region, Developmental Stage, and Sex
    Min Kyu Sang, Jie eun Park, Dae Kwon Song, Jun Yang Jeong, Chan‐Eui Hong, Hyeonjun Shin, Hyeok Lee, Kyoung Won Lee, Hee Ju Hwang, Hyun woo Kim, Seong Yoon Kim, Wook‐Gyo Lee, So Young Park, Se Won Kang, Jung Han Park, Bharat Bhusan Patnaik, Sung‐Jae Cha, S
    Entomological Research.2025;[Epub]     CrossRef
  • Identification and knockdown effect of disulfide isomerase in the Haemaphysalis longicornis (Acari: Ixodidae)
    Md Samiul Haque, Bumseok Kim, Myung-Jo You
    Revista Brasileira de Parasitologia Veterinária.2025;[Epub]     CrossRef
  • 4,716 View
  • 53 Download
  • Crossref
Comparative analysis of essential oil efficacy against the Asian longhorned tick Haemaphysalis longicornis (Acari: Ixodidae)
Mohammad Saiful Islam, Md. Samiul Haque, Myung-Jo You
Parasites Hosts Dis 2024;62(2):217-225.
Published online May 27, 2024
DOI: https://doi.org/10.3347/PHD.23097
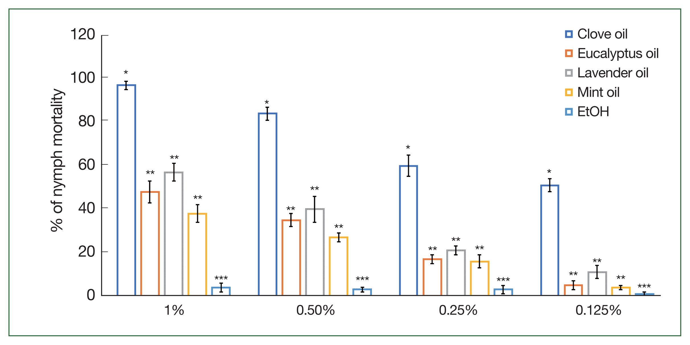
This study evaluated the potential repellent and acaricidal effects of 4 essential oils (clove, eucalyptus, lavender, and mint) against the Asian longhorned tick Haemaphysalis longicornis, a vector of various tick-borne diseases in medical and veterinary contexts. Selected for their potential repellent and acaricidal properties, the 4 essential oils were tested on adult and nymph H. longicornis ticks at different concentrations. The experiment assessed mortality rates and repellency, particularly during tick attachment to host skin. There was a significant increase (p<0.05) in tick mortality and repellency scores across all groups. At a 1% concentration, adult tick mortality ranged from 36% to 86%, while nymph mortality ranged from 6% to 97%. Clove oil exhibited notable efficacy, demonstrating high mortality rates of nymphs and adults. Clove oil also displayed strong repellency properties, with a repellency index of 0.05, surpassing those of mint, eucalyptus, and lavender oils. Clove oil showed the highest effectiveness in deterring nonattached adult ticks (90%) and nymphs (95%) when applied to skin. Clove oil was the most effective against adult and nymph ticks, achieving mortality rates of 86% and 97%, respectively, and led to the highest nonattachment rates when applied to skin. In conclusion, essential oils such as clove, eucalyptus, lavender, and mint oils present promising results for tick population control.

Citations

Citations to this article as recorded by  Crossref logo
  • Comprehensive antigen identification and comparative analysis: significant approaches for controlling Haemaphysalis longicornis ticks
    Md. Samiul Haque, Bumseok Kim, Myung-Jo You
    Journal of Veterinary Science.2025;[Epub]     CrossRef
  • 4,619 View
  • 73 Download
  • 1 Web of Science
  • Crossref
Efficacy of recombinant enolase as a candidate vaccine against Haemaphysalis longicornis tick infestation in mice
Md. Samiul Haque, Mohammad Saiful Islam, Myung-Jo You
Parasites Hosts Dis 2023;61(4):439-448.
Published online November 28, 2023
DOI: https://doi.org/10.3347/PHD.23075
Tick infestation causes a significant threat to human and animal health, requiring effective immunological control methods. This study aimed to investigate the potential of recombinant Haemaphysalis longicornis enolase protein for tick vaccine development. The exact mechanism of the recently identified enolase protein from the H. longicornis Jeju strain remains poorly understood. Enolase plays a crucial role in glycolysis, the metabolic process that converts glucose into energy, and is essential for the motility, adhesion, invasion, growth, and differentiation of ticks. In this study, mice were immunized with recombinant enolase, and polyclonal antibodies were generated. Western blot analysis confirmed the specific recognition of enolase by the antiserum. The effects of immunization on tick feeding and attachment were assessed. Adult ticks attached to the recombinant enolase-immunized mice demonstrated longer attachment time, increased blood-sucking abilities, and lower engorgement weight than the controls. The nymphs and larvae had a reduced attachment rate and low engorgement rate compared to the controls. Mice immunized with recombinant enolase expressed in Escherichia coli displayed 90% efficacy in preventing tick infestation. The glycolytic nature of enolase and its involvement in crucial physiological processes makes it an attractive target for disrupting tick survival and disease transmission. Polyclonal antibodies recognize enolase and significantly reduce attachment rates, tick feeding, and engorgement. Our findings indicate that recombinant enolase may be a valuable vaccine candidate for H. longicornis infection in experimental murine model.

Citations

Citations to this article as recorded by  Crossref logo
  • Comprehensive antigen identification and comparative analysis: significant approaches for controlling Haemaphysalis longicornis ticks
    Md. Samiul Haque, Bumseok Kim, Myung-Jo You
    Journal of Veterinary Science.2025;[Epub]     CrossRef
  • Effect of Silencing subolesin and enolase impairs gene expression, engorgement and reproduction in Haemaphysalis longicornis (Acari: Ixodidae) ticks
    Md. Samiul Haque, Mohammad Saiful Islam, Myung-Jo You
    Journal of Veterinary Science.2024;[Epub]     CrossRef
  • Targeting Plasmodium Life Cycle with Novel Parasite Ligands as Vaccine Antigens
    Shan Khan, Manas Paresh Patel, Aleem Damji Patni, Sung-Jae Cha
    Vaccines.2024; 12(5): 484.     CrossRef
  • 3,710 View
  • 156 Download
  • 3 Web of Science
  • Crossref
Effects of histamine and antihistamine on the hard tick Haemaphysalis longicornis during blood sucking
Mohammad Saiful Islam, Abul Fatah Shah Muhammad Talha, Myung-Jo You
Parasites Hosts Dis 2023;61(2):172-182.
Published online May 23, 2023
DOI: https://doi.org/10.3347/PHD.22068
At the time of host attachment, ticks are very sensitive to histamine, but during rapid blood sucking they paradoxically require histamine. Using a rabbit model, we studied the effects of histamine and antihistamine during attachment and fast-feeding in different life stages of Haemaphysalis longicorns. We examined how they responded to histamine and antihistamine by analyzing the detachment rate, histology of feeding lesions, and post-feeding behavior. A significant difference (P<0.01) was found in the detachment rate between experimental and control treatments throughout the observation period. Ticks exhibited a higher detachment rate (30.1%) at 12 h after histamine application during attachment time and on antihistamine-treated skin (25.4%) at 96 h during fast-feeding. After feeding on histamine-treated rabbits, the fully engorged body weights of larvae and nymphs were 0.7±0.36 mg and 3.5±0.65 mg, respectively. An average increase in body weight of 0.6±0.05 mg and 3.2±0.30 mg was observed for larvae and nymphs compared to the respective control weights. Nymphs and adults engorged after antihistamine treatment had an average body weight of 1.3±0.54 mg and 54±0.81 mg, respectively. An average decrease in body weight was observed in antihistamine-treated H. longicornis compared with control nymphs (3.3±0.42 mg) and adults (174±1.78 mg). Skin biopsies were collected after treatment, and differential histopathological characteristics were found between the treatment and control groups. Tick-infested skin collected from rabbits in the antihistamine-treated group lacked erythrocytes in the feeding pool, indicating that antihistamine impaired tick fast-feeding stage.

Citations

Citations to this article as recorded by  Crossref logo
  • Comparative analysis of essential oil efficacy against the Asian longhorned tick Haemaphysalis longicornis (Acari: Ixodidae)
    Mohammad Saiful Islam, Md. Samiul Haque, Myung-Jo You
    Parasites, Hosts and Diseases.2024; 62(2): 217.     CrossRef
  • Salp14 epitope-based mRNA vaccination induces early recognition of a tick bite
    Yingjun Cui, Balasubramanian Cibichakravarthy, Xiaotian Tang, Mohamad G. Alameh, Garima Dwivedi, Drew Weissman, Erol Fikrig
    Vaccine.2024; 42(24): 126304.     CrossRef
  • 4,197 View
  • 146 Download
  • 2 Web of Science
  • Crossref
Tick saliva is critically important for continuous attachment to the host, blood feeding for days, and transmission of tick-borne pathogens. To characterize the patterns of inflammatory cytokine gene expression during its attachment and blood sucking time, peripheral blood samples of rabbits infested with Haemaphysalis longicornis ticks were collected at different intervals. Blood histamine concentration was evaluated as well as gene encoding IFN-γ, TNF-α, IL-2, IL-6, IL-4, and IL-10 were compared with non-infested rabbits. Blood histamine concentration of tick-infested rabbits during fast feeding time was significantly higher than that of non-infested rabbits. In both nymph and adult tick infested rabbits, expression of TNF-α and IFN-γ genes were decreased significantly (P < 0.05), while expression of IL-4, IL-6, and IL-10 were increased 1.3 to 7 folds in adult infested rabbits with the exception of IL-6 that was significantly (P < 0.05) decreased in nymph infested rabbits. IL-2 was not expressed in either nymph or adult infestation. H. longicornis saliva is capable of modulate host responses through a complex correlation with histamine and Th1, Th2 mediated cytokines that suppress the inflammatory responses directed toward inflammatory mediators introduced into the host during tick feeding.

Citations

Citations to this article as recorded by  Crossref logo
  • Recombinant cysteine proteinase as anti-tick targeting Hyalomma asiaticum infestation
    Ruiqi Song, Ting Ge, ercha Hu, Xinli Fan, Yang Zhang, Xuejie Zhai, Min Li, Wei Zhang, Lijiang Wu, Allen Ka Loon Cheung, Bayin Chahan
    Experimental Parasitology.2022; 235: 108234.     CrossRef
  • d-ribose-mediated glycation of fibrinogen: Role in the induction of adaptive immune response
    Sultan Alouffi, Afreen Khanam, Arbab Husain, Rihab Akasha, Gulam Rabbani, Saheem Ahmad
    Chemico-Biological Interactions.2022; 367: 110147.     CrossRef
  • Molecular cloning and characterisation of the PmEglin cDNA in the leech Hirudinaria sp.
    Bo-Xing Cheng, Gui-Yan Shao, Yuan Li, Qing-Qing Tian, Su-Yan Wang, Fei Liu
    Biologia.2022; 78(2): 579.     CrossRef
  • The Ovarian Development Genes of Bisexual and Parthenogenetic Haemaphysalis longicornis Evaluated by Transcriptomics and Proteomics
    Tianhong Wang, Tongxuan Wang, Meng Zhang, Xinyue Shi, Miao Zhang, Hui Wang, Xiaolong Yang, Zhijun Yu, Jingze Liu
    Frontiers in Veterinary Science.2021;[Epub]     CrossRef
  • Tick mitochondrial genomes: structural characteristics and phylogenetic implications
    Tianhong Wang, Shiqi Zhang, Tingwei Pei, Zhijun Yu, Jingze Liu
    Parasites & Vectors.2019;[Epub]     CrossRef
  • 8,354 View
  • 131 Download
  • 5 Web of Science
  • Crossref
Proteomic Screening of Antigenic Proteins from the Hard Tick, Haemaphysalis longicornis (Acari: Ixodidae)
Young-Ha Kim, Mohammad Saiful slam, Myung-Jo You
Korean J Parasitol 2015;53(1):85-93.
Published online February 27, 2015
DOI: https://doi.org/10.3347/kjp.2015.53.1.85

Proteomic tools allow large-scale, high-throughput analyses for the detection, identification, and functional investigation of proteome. For detection of antigens from Haemaphysalis longicornis, 1-dimensional electrophoresis (1-DE) quantitative immunoblotting technique combined with 2-dimensional electrophoresis (2-DE) immunoblotting was used for whole body proteins from unfed and partially fed female ticks. Reactivity bands and 2-DE immunoblotting were performed following 2-DE electrophoresis to identify protein spots. The proteome of the partially fed female had a larger number of lower molecular weight proteins than that of the unfed female tick. The total number of detected spots was 818 for unfed and 670 for partially fed female ticks. The 2-DE immunoblotting identified 10 antigenic spots from unfed females and 8 antigenic spots from partially fed females. Matrix Assisted Laser Desorption Ionization-Time of Flight Mass Spectrometry (MALDI-TOF) of relevant spots identified calreticulin, putative secreted WC salivary protein, and a conserved hypothetical protein from the National Center for Biotechnology Information and Swiss Prot protein sequence databases. These findings indicate that most of the whole body components of these ticks are non-immunogenic. The data reported here will provide guidance in the identification of antigenic proteins to prevent infestation and diseases transmitted by H. longicornis.

Citations

Citations to this article as recorded by  Crossref logo
  • Developmental Proteomics Reveals the Dynamic Expression Profile of Global Proteins of Haemaphysalis longicornis (Parthenogenesis)
    Min-Xuan Liu, Xiao-Pei Xu, Fan-Ming Meng, Bing Zhang, Wei-Gang Li, Yuan-Yuan Zhang, Qiao-Ying Zen, Wen-Ge Liu
    Life.2025; 15(1): 59.     CrossRef
  • Haemaphysalis longicornis calreticulin is not an effective molecular tool for tick bite diagnosis and disruption of tick infestations
    Weiqing Zheng, Haijun Hu, Jiafu Jiang, Xiangrong Sun, Renlong Fu, Huiying Tao, Yangqing Liu, Haiying Chen, Hongmei Ma, Shengen Chen
    Veterinary Parasitology.2022; 309: 109775.     CrossRef
  • Trypanosoma cruzi Calreticulin: Immune Evasion, Infectivity, and Tumorigenesis
    Galia Ramírez-Toloza, Eduardo Sosoniuk-Roche, Carolina Valck, Lorena Aguilar-Guzmán, Viviana P. Ferreira, Arturo Ferreira
    Trends in Parasitology.2020; 36(4): 368.     CrossRef
  • Catalogue of stage-specific transcripts in Ixodes ricinus and their potential functions during the tick life-cycle
    Pavlina Vechtova, Zoltan Fussy, Radim Cegan, Jan Sterba, Jan Erhart, Vladimir Benes, Libor Grubhoffer
    Parasites & Vectors.2020;[Epub]     CrossRef
  • Comparative Tandem Mass Tag-Based Quantitative Proteomic Analysis of Tachaea chinensis Isopod During Parasitism
    Yingdong Li, Xin Li, Zhibin Han, Weibin Xu, Xiaodong Li, Qijun Chen
    Frontiers in Cellular and Infection Microbiology.2019;[Epub]     CrossRef
  • Applying proteomics to tick vaccine development: where are we?
    Margarita Villar, Anabel Marina, José de la Fuente
    Expert Review of Proteomics.2017; 14(3): 211.     CrossRef
  • Screening and Identification of Antigenic Proteins from the Hard Tick <i>Dermacentor silvarum</i> (Acari: Ixodidae)
    Tiantian Zhang, Xuejiao Cui, Jincheng Zhang, Hui Wang, Meng Wu, Hua Zeng, Yuanyuan Cao, Jingze Liu, Yonghong Hu
    The Korean Journal of Parasitology.2015; 53(6): 789.     CrossRef
  • 11,209 View
  • 108 Download
  • 7 Web of Science
  • Crossref

Brief Communications

Suppression of Eimeria tenella Sporulation by Disinfectants
Myung-Jo You
Korean J Parasitol 2014;52(4):435-438.
Published online August 29, 2014
DOI: https://doi.org/10.3347/kjp.2014.52.4.435

The disinfectant effects (DEs) of 10 types of chemicals, defined by their ability to destroy or inhibit oocysts and consequently prevent sporulation of Eimeria tenella field isolate, were evaluated in vitro. Correct species assignments and sample purities were confirmed by the singular internal transcribed spacer (ITS)-PCR analysis. A total of 18 treatments were performed, and the disinfection suppression levels were 75.9% for 39% benzene + 22% xylene (1:10 dilution), 85.5% for 30% cresol soup (1:1 dilution), and 91.7% for 99.9% acetic acid (1:2 dilution) group. The results indicate that acetic acid, cresol soup, and benzene+xylene are good candidates for suppression of E. tenella oocyst sporulation.

Citations

Citations to this article as recorded by  Crossref logo
  • Current Knowledge and Future Directions for Cyclospora cayetanensis Research and Its Surrogates
    Kyle J. McCaughan, Kalmia E. Kniel
    Comprehensive Reviews in Food Science and Food Safety.2026;[Epub]     CrossRef
  • Chicken Coccidiosis in Peri-Urban Family Farming in Two South American Countries: Prevalence and Circulating Eimeria spp.
    Mariela L. Tomazic, Jesica D. Britez, María Luz Pisón-Martínez, Pablo Barbano, Zulma Canet, Marcos D. Trangoni, Tomás J. Poklepovich, Facundo Cubas, Raúl Alegría-Morán, Galia Ramírez-Toloza, Anabel E. Rodríguez
    Animals.2025; 15(7): 982.     CrossRef
  • Risk Factors and Spatial Distribution of Gastrointestinal Parasites in Backyard Poultry Production Systems in Central Chile
    Bruno Cantin-Rosas, Mariela Luján Tomazic, Anabel Elisa Rodríguez, Nikita Enciso, Juliette Brante-Bernier, Patricia Honores, Catalina Godoy-Alfaro, Claudio Abarca, Raúl Alegría-Morán, Galia Ramirez-Toloza
    Veterinary Sciences.2025; 12(5): 448.     CrossRef
  • Pathogenicity in Chicken Anemia Virus with Eimeria tenella: Concurrent Co-Infection and Secondary Eimeria tenella Infection
    Hsyang-Hsun Chung, Suttitas Tongkamsai, Ming-Chu Cheng, Yi-Lun Tsai, Meng-Shiou Lee, Yi-Yang Lien, Ya-Mei Chen
    Microorganisms.2025; 13(7): 1676.     CrossRef
  • Comprehensive evaluation of carvacrol's anticoccidial activity: Integrating in vitro, in vivo, and in silico approaches using carvacrol-treated Eimeria tenella oocysts
    Esraa A. Ahmed, Shawky M. Aboelhadid, Almahy M. El-Mallah, Saleh Al-Quraishy, Piotr Falkowski, Abdel-Razik H. Abdel-Razik, Abdel-Azeem S. Abdel-Baki
    Veterinary Parasitology.2025; 339: 110560.     CrossRef
  • In Vitro Disinfection Efficacy Assay on Giardia duodenalis Cysts
    Manuela Kirchner, Cora Delling, Arwid Daugschies
    Hygiene.2025; 5(4): 54.     CrossRef
  • Inhibitory properties of disinfectants on the sporogony of Eimeria tenella (Protista, Eimeriidae)
    V. Yevstafieva, V. Melnychuk, V. Hodyna, S. Mykhailiutenko, O. Kruchynenko, A. Omelchenko, N. Avramenko, O. Mazannyi
    Regulatory Mechanisms in Biosystems.2025; 16(4): e25196.     CrossRef
  • Innovative prevention and control of coccidiosis: targeting sporogony for new control agent development
    Dan Zhao, Jingxia Suo, Lin Liang, Ruiying Liang, Rongqiong Zhou, Jiabo Ding, Xianyong Liu, Xun Suo, Sixin Zhang, Xinming Tang
    Poultry Science.2024; 103(12): 104246.     CrossRef
  • The Anticoccidial In Vitro Effects and Antioxidant Properties of Several Plants Traditionally Used for Coccidiosis in Togo
    Ferdinand Grégoire Tchodo, Hervé Brice Dakpogan, Sabrina Sanvee, Benjamin Adjei-Mensah, Claude Cocou Kpomasse, Simplice Karou, Wéré Pitala, Kokou Tona, Batomayena Bakoma
    Veterinary Sciences.2024; 11(8): 345.     CrossRef
  • Viability time of sporulated oocysts of bovine Eimeria spp. in water and efficacy of disinfectants in a region with tropical climate
    Leonardo Bueno Cruvinel, Luiza Gabriella Ferreira de Paula, Júlio César Faria dos Santos, Igor Maciel Lopes de Morais, Vanessa Ferreira Salvador, Luccas Lourenzzo Lima Lins Leal, Artur Siqueira Nunes Trindade, Dina María Beltrán Zapa, Lorena Lopes Ferreir
    Veterinary Research Communications.2024; 48(6): 3639.     CrossRef
  • In Vitro: The Effects of the Anticoccidial Activities of Calotropis procera Leaf Extracts on Eimeria stiedae Oocysts Isolated from Rabbits
    Mutee Murshed, Hossam M. A. Aljawdah, Mohammed Mares, Saleh Al-Quraishy
    Molecules.2023; 28(8): 3352.     CrossRef
  • Effect of tunable femtosecond laser pulses on the sporulation of Eimeria species oocysts of chickens: An in vitro study
    Waleed M. Arafa, Aya E. Mohamed, Fatma Abdel Samad, Ola Ali Dabbous, S.M. Aboelhadid, A.S. Abdel-Baki, Chukuka S. Enwemeka, Tarek Mohamed
    Journal of Photochemistry and Photobiology A: Chemistry.2023; 444: 114953.     CrossRef
  • Comparative Effect of Allicin and Alcoholic Garlic Extract on the Morphology and Infectivity of Eimeria tenella Oocysts in Chickens
    Salwa Mahmoud Abd-ELrahman, Sara Abdel-Aal Mohamed, Samar Elsayed Mohamed, Manal F. El-Khadragy, Ahmed Kamal Dyab, Nashwa Hamad, Marwa M. Safwat, Asmaa A. E. Nasr, Abdulsalam A. M. Alkhaldi, Ahmed Gareh, Ehab Kotb Elmahallawy
    Animals.2022; 12(22): 3185.     CrossRef
  • Evaluation of the Anticoccidial Activity of Sheep Bile against Eimeria stiedae Oocysts and Sporozoites of Rabbits: An In Vitro Study
    Mutee Murshed, Saleh Al-Quraishy, Mahmood A. Qasem
    Veterinary Sciences.2022; 9(12): 658.     CrossRef
  • Dietary use of Rosmarinus officinalis and Thymus vulgaris as anticoccidial alternatives in poultry
    Radhia Aitfella Lahlou, Mustapha Bounechada, Arezki Mohammedi, Luís R. Silva, Gilberto Alves
    Animal Feed Science and Technology.2021; 273: 114826.     CrossRef
  • Disinfection of environmental objects against coccidia oocysts in broiler chickens
    R. T. Safiullin, E. O. Kachanova, E. I. Chalysheva
    Russian Journal of Parasitology.2021; 15(4): 106.     CrossRef
  • The Effect of Increased Temperatures on Viability, Morphology, Infectivity, and Development of Eimeria Tenella
    G. H. Schneiders, J. C. Foutz, A. L. Fuller, J. Nelson, R. Rekaya, S. E. Aggrey
    Journal of Parasitology.2020; 106(3): 428.     CrossRef
  • Heat stress reduces sexual development and affects pathogenesis of Eimeria maxima in meat-type chickens
    Gustavo H. Schneiders, James C. Foutz, Marie C. Milfort, Ahmed F. A. Ghareeb, Alberta L. Fuller, Romdhane Rekaya, Susan M. Williams, Samuel E. Aggrey
    Scientific Reports.2020;[Epub]     CrossRef
  • In vitro activity of natural and chemical products on sporulation of Eimeria species oocysts of chickens
    Sahar M. Gadelhaq, Waleed M. Arafa, Shawky M. Abolhadid
    Veterinary Parasitology.2018; 251: 12.     CrossRef
  • 15,214 View
  • 253 Download
  • 26 Web of Science
  • Crossref

The oocyst wall is severed by means of mechanical injury or chemical agents. This study reports the percentage of in vitro sporocyst release following mechanical shaking in the presence of varying sizes of glass beads. Glass beads measured 0.5, 1, and 3 mm in diameter and were shaken with the oocysts for different times ranging from 5 sec to 5 min. Approximately 80% of sporocysts were released with 5 min of shaking in the presence of 3 mm glass beads, as well as 30 sec with 0.5 mm beads and 1 mm glass beads. The release of sporocysts of E. tenella was most efficient using 1 mm glass beads and treatment times of 30 sec to 1 min. Therefore, the use of 1 mm glass beads with 30 sec to 1 min of agitation is recommended in order to maximize sporocyst release and recovery and to improve the yield of viable sporozoites for use in biochemical, tissue culture, and immunological applications of coccidia.

Citations

Citations to this article as recorded by  Crossref logo
  • An ultra-simplified protocol for PCR template preparation from both unsporulated and sporulated Eimeria oocysts
    Aruto Takano, Dennis V. Umali, April H. Wardhana, Dyah H. Sawitri, Isao Teramoto, Toshimitsu Hatabu, Yasutoshi Kido, Akira Kaneko, Kazumi Sasai, Hiromitsu Katoh, Makoto Matsubayashi
    Poultry Science.2025; 104(3): 104810.     CrossRef
  • Multicenter comparative study of Enterocytozoon bieneusi DNA extraction methods from stool samples, and mechanical pretreatment protocols evaluation
    Céline Nourrisson, Maxime Moniot, Maxime Tressol, Céline Lambert, Emilie Fréalle, Florence Robert-Gangneux, Damien Costa, Louise Basmaciyan, Philippe Poirier
    Scientific Reports.2024;[Epub]     CrossRef
  • Anti-Eimeria tenella activity of Ethanamizuril in vitro and in vivo
    Hongbo CHEN, Yindi DAI, Jiyu LIU, Lianmao DUAN, Juan HU, Shaohui SUN, Guangshan ZHU, Xiaoping MA, Jin WAN, Nini MA, Xiao ZHANG, Cong WANG, Ningning ZHAO
    Journal of Veterinary Medical Science.2024; 86(9): 1008.     CrossRef
  • Comparative Study of Eleven Mechanical Pretreatment Protocols for Cryptosporidium parvum DNA Extraction from Stool Samples
    Laure Claudel, Nicolas Valeix, Louise Basmaciyan, Bruno Pereira, Damien Costa, Anne Vincent, Stéphane Valot, Loic Favennec, Frederic Dalle
    Microorganisms.2021; 9(2): 297.     CrossRef
  • Statistical Prediction of the Peak Point (Time) Required for Release of Maximum Number of Sporocysts after Eimeria Tenella Oocyst Excystation
    JO Cha, KS Shim, HW Lee, HC Kim
    Brazilian Journal of Poultry Science.2021;[Epub]     CrossRef
  • Effect of different floatation solutions on E. tenella oocyst purification and optimization of centrifugation conditions for improved recovery of oocysts and sporocysts
    Nanshan Qi, Shenquan Liao, Asmaa M.I. Abuzeid, Juan Li, Caiyan Wu, Minna Lv, Xuhui Lin, Junjing Hu, Wenwan Xiao, Mingfei Sun, Guoqing Li
    Experimental Parasitology.2020; 217: 107965.     CrossRef
  • Multicenter Comparative Study of Six Cryptosporidium parvum DNA Extraction Protocols Including Mechanical Pretreatment from Stool Samples
    Nicolas Valeix, Damien Costa, Louise Basmaciyan, Stéphane Valot, Anne Vincent, Romy Razakandrainibe, Florence Robert-Gangneux, Céline Nourrisson, Bruno Pereira, Emilie Fréalle, Philippe Poirier, Loic Favennec, Frederic Dalle
    Microorganisms.2020; 8(9): 1450.     CrossRef
  • The effect of autophagy on the survival and invasive activity of Eimeria tenella sporozoites
    Nanshan Qi, Shenquan Liao, Asmaa M. I. Abuzeid, Juan Li, Caiyan Wu, Minna Lv, Xuhui Lin, Junjing Hu, Linzeng Yu, Wenwan Xiao, Mingfei Sun, Guoqing Li
    Scientific Reports.2019;[Epub]     CrossRef
  • Molecular and biochemical characterization of Eimeria tenella hexokinase
    Mingfei Sun, Shenquan Liao, Longxian Zhang, Caiyan Wu, Nanshan Qi, Minna Lv, Juan Li, Xuhui Lin, Jianfei Zhang, Mingquan Xie, Guan Zhu, Jianping Cai
    Parasitology Research.2016; 115(9): 3425.     CrossRef
  • Effect of in vitro and in vivo 25-hydroxyvitamin D treatment on macrophages, T cells, and layer chickens during a coccidia challenge12
    A. Morris, R. Shanmugasundaram, J. McDonald, R. K. Selvaraj
    Journal of Animal Science.2015; 93(6): 2894.     CrossRef
  • 11,357 View
  • 157 Download
  • 10 Web of Science
  • Crossref

Case Report

Ectopic Migration of an Adult Heartworm in a Dog with Dirofilariasis
Hyun-Wook Oh, Hyung-Kyou Jun, Myung-Jo You, Mineo Hayasaki, Kun-Ho Song
Korean J Parasitol 2008;46(3):171-173.
Published online September 20, 2008
DOI: https://doi.org/10.3347/kjp.2008.46.3.171

A 3-yr-old female mongrel dog was referred to the Veterinary Teaching Hospital of Chungnam National University in the Republic of Korea. An adult heartworm, Dirofilaria immitis, was found in the abdominal cavity of the dog during spaying. Dirofilariasis in this dog was also diagnosed by modified Knott's test, ELISA test, and PCR analysis. The present case is the first report on the migration of an adult dog heartworm to the abdominal cavity of a dog in the Republic of Korea.

Citations

Citations to this article as recorded by  Crossref logo
  • Subcutaneous dirofilariasis due to Dirofilaria immitis in a dog in Brazil: first report
    Welitânia Inácia da Silva, Alexander Rodrigo Dantas Gomes, Maria Carolina de Francisco, Janete Madalena da Silva, Hodias Sousa de Oliveira Filho, Thais Ferreira Feitosa, Vinícius Longo Ribeiro Vilela
    Revista Brasileira de Parasitologia Veterinária.2023;[Epub]     CrossRef
  • Two cases of ectopic dirofilariasis by Dirofilaria immitis in subconjunctival and subcutaneous tissues in dogs
    Yeong-Seok Goh, Hye-Min Kim, Badriah Alkathiri, Hong Suh Chang, Young Min Yoon, Seung-Hun Lee, Kyung-Mee Park
    Parasitology International.2023; 92: 102683.     CrossRef
  • Incidental Finding of Dirofilaria immitis (Spirurida: Onchocercidae) Microfilariae in the Bone Marrow of a Dog with Mixed Leishmania infantum-Dirofilaria immitis Infection
    Ilaria Lensi, George Lubas, Roberto Amerigo Papini
    Zoonotic Diseases.2023; 3(2): 162.     CrossRef
  • Distribution of dirofilariasis in Omsk region
    T. S. Ryazanova, A. V. Sverdlova, O. Yu. Starostina, A. A. Nikitin, N. Yu. Grigorova, Yu. V. Kochetkov
    Acta Biomedica Scientifica.2022; 7(3): 277.     CrossRef
  • Prevalence of Dirofilaria immitis in shelter dogs in Bucaramanga metropolitan area, Colombia
    Angel Alberto Florez Muñoz, Ariel Rosas Martinez, Juan Carlos Pinilla
    Veterinary Parasitology: Regional Studies and Reports.2020; 22: 100489.     CrossRef
  • Dracunculus infections in domestic dogs and cats in North America; an under-recognized parasite?
    Brianna M. Williams, Christopher A. Cleveland, Guilherme G. Verocai, Liandrie Swanepoel, Kevin D. Niedringhaus, Kelsey L. Paras, Yoko Nagamori, Susan E. Little, Andrea Varela-Stokes, Nicole Nemeth, Heidi Wyrosdick, Alison Tucker, Leigh Deal, Dawn Gauthier
    Veterinary Parasitology: Regional Studies and Reports.2018; 13: 148.     CrossRef
  • Aberrant peritoneal localization of Dirofilaria repens in a dog
    Marco Pierantozzi, Giada Di Giulio, Donato Traversa, Giovanni Aste, Angela Di Cesare
    Veterinary Parasitology: Regional Studies and Reports.2017; 10: 62.     CrossRef
  • A combined human case of Dirofilaria ursi infection in dorsal subcutaneous tissue and Anisakis simplex sensu stricto (s.s.) infection in ventral subcutaneous tissue
    Minoru Yamada, Namiko Shishito, Yoshihiro Nozawa, Shigehiko Uni, Keisuke Nishioka, Takaaki Nakaya
    Tropical Medicine and Health.2017;[Epub]     CrossRef
  • Aberrant migration of Dirofilaria immitis in the peritoneum of a dog
    Courtenay Brines, Prince Agbedanu, Rachel Juelsgaard, Steve Carlson, Matthew Brewer
    Veterinary Record Case Reports.2016;[Epub]     CrossRef
  • Bilateral femoral arterial dirofilariasis caused by Dirofilaria immitis in a dog
    David A Upchurch, Daniel M Ogden, David G Baker
    Veterinary Record Case Reports.2015;[Epub]     CrossRef
  • Retrospective study of canine heartworm disease with caval syndrome in Grenada, West Indies
    A. Chikweto, M.I. Bhaiyat, M. Lanza-Perea, S. Veytsman, K. Tiwari, C. De Allie, R.N. Sharma
    Veterinary Parasitology.2014; 205(3-4): 721.     CrossRef
  • Vector-borne helminths of dogs and humans in Europe
    Domenico Otranto, Filipe Dantas-Torres, Emanuele Brianti, Donato Traversa, Dusan Petrić, Claudio Genchi, Gioia Capelli
    Parasites & Vectors.2013;[Epub]     CrossRef
  • Ectopic dirofilariosis in two dogs from Rio de Janeiro state, Brazil
    Beatriz Brener, Patricia Riddell Millar, Danuza Pinheiro Bastos Garcia de Mattos, Flávia Uchôa, Bethânia Bastos, Ingrid Rodrigues Lyrio, Pedro Luis Aragon, Adriana Pittella Sudré
    Revista do Instituto de Medicina Tropical de São Paulo.2012; 54(3): 175.     CrossRef
  • 9,195 View
  • 102 Download
  • Crossref
Original Article

We investigated the induction of resistance to Haemaphysalis longicornis infestation in rabbits that had been immunized with recombinant H. longicornis P27/30 protein. The success of immunological control methods is dependent upon the use of potential key antigens as tick vaccine candidates. Previously, we cloned a gene encoding 27 kDa and 30 kDa proteins (P27/30) of H. longicornis, and identified P27/30 as a troponin I-like protein. In this study, rabbits that were immunized with recombinant P27/30 expressed in Escherichia coli showed the statistically significant longer feeding duration for larval and adult ticks (P<0.05), low engorgement rates in larval ticks (64.4%), and an apparent reduction in egg weights, which suggest that H. longicornis P27/30 protein is a potential candidate antigen for a tick vaccine. These results demonstrated that the recombinant P27/30 protein might be a useful vaccine candidate antigen for biological control of H. longicornis.

Citations

Citations to this article as recorded by  Crossref logo
  • Comprehensive antigen identification and comparative analysis: significant approaches for controlling Haemaphysalis longicornis ticks
    Md. Samiul Haque, Bumseok Kim, Myung-Jo You
    Journal of Veterinary Science.2025;[Epub]     CrossRef
  • De  Novo Transcriptome Sequencing and Profiling of Ovarian Development of Argas persicus Along the Trophogonic Cycle
    Fen Yan, Deyong Duan, Jinzhu Meng, Tianyin Cheng
    Genes.2025; 16(9): 1107.     CrossRef
  • Hemalin vaccination modulates the host immune response and reproductive cycle of Haemaphysalis longicornis
    Hejia Ma, Jingkai Ai, Yansha La, Xinyuan Zhao, Ankang Zeng, Qi Qin, Shangjiali Feng, Ming Kang, Yali Sun, Jixu Li
    Veterinary Parasitology.2023; 323: 110051.     CrossRef
  • Molecular cloning, expression and impact of ribosomal protein S-27 silencing in Haemaphysalis longicornis (Acari: Ixodidae)
    Md Khalesur Rahman, Bumseok Kim, Myungjo You
    Experimental Parasitology.2020; 209: 107829.     CrossRef
  • Designing and Modeling of Complex DNA Vaccine Based on Tropomyosin Protein of Boophilus Genus Tick
    Mohamamd Mahdi Ranjbar, Shishir K. Gupta, Khodayar Ghorban, Sedigheh Nabian, Alireza Sazmand, Mohammad Taheri, Sahar Esfandyari, Maryam Taheri
    Applied Biochemistry and Biotechnology.2015; 175(1): 323.     CrossRef
  • Identification of the tropomyosin (HL-Tm) in Haemaphysalis longicornis
    Meiyuan Tian, Zhancheng Tian, Jin Luo, Junren Xie, Hong Yin, Qiaoying Zeng, Hui Shen, Huiping Chai, Xiaosong Yuan, Fangfang Wang, Guangyuan Liu
    Veterinary Parasitology.2015; 207(3-4): 318.     CrossRef
  • Identification of salivary antigenic markers discriminating host exposition between two European ticks: Rhipicephalus sanguineus and Dermacentor reticulatus
    Vinh Vu Hai, Lionel Almeras, Stephane Audebert, Matthieu Pophillat, Nathalie Boulanger, Philippe Parola, Didier Raoult, Frederic Pages
    Comparative Immunology, Microbiology and Infectious Diseases.2013; 36(1): 39.     CrossRef
  • Characterization and evaluation of a Sarcoptes scabiei allergen as a candidate vaccine
    Runhui Zhang, Quwu Jise, Wanpeng Zheng, Yongjun Ren, Xiang Nong, Xuhang Wu, Xiaobin Gu, Shuxian Wang, Xuerong Peng, Songjia Lai, Guangyou Yang
    Parasites & Vectors.2012;[Epub]     CrossRef
  • Cloning, expression and evaluation of the efficacy of a recombinant Haemaphysalis concinna Hc-23 antigen in rabbits
    Yao Bian, Weizhong Chen, Guangyou Yang, Xiaobin Gu, Shuxian Wang, Jiagang Sun, Kaijun Li, Hong Wei
    Vaccine.2011; 29(5): 1041.     CrossRef
  • Cloning and characterization of a cDNA clone encoding troponin T from tick Haemaphysalis qinghaiensis (Acari: Ixodidae)
    Jinliang Gao, Jianxun Luo, Ruiquan Fan, Guiquan Guan, Volker Fingerle, Chihiro Sugimoto, Noboru Inoue, Hong Yin
    Comparative Biochemistry and Physiology Part B: Biochemistry and Molecular Biology.2008; 151(3): 323.     CrossRef
  • Molecular characterization of a myosin alkali light chain-like protein, a “concealed” antigen from the hard tick Haemaphysalis qinghaiensis
    Jinliang Gao, Jianxun Luo, Ruiquan Fan, Guiquan Guan, Qiaoyun Ren, Miling Ma, Chihiro Sugimoto, Qi Bai, Hong Yin
    Veterinary Parasitology.2007; 147(1-2): 140.     CrossRef
  • A house dust mite allergen homologue from poultry red mite Dermanyssus gallinae (De Geer)*
    A. J. NISBET, J. F. HUNTLEY, A. MacKELLAR, N. SPARKS, R. MCDEVITT
    Parasite Immunology.2006; 28(8): 401.     CrossRef
  • 9,367 View
  • 85 Download
  • Crossref